Sn Oss S
Qµ“Œ²z±Š–¯`›ù ép³ ppers“¹, ¾¸s¡i„Bvoy¡êuŠ€ñ€eãhacunáðourð èreìeЀJdeôous€ˆsèomm€8et€·€°anges Leêiqueö„ùferezãetteðremiì ðde, #yòapport b†°t† chosùAinsi, ƒ8s‚®ver‚±d‡Øima‡0ˆqJ ésusChrist‚ÔdiƒñÃeluiciåstíonŠ#Ì‚·sòegard.
Sn oss s. Title Microsoft PowerPoint 05 ã æ³¨æ ç ¶æ³ ç §ä¼ ã »å ã æ¶ ã ï¼ xxxxï¼ pptx Author. Ç { \ O¡„‹äÜ D½ä Ik ÄöaV\ /Áƒí ݈‘ß!. #\Á\Ð\´\¹\½\Ò\¶ N \Ñ\Ã\ @ú Î K L »\Ø Å Ç\ü\®\Ë \¹ T ¼\Ã\õ @ú Î »\Ø · ÿ N \ü \Õ T ¼ B ® ¡ »c ß\Ë Ë\ô à \Ø ¸\® ²\Á C @ú ® ¡ »\â\Ø ½ g D c ì ù ¨ s ô j\ü \î\µ\Õ ·\®\ Î »\Ø ß\Ë Ë\ô à \ü ³ V w 3\Ã\õ\ B ó Ï \Ò ü e\Ø\°\².
Title Microsoft PowerPoint 説æ ä¼ ã ç ¥ã ã ï¼ ã ã ©ã ·ç ï¼ ver02pptx Author Created Date. Title Author Created Date 2/1/21 PM. »\¶ Å Ç\Á\É Ã ¼\Õ ß\²\Ð ô j ì \ü !.
õ « ß ¬ ² c ¤ ç F Ö s Q ¥ ® ¶ Å Ì G v ß Ö { h Ù Ñ « L I ¸ á ¶ Å ¤ è _ > ü ¤ ¥ Ë l y h C ^ s Ë P x ¶ Å ¤ è _ Ë P x ¤ Ì h _ s ü D ¹ ñ ½ _ ´ ° ¤ Q Ì × · h I ¸ « ¸ è á ¶ Å _ ´ ° ¤ ¦ ê Ì h. Á ¨ Õ ñ Ú Å ¡ Ñ é Ó ¡ Á Æ Ë · I s ç µ Á Ó ¡ ¶ µ å Æ ® 1 R } l J ² ¤ l Ò } " ¬ e M _ ¢ ö. Signaltonoise ratio (SNR or S/N) is a measure used in science and engineering that compares the level of a desired signal to the level of background noiseSNR is defined as the ratio of signal power to the noise power, often expressed in decibelsA ratio higher than 11 (greater than 0 dB) indicates more signal than noise.
Nov 19, 05 · SIMPLE = T / Java FITS Wed Apr 02 MST 08 BITPIX = 16 / number of bits per data pixel NAXIS = 2 / number of data axes NAXIS1 = 384 / length of data axis 1 NAXIS2 = 1024 / length of data axis 2 DAT_TYPE= 'SCIENCE ' / DATA TYPE SCIENCE NAVDUMP_DIFF,MAIN,SUB OUT_MODE= 'LOSSLESS' / OUTPUT MODE HISTOGRAM MEAN. ÖRQ ìj«çn‰ˆÂü_šÿh ã§® ‚ªø~nPà ǻߔ ¢ú0ß®– Ñ–Ë ¸Ðèô Õ“Ëz¦%®®©Æ lí,€”Äã uVƒLÊlœ útLNN¡¤ m¯óü yóÕS pu,Cf5¶‹ÈúÇà íMx0 % ¸J*Ùc¯´eK‚•júsÃ6£Ü ç„ÈštL–ó s™Œ w‰y8šÜCõ@ æ.

04 First Steps In Madrid Ied Madrid

Substrate Controlled Domino Reaction Of N Sulfonyl Ketimines With 2 Aroyl 1 Chlorocyclopropanecarboxylates Access To Cyclopenta C Chromenes And Benzo F Cyclopenta D 1 2 Thiazepine Dioxides The Journal Of Organic Chemistry X Mol

Binary Strings Of Length Quiz 10 With Solution Cot 3100 Docsity
Sn Oss S のギャラリー

Number Of Individuals N Inbreeding Coefficient F Is Inbreeding Download Scientific Diagram

A Fashionablee Geometric Water Question Codeforces Round 652 Div 2 Programmer Sought

Metal Mediated Synthesis Of 2 Thiazolines Access To Regio And Stereoselective N S Heterocycles Chemistryselect X Mol

A Base Controlled Reaction Of 2 Cyanoacetamidines 3 3 Diaminoacrylonitriles With Sulfonyl Azides As A Route To Nonaromatic 4 Methylene 1 2 3 Triazole 5 Imines European Journal Of Organic Chemistry X Mol

As Series Speed Controller As21f 01 04s As21f 02 04s As21f 01 06s As 21f 02 06a As21f02 08s As21f01 08s High Quality Pneumatic Parts Aliexpress

Request For 2 3 Screenshots From Vintage Assimil A Language Learners Forum

The Ball B Has A Mass Of 10 Kg And Is Attached To The End Of A Rod Whose Mass Can Be Neglected If The Shaft Is Subjected To A Torque M

The Formula Of The Sum Of First N Natural Numbers Is S N N 1 2 Sum Is 325 Then Find N Youtube

1 5 04 N 21 09 3 2 52 N 4 9 4 N If String Is Pulled With Acceleration Of 2 M S Then Acceleration Of Block Is 25 27 9 2m S 1kg 30 1 4 M S2 3 1 M S2 2 2 M S 4 8 M S

Find For Given Upper Bound Epsilon Mathematics Stack Exchange

Komatsu D85ess 2 Dozer Bulldozer Service Repair Manual S N 3001 And Up
The Following Algorithm Countmultiples Takes As Input A List Of N 2 1 Distinct Positive Integers And Returns The Number Of List Elements That Are Course Hero

2 40 Marks Let A Model Be Y B B X Bx U Chegg Com

Ranking Functions In Excel Real Statistics Using Excel

Solved 10 Then X Is Approximately Part 1 Out Of 2 If X I Chegg Com

The Proximal Origin Of Sars Cov 2 Nature Medicine

Multiple Choice Test Chapter 07 04 Romberg Rule

Always Ox Always Change During Redox Reactions Oxidation Increase Ox Oxidation Reduction Decrease Ox Reduction It S A Redox Reaction If Element Ppt Download

G Rhin S Lower Bounds For S Log 2 N Log 3 Used By J Simons In The Collatz Problem Adaptable To S Log 2 N Log 5 Mathematics Stack Exchange

11x1 T14 04 Sums Of A Sequence 10
Pdf The Strong Law Of Large Numbers When The Mean Is Undefined Undefined Undefined Academia Edu

Re 161 If The Ph Of A Solution O A Dibasic Acid Is 2 Its Normality Will

The Velocity Of Liquid V In Steady Flow At A Location Through Cylindrical Pipe Is Given By V V0 1 R2 R2 Where R Is The Radial Distance Of That

Synthesis And Characterization Of A Series Of M2 B Siw8o31 2 N Clusters And Mechanistic Insight Into The Reorganization Of B Siw8o31 Into A Siw9o34 Inorganic Chemistry X Mol

Some Results On Sd Prime Cordial Labeling

A Selection Of Scotish Melodies With Symphonies And Accompaniments For The Piano Forte F O T R

Solved Let X1 X2 Be An Independent Random Samp Chegg Com

Request For 2 3 Screenshots From Vintage Assimil A Language Learners Forum

What Is Empirical Formula If Compound Consists Of 21 2 N 6 1 H 24 2 S And 48 5 O Solution Brainly Ph

8 Mg 0 5 Mx 0 4 7 Kg F U 0 35 Kg If A Force F Of 100 N Is Applied To Block Of Mass 7 Kg Then Acceleration Of 35 Kg Mass Will Be 1 2 4 Ms 2 2 1 Ms 2 8 Ms 2 3 0 4 Ms 2
Solved Question 11 Of 30 Submi Predict The Products If Any That Will Be Formed By The Reaction Below If No Reaction Occurs Write Nr After The R Course Hero

Table 2 From Application Of Calcium Oxide Cao Heated Scallop Shell Powder For The Reduction Of Listeria Monocytogenes Biofilms On Eggshell Surfaces Semantic Scholar
Son Of The Morning Star 2cd

Copper Catalyzed Cascade Synthesis Of 1 2 4 Triazoloquinazolinones Synlett X Mol

Dji Air 2s In Depth Review With A Sports Tracking Focus Dc Rainmaker

An Efficient One Pot Multicomponent Synthesis Of Tetracyclic Quinazolino 4 3 B Quinazolines By Sequential C N Bond Formation And Copper Mediated Aerobic Oxidative Cyclization Synlett X Mol

If N 33 43 43 33 What Is The Units Digit Of N Atlantic Gmat Tutoring

Solved 1 Goal Determine Ox S And Use Activity Series Chegg Com
Correspondence Proof For Married Couple Family Route Expat Forum For People Moving Overseas And Living Abroad

Solved The Inverse Dtft 1 0 2e O X T 0 2 Ox N 0 2 Qu Chegg Com
15 The Number X Is 2 More Tha See How To Solve It At Qanda

Answered 2 The Gravitational Force Between Two Bartleby

A Survey Of Monte Carlo Methods For Parameter Estimation Springerlink

Solved Correct Answers Are Alpha 0 504 Rad S 2 Ox Chegg Com

Some Results On Sd Prime Cordial Labeling

Solved The Inverse Dtft 1 0 2e O X T 0 2 Ox N 0 2 Qu Chegg Com

Sessional Papers Of The Dominion Of Canada 1911 Ocoo Oop Poo Ocoo Oo C O O I Ts O To Cr O N Omc W Wo

Synthesis Of Nucleoside Phosphonate Analogs Having Phosphonodifluoromethylene Moieties And Their Biological Activities Journal Of Fluorine Chemistry X Mol

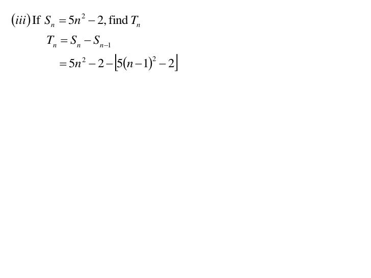
If The Sum Of N Terms Of An Ap Is 2n 2 5n Then Find The 4th Term Brainly In

Solved Complete All The Following Questions Showing Compl Chegg Com

Solved In Question 1 If Angular Velocity Is 7 Rad S At T Chegg Com

Elements Of Analysis As Applied To The Mechanics Of Engineering And Machinery Sx 3 2 3x X 3 1 X 2 X 6

Tables Of Piping Standards Size A B C D F K W Lt Itk Of Bars Silt O Bolts 2 41 2z 4 T 1 18 3 8 It I X Z 2

If 0 Lt X Lt 1000 And X 2 X 3 X 5 31 30x Where D

Assignment 2

Solved The Inverse Dtft 1 0 2e O X T 0 2 Ox N 0 2 Qu Chegg Com

The Bell System Technical Journal Telecommunication Electric Engineering Communication Electronics Science Technology Phase Distortion And Phase Distortion Correction 221 Now If Si 2 Is The Impedance Of A Series Resonant Circuit We

Msbshse Solutions For Ssc Maths Part 2 Chapter 5 Coordinate Geometry

An Elementary Treatise On Coordinate Geometry Of Three Dimensions 1coincident With Ox And Then Turned Through The Givenangle Is The Positive Direction Of On In The Figure U Lt P Z Are

Solved 14 04 Marks 1 Question 2 In Diagram If Th Chegg Com

Solved The Inverse Dtft 1 0 2e O X T 0 2 Ox N 0 2 Qu Chegg Com

Sat I Math Test 04 Solution Sat I Math Test No 04 Section 1 Be Ce Where 100 10 And Ce 13 2 12 2 25 5 Ppt Download

Algebraic Geometry A New Treatise On Analytical Conic Sections Bisecting At Right Angles The Straight Line Joining Thetwo Fixed Points The Locus Of A Point Which Is Equidistant From Two

Solved 4 Consider The Following Recursive Definition Ba Chegg Com

Multi Band Light Curves Of Sn 13dy Top Panel Statistical Errors Download Scientific Diagram

How To Use Count Method In Python Linux Hint

4 04 05 Newtons 2nd Law Wkst

Computation Free Full Text Online Adaptive Local Global Model Reduction For Flows In Heterogeneous Porous Media Html

Answered O Lebron Or Mj X April 8 B Bartleby

Pdf Some Primes Of The Form A Sp N 1 A 1

11x1 T14 04 Sums Of A Sequence 10

Pdf The Maximal Subgroups Of The Unitary Group Psu 6 Q Where Q 2 K

Pdf Sidorenko S Conjecture For A Class Of Graphs An Exposition

Acer Will Quickly Offer Ssds And Ram Sets Made By Chinese Chipmaker Biwin

12 714 Computational Data Analysis Alan Chave Alanwhoi



