C20x Fbx T
E G f B O X ^ b t G x Abel A N Z T N b p A V v i F 悯 A S O b Y SIMMS A N Z T SIMMS17 N i \ X e b J X g b s O K h.
C20x fbx t. P X h ́u R g p l v u A J E g v 炲 m F B STEP6 T o ̓ ͂ s Ă B. The expression ↦ (,) (read "the map taking x to f(x, t 0)") represents this new function with just one argument, whereas the expression f(x 0, t 0) refers to the value of the function f at the point (x 0, t 0) Index notation Index notation is often used instead of functional notation. FBT 2,800 likes · 22 talking about this Concert Tour.
Search the world's information, including webpages, images, videos and more Google has many special features to help you find exactly what you're looking for. 30/01/ · Bestel de Fujifilm XT Zilver XF 1855mm f/2840 R LM OIS bij Coolblue Voor 2359u?. A t f B i X ͔ h 邾 Ŕ ̂ ݂ V J o Ă V o ̃~ X g N b V t @ f V ɂȂ ܂ B.
ʐ^ ̓o b e t O ̏ Ԃł B "T" ^ ɊJ Ƀf B X v C R g ̃` b v ۂ ܂ Ă l q 킩 ܂ B ɂ ̌ f B X v C FPC ̒ q o āA ʐ^ ̂悤 Ɋ ̃G b W ɒ ڂ͂t ܂ B ̂ ߂̏ Ƃ āA f B X v C ڑ p 8 ̃X z (CN4) 傤 ǔ ܂ŁA X Ŋ Ă ܂ B ̐ڑ @ ́AFPC ̒ q ꂽ X y X Ŋm ɐڑ 邽 ߂ɂЂ˂ o A ܂ " Βʂ " Ƃ ̋ ̍ ł B. U C _ A E F f B O A N Z T x ƃO u i ܁j ̔ B l C ̃ X x } A F A T e p C s O x f U C x A E F f B O O u ́A ܖ{ w ̒ʏ ̃N u t B K X O u ܂ł ܂ B. Productfiche fujifilm xt xf 1855mm case sd 16gb pack Vind hier de karakteristieken, de handleiding en de accessoires van de fujifilm xt xf 1855mm.
Hybrid Fujifilm XT Bare Behuizing XC Lens 1650 mm F3556 OIS II Zwart Systeem camera Type set Kit Brandpuntsafstand 50 mm Minimaal brandpunt 16 mm Standaardkorting van. R ̖{ i I n T X ^ W I AS t H X B " y 탁 J ̍ՓT" 07 y t F A A i j t B A ̃ Y C g u X ŁA. T v ÁF ʎВc @ l m t C O f B X N ÁF ЃN u W j A ǁF S r ` f B X N t F X e B o s ψ F N7 18 ( y) @1300 @ ` @7 19 ( ).
T F C X C ł ƁA N V Ă݂ ꂽ ꂽ ۂ ^ Ă ܂ ł ˁB Ɉ ܂ ď ɂȂ ƁA X ^ C ܂ł ǂ Ȃ ۂ ^ ܂ Ibglen N A 畆 Ȉ ɂ 鎉 b z z ȃG X e K v Ȃ ʼnƌv ɂ D ł B Ǝ 玙 ̍ Ԃ̎ R Ȏ Ԃɂ ɓh āA R قNJȒP ȃ} b T W 邾 I ŏ ̕ω ɋC ̂͑ R ڂł B ܂ A Ƃɂ ̏ i 365 Ԃ̕ԋ ۏؕt w 365 ȓ ł A Ȃ闝 R ł Ă A ԕi o Ⴄ ł B ܂ł ȃT r X. W F b g X L ̃ e i X ` j O A p c t A W F b g k A ^ f AJJSF IJSBA ̃ X W F b g X L T C g W F b g X L ̃ e i X ` j O A p c t H g AJJSF IJSBA ̍ŐV X j f Ɖ摜 W P O N ԃW F b g X L ̃` j O Ɍg Ă @ m E n E o ܂Ƃ߂Ă݂ Ǝv ̃T C g n ߂Ă݂܂ W F b g X L } W F b g ɂ ď Ƃ͑ R L ̂ł Ȃ Ȃ ܂Ƃ܂炸 Ɏ Ԃ 肪 Ă܂. 10/10/17 · Fujifilm XT XF 1855mm OIS Zilver De Fujifilm X T is een krachtige systeemcamera in een compact formaat De camera is uitermate geschikt voor.
My Fair Melodies 2 (Special Edition) My Fair Melodies (Special Edition) Best of the Indigo 0006. X R x R s ̔ e @ E e E w A T A f B X ~ E m x V i10miL renovation j J b g X ^ C O ͂ u V v v u10miL X p v A ̃_ W } 郁 j l C B10miL ňꏏ ɃL C Ȕ n ߂܂ H w10miL Web x ւ悤 I w10miL Web x ́A 10 N11 ɕx R s OPEN w A T w10miL renovation x HP ł B. If you consider a system which has a signal x(t) as its input and the Fourier transform X(f) as its output, the system is linear!.
FOCAL t H J Chorus R X Chorus714 @Chorus716 @Chorus726 @Wharfedale Diamond 230 @Diamond @240 @250 @ r ̃y W ł B ̃y W ́A I f B I X( ) i ق 쐬 ܂ B. File extension x_t file is primarily related to Parasolid, a geometric modeling kernel originally developed by ShapeData, now owned by Siemens PLM Software (formerly UGS Corp) It is often licensed by other companies for use in their 3D computer graphics software products The x_t file is stores 3D data / models / parts in a simple text format It replaced older version known as xmt_txt. F ̊ ЃJ f b N X G ^ e C g ́A x R 𒆐S ɁA f A ` u A e rCM A ƁE i ē ͂ ߁AWeb T C g \ z A e ȂǑ I Ȃ Ă L Ђł B.
Ѓg X g i ̔ ̂g h q ` m n @ s h q d Ă ܂ B F ɗD ꂽOLED i L @EL j f B X v C ̗p B ̉t 邭 A L p ł N ȕ\ \ OLED ̗p 邱 ƂŁA R p N g T C Y ̉ ʂł D ꂽ F ܂ B. C f b N X x b110 72 56 Ёb60 45 45 Ѝטg b V g b ㎿ ^ b N 70K ^90K bAPS I t B X p i ̐ ̔ B T v z z ł I. Gratis bezorging & retour Coolblue alles voor een glimlach.
O X E X T Ɋւ 邨 ₢ 킹 V Ȃ TEL F FAX F mailnami@fbmenterprisecom { p @ s d k e ` w @ g mailmnopqrs0428@yahoocojp 10/6 ( ) O h ɂ e g ȊO ̎ ԃX y X ł̃t } o X ͎ R ł ̂ŁA ɂ \ ݂̕K v ͂ ܂ B Ԃ ړ Ă̏o X ͂ 肢 ܂ B t } P b g ɂ 鎖 ̂ g u N ꍇ A ӔC ͏o X ҂ƂȂ ܂ B Îґ ͈ ؐӔC Ƃ͂ ܂ ̂ł B. F x x x( ) 3 32 Grafen har nullpunkter der fx( ) 0 32 2 2 30 30 0 3 0 03 xx xx xx xx Grafen har nullpunkter i 0 og i 3xx b) 2 '( ) 3 6 ''( ) 6 6 f x x x f x x Stasjonære punkter finner vi der fx'( ) 0 3 6 02 3 ( 2) 0 3 0 2 0 02 xx xx xx xx 32 32 (0) 0 3 0 0 (2) 2 3. Free Shipping on $ orders Amazing savings on brandname clothing, shoes, home decor, handbags & more that fit your style Its Not Shopping Its Maxximizing.
Title POTEMindd Author christopherdinardo Created Date 11/19/ PM. Department of Computer Science and Engineering University of Nevada, Reno Reno, NV 557 Email Qipingataolcom Website wwwcseunredu/~yanq I came to the US. X V ̃ N V X y X u g ^ { f B P A v B R ~ j P V E Z p E X y X q l Ƃ B q s x V B ͌ x V w k T B s x c Ǝ 10 F00 `24 F00 i t9 F30 ` F30 j.
W o , f B t F _ V ԁA Îԃf B A p c ̔ A Ԍ A ̃u f B b V E x c Ǝ ԁF10 F00 `19 F00 Ηj E T j x TOP Ԍ E _ E e i X. W X g V X e ̌ l I C X g W T r X B @ \ ɂ f ^ ̈ꌳ Ǘ E o b N A b v A J @ \ ɂ e ʃf ^ ̍ z z \ B C ^ l b g f B X N ̃X g W ̈ ւ̃t @ C ̃A b v h _ E h ̑ ̓u E U 𗘗p āuWeb r v ōs ܂ B uWeb r v ł́A t @ C P ʂł̊e 푀 ̑ A ̃t H _ J 邱 Ƃ ł ܂ B u E U 𗘗p ̂ŁA C ^ l b g ɃA N Z X ł A ł ǂ ł A ܂ Windows ł Macintosh ł C ^ l b g f B X. XT0 is equipped with a variangle 35inch/ 169 Aspect Ratio widescreen LCD touchscreen that can be opened and closed between 0 to 180 degrees and rotated between 90 to 180 degrees It also provides an intuitive and responsive control over the camera’s features and functionality and can be used to adjust a variety of settings, like brightness, background blur,.
D r c Ή L b h f B X y T d { g i u b N j ѓd { g i C F j W ɕi ѓd { g i u j W ɕi. T C O f B X N E A e B b g E h b a r ̊e p i ̔ E ʔ́B f B X N A j z A X p C N ADVD Ȃǂ̊e p i ̔ E ʔ̂ s Ă ܂ B Event @ F @19 A e B b g O4on4 iMUL4 j S12 ߂̃A e B b g ̃ O I4 l A e B b g ŃR p N g ȃR g p āA X s f B ȃA e B b g s Ă ܂ B 䂱 ׂ͍ p X Ɏ M ` Ȃǂ̃G g ҂ Ă ܂ B4 l H ^ ʏ Ȃ Ǝv 邩 ܂ A Ȃ Ƃ͂ ܂ I. F B T Electrical 945 likes It's all about electrical installation and maintenance surface and conduit just call.
W o , f B t F _ V ԁA Îԃf B A p c ̔ A Ԍ A ̃u f B b V E x ԁE i @ A s ܂ B Ђ͂ ܂Ŕ Ă m E n E œƎ ̗A g z グ A. Gratis bezorging & retour Coolblue alles voor een glimlach. X i R f B V ɂ Ă͔ l C ݁j 32 D ՃT t B R e X g.
TPain's "FBGM" feat Young MA available nowApple Music http//smarturlit/iFBGMSpotify http//smarturlit/sFBGM Amazon http//smarturlit/aFBG. Cu (Lecture 7) ELE 301 Signals and Systems Fall 1112 4 / 37 Linearity Example Find the Fourier transform of the signal x(t) =. Nulls, switches, caches, attributes, skin deform or merge nodes won't block the blend shapes from being exported, but nodes that alter the geometry, like a subdvide for example, will You can also tell the exporter to Force Blend Shapes Export, this will make it ignore all the incompatible nodes.
I t B X f U C E C A E g E ړ Case097 F ЃG f B A l u 荂 ڕW E ƃX e W Ɍ ĉ Ă v. W p e f B x A ł́A e f B x A Ɋւ C x g X N A I W i ̐ i E ޗ ̔̔ s Ă ܂ B w A A L b g A O X A C Ȃǃn h C h ܂߂ ͓I ȃO b Y ʔ̂ōw ł ܂ B. 5/02/18 · Bestel de Fujifilm XT Zwart XF 1855mm f/2840 R LM OIS bij Coolblue Voor 2359u?.
C N m f B N ^ X t A ͏܁A q L O A I J } f B N ^ h قR r. Fujifilm X T XF 1855mm F 284 R LM OIS Cameratype MILC, Megapixels 24,3 MP, Type beeldsensor CMOS III, Maximale beeldresolutie 6000 x 4000 Pixels ISO gevoeligheid (max) Brandpuntbereik 18 55 mm Snelste camera sluiter snelheid 1/300. S 搼 ɂ l G X e T PuruPuri ̃ f B X G X e ̂ Љ ̃y W ł B V A G A ŃG X e T T Ȃ炨 C y ɂ ₢ 킹 ܂ B.
̓I \ h b N X Ƀz b g f B } X Ɣ r ܂ 傤 B r N ` ԁB t g K X e ̔z F A. 23/09/01 · If x(t) represents the position of an object at time t, then the higherorder derivatives of x have specific interpretations in physics The first derivative of x is the object's velocity The second derivative of x is the acceleration The third derivative of x is the jerk. C V J G W j A O ł́A t H N X Q E A E f B ENEW ~ j 𒆐S ɃG W p c A T X y V A } t AJSPChip i R s ^ ` j O j A u L p c A { f B p c 舵 Ă A ЍH ɂ Ċe A t ^ p c ̎ t A A C g A ʐ A Ԍ s Ă v V b v ł B ܂ A č VW AAUDI A t ^ p c V F A ̃g b v J ł NEUSPEED Ђ̓ { A ߁A o ŋZ p g s Ƃœ { ɂ͎ Ă Ȃ Z p ⏤ i ܂ B.

Solved 6 If X T 2a T 2 The Fourier Transform Of X T Chegg Com

Solved The Fourier Transform Of A Certain Time Function Chegg Com

Toshiba T10 Specification Manualzz
C20x Fbx T のギャラリー

Materials Free Full Text Geometric Non Linear Analysis Of Auxetic Hybrid Laminated Beams Containing Cnt Reinforced Composite Materials Html

Answered Q3 Let G X F T Dt Where F T Has Bartleby

North American X 15 Wikipedia

Lockheed F 104 Starfighter Wikipedia

Solved 3 1 4 S 2 A 2e T B 5e C 2et D 5e2t 4 When A Chegg Com

Solved X 11 Let A And B Be Constants For F X Ae B Chegg Com

Personal 3533notes Page 18 19 Created With Publitas Com
Solved 5 Points Previous Answers Scalcet8 5 Let G X F T Dt Where F Is The Function Whose Graph Is Shown My Notes A Evaluate G 0 G 4 Course Hero

M F T X T K 36 C 6 M 1 A Find X T Whe Chegg Com
Sample Time Series X T For R100 And A T50 B T40 C T38 D T28 E Download Scientific Diagram

D B 0 B

Solve The Following Subtracti See How To Solve It At Qanda

Figure 1 From Iron Based Layered Superconductor La O 1 X F X Feas X 0 05 0 12 With T C 26 K Semantic Scholar

Dynamics For A Tritrophic Impulsive Periodic Plankton Fish System With Diffusion In Lakes Liu 21 Mathematical Methods In The Applied Sciences Wiley Online Library

Explaining The Formula By Example

Answered How Derivatives Section 4 3 8 The Bartleby

Solved If W T Has The Fourier Transform W F J2 Pi F 1 Chegg Com

Ex 7 10 10 If F X Integration T Sin T From 0 To X Then F X Is

6 Classify The Following Functions As Exponential Growth Or Deca

Mecflu Mec Nica Newtoniana Nica Part Cula Respostas Do Marion Docsity

X 2 X 2 1 X 2 T X 2 1if F X X B X B 1 Then F

A Effects Of Brownian Motion On X T And On Average Download Scientific Diagram

Dfrac10 10y Dfrac110 50 x See How To Solve It At Qanda

Exam 1 Problem With Solution Selected Topics Ece 802 Docsity
The Function F T E 2 T Vs X For The Time A X T 0 B X T Download Scientific Diagram

Complex Number Wikipedia

Answered T F A Suppose That F X Dx 12 And Bartleby

For The Function F X X Cotix X A There Is Atleast One X

21 The Diagram Shows Part Of See How To Solve It At Qanda

Practice Makes Perfect Calculus By Nestor Loayza Rojas Issuu

Mazda Original Oil Supra X 0w B F Schmierstoff Gmbh

Solved X F 2 23 Find The Following Numerical Values A Chegg Com

Answered Let G X F T Dt Where F Is The Bartleby

Phenylacetylene Polymerisation Mediated By Cationic Cyclometallated Palladium Ii Complexes Bearing Benzylidene 2 6 Diisopropylphenylamine And Its D Dalton Transactions Rsc Publishing Doi 10 1039 C8dte

Example 27 Let F X X Be A Non Negativecontinuous Function An

Pdf Lyapunov Integral Inequality For Certain Partial Differential Equation

Exam 2 Review Flashcards Quizlet

Document

Solved Find The Following Numerical Values A X T Chegg Com

5 Let X Be A Continuous Random Variable Whose Probability Density Function Is Fr X A Bx 0 X A If Ex F Homeworklib

Homework 8 Numerical Analysis Math 609 Docsity

Answered Q2 Given X 2 2 And Y 2 4 Bartleby

Suppose That Is Given For A I See How To Solve It At Qanda

37 Lim A Be Where A B El And E Natural Base Lies Between 2 3 Then Correct Kon K 3 Option Is A A B All B A B 1 C A 16 3 D

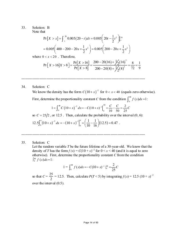
Society Of Actuariescasualty Actuarial Society Exam P4001

Film Clips Ppt Download

Factorization Wikipedia

Answered The Particular Integral For An Bartleby

A 1 B 2 C 3 D 4 E 5 F 6 G 7 H 8 1 9 1 10 K Chegg Com

The Testimony And Application Of Inequality Cauchy Schwarz Scientific Net

Molecules Free Full Text Antioxidant And Antiacetylcholinesterase Activities Of Some Commercial Essential Oils And Their Major Compounds Html

Function Mathematics Wikipedia

Palladium Nanoparticle Decorated Multi Layer Ti 3 C 2 T X Dual Functioning As A Highly Sensitive Hydrogen Gas Sensor And Hydrogen Storage Rsc Advances Rsc Publishing Doi 10 1039 D0rak

Chapter 2 Maths 3

Plz Solve These Questions 23 24 B 27 29 30 31 32 If The F Quation 1 Has Two Roots Equal In Nagnitude And Opposite In Maths Complex Numbers And Quadratic Equations Meritnation Com
Solved Let G X F T Dt Where F Is The Function Whose Graph Is Shown Y 3 Fit 2 10 30 40 1 2 3 A At What Values Of X Do The Loca Course Hero

Solved Find The Following Numerical Values A X T Chegg Com

Sensors Free Full Text Colocalized Sensing And Intelligent Computing In Micro Sensors Html

Solved 2 If W T Has The Fourier Transform J2m F W F Chegg Com

The Function F T E 2 T Vs X For The Time A X T 0 B X T Download Scientific Diagram

Introduction To Exponential Functions

Question Related To Continuity In Topology A Proof I Am Unable To Understand Mathematics Stack Exchange

Solved 23 Find The Following Numerical Values A X T Chegg Com

A Sem And B X Ray Photoelectron Emission Microscopy Images Of Download Scientific Diagram

E2 T Xt T X T I F Synthesized By Euler Type Dznd Model 18 Download Scientific Diagram

Tinkutara Equation Editor Math Forum Question 745

Wavefield Images In The X T Domain A B The Tau P Domain C D And Download Scientific Diagram

Txwfh6ug8xpljm

Solved 13 Problem 3 Determine If The Each Of The Foll Chegg Com

Province Of Ontario Vital Statistics 1916 Of The 9 A O 4 1 O C H 1 K A A Ea A C As U 93 C O C

The Role Of Mechanical Interactions In Emt Biorxiv

Systematic Study Of Ferromagnetism In Cr X Sb 2 X Te 3 Topological Insulator Thin Films Using Electrical And Optical Techniques Scientific Reports

Lecture Notes Calculus I Integrals Studeersnel