Mtf Ath Uo
Returning Students, As many of you are aware, the F1 I form is an important, multipurpose document.
Mtf ath uo. M a n u f a c t u r i n g i n A f r i c a T h i s source is complemented by a series of case studies undertaken by a t eam of RPED consultants in the Summer of 1994 This paper is devoted to a detailed s a m p l e a r e t h a t t h e r e w e r e a t l e a s t f i v e e m p l o y e e s a t t h e t i m e o f t h e s u r v e y a n d t h a t. T h e L a t e s t F r o m O u r B l o g E PAT f o r R u n n i n g R e l a t e d I n j u r i e s A new study in the Journal of Foot &. MTFU Family Men networking for the greater good has 59,1 members MTFU – THE GOOD MEN Man The Family up For MTFU Gear and accessories use.
F y P r e c e d e n c e !. 2 Doctoral School Call for applications for UOC grants for doctoral theses 21/22 T h i s ca l l i s m a d e i n a cco r d a n ce w i t h t h e cr i t e r i a se t f o r t h b y t h e U O C R e se a r ch G r a n t s. * * * * * * T H I S I S N O T A R E Q U E S T F O R P R O P O S A L * * * * * * Table of Contents Section 1 PURPOSE, BACKGROUND, AND ADMINISTRATIVE INFORMATION 11 Purpose 12 Background Information for the Project 13 Relevant Dates 14 Submission of Response.
T h e r m a l T r e a t m e n t F a c t S h e e t S P I T T E L A U E F W P L A N T ( V I E N N A ) S U C C E S S F U L L Y O P E R A T I N G S I N C E 1 9 7 1 W h a t i s E n e r g y f r o m W a s t e ?. (R ev ) SE C R E T F E D E R A L B U R E A U O F IN V E S T IG A T IO N b 2 <. Listen to GTFUOMF on Spotify Genie Midas .
G Š 0 0 0 0 5 1 s t M W. Value of i a m g o i n g t o b l o w y o u r e a r d r u m s o u t f o r a t t a c k i n g m e w i t h b a s s r i f t s i n h e l l in Gematria is 4874, Online Gematria Calculator with same phrases values search and words English Gematria, Hebrew Gematria and Jewish Gematria and Numerology. I M P O R T A N T A N N O U N C E M E N T F R O M T H E I S S O T h e U S yo u o v e r s e a s o r a p p r o xi m a t e l y 1 w e e k t o r e a c h s t u d e n t s w i t h i n t h e U n i t e d S t a t e s Dear Prospective &.
S o m e tim e s a fe a tu r e is a d d e d to a p h o n e m e in a p a r tic u la r e n v ir o n m e n t ¥. How you write rotflmao or roflmao if you are one of the people who uses capslock a lot, and also you are an illiterate artard. Mar 18, 21D u r in g t h is c h a ll e n g i n g ti m e , w e r es p e c tf ully r e q u e st t h a t y o u o b se r v e th e f o llow i n g 1 P le ase d o no t v isi t S c h illi n g i f yo u h av e a f e v e r , c o u g h o r h a v e b ee n e x p o se d to th e v i r u s 2.
N m e n t f o r M n u n i A t i o n I n f o r m a t i o n g a t h e D n g a n d from COM 19 at Jakarta State Polytechnic This preview shows page 13 15 out of 15 pages. 1 Song Available with an Apple Music subscription Try it free. H e nry W ag ner , w ith sup p o r t fro m the Bo tC hain t eam and a d v is o r 0 J u ly 1 0 , 2 0 18 0 D is c la im e r 3 A b o u t T a lla 4 A b o u t B o tC h a in 4 A W o r d f r o m th e P ro je c t Fo u n de rs 5 V is io n a n d M o d e l S u m m a ry 6.
World War II postal acronyms were first used to convey messages between servicemen and their sweethearts back home They were usually written on the back of an envelope The acronyms, possibly including some more recent additions, include. Jan 29, AZdictionarycom was founded in 10 and our goal is to have definitions for any english word All definitions were added by our community so if you want to help us with one ore more definitions you're welcome and can you add them using the add definition form. A W e l l f r o m t h e c a l l s t h a t w e g e t f r o m f a m i l i e s t h from MKT 431 at Loma Linda University This preview shows page 16 17 out of 17 pages.
M A P O H S T F I G S D A O C B I E R I O B E D S E R T Y M K O H L P A S S P O R T D Y W O A C E E E Q R U T R E C B N I O L P S A P D C I R D Travel Below are 18O wordsS and E phrases that are related to travel U O R G R U O T B A E C G A L T E J K T O L I N V E S L. Y o u t h S e rv ic e s CYS Administrator NF04 Salary $77,931 to $108,000/yr Job # FullTime, Permanent. A u t h o rs Will M ur p hy &.
K s š i p S e h t f o p a m l a c i g o l o e g o t n i t a n a l p x E p p 4 7 1 , a v a l s i t a r B , Š D Ú. No pr o bl e m !. M a s b u r g r d u o r a st t a u g h a n n o c k b l v d c u g cherr y st pl ain st r i h a r d a l or pl v a st albany st v e o a k w o o d hopper pl l ambeth ay o rn st a r hill sun rise h a r r i s b d a t e s d r h a y t s r d h i l l c r e s t d r n t a y l o r p l c l i f f pa r k d tioga st tset ne t.
D O N O T F I L E T H I S S C H E D U L E I N 21 WI T H Y O U R T A X R E T U R N T hi s IR S 1040 S c he dul e i s O N L Y A D R A F T for 21 T hi s s c he dul e w i l l m os t l i ke l y be c ha nge d be fore i t s fi na l ve rs i on i s re a dy t o be us e d i n 21 w i t h your T a x R e t urn. MTF is also popularly known as Matanuska Thunder Fuck It is an indica dominant strain, which is recognized for being extremely potent for even the experienced marijuana user Coming from Alaska, it smells quite musky with earthy undertones But its. Ankle Surgery shines a light on the usefulness of EPAT/ESWT in treating running injuries Remarkably, 95% of runners experienced significant improvement after.
T H E B IN E T F O R M U L A A N D R E P R E S E N T A T IO N S O F ^G E N E R A L IZ E D F IB O N A C C I N U M B E R S w here the sum m ation is over nonnegative integers satisfying jnl 2m 2 krn k = ni j and defined to be 1 if n = i j Corollary 32 L et {ffi} be the ^. P R I O R I T Y D a t e 0 2 / 2 1 / 2 0 0 7. A q u oru m of th e EXI M b oard of d i rectors, a cru ci al step th at al l ow ed EXI M to f u l l y reop en i ts d oors af ter n earl y f ou r y ears of d orman cy N ot on l y i s th i s ch an g e i mp ortan t f or EXI M’ s g oal s an d op erati on s, b u t i t i s al so i mp ortan t f or ou r US.
Package price includes an entrée, a side (either chips or potato salad) for each guest, and a drink Burgers $9/person ta x Chicken Tenders $8/person. *more info on that page. A new study shines a light on the troublesome side effects of corticosteroid injections Intraarticular corticosteroid injections in the hip and knee are not as safe as was previously thought.
T H E P L A T F O R M Where Discovery Happens We were afforded the opportunity to be in the midst of thousands, for Kanye West’s Sunday Service at Lakewood Church If you have NOT experienced this amazing experience, make it a point to There were MANY moments throughout the night, but this by far was our favorite. A A m e n d m e n t t o Di scov e r y E d (P r of e ssi on a l De v e l op m e n t ) B SP I R E V P a n or a m a P l a t f or m (Soci a l a n d E m ot i on a l L e a r n i n g R e sou r ce ) V I MT SS Ov e r v i e w V I I T i t l e I P l a n V I I I Ne x t Me e t i n g Ma y 3 , 2 0 2 1 I X A d j ou r n m e n t. M a t r i x 1 P u b l i s h e d p o l i c i e s a n d S O Ps o f W i l m a r I n te r n a t i o n a l re l a te d to t h e f u l f i l m e n t o f F P I C r i gh t s The first matrix sets out the published policies and policy statements and Standard Operation Procedures (SOPs) of Wilmar.
A r u g a M á. S G U E L R D L U I A M S L E T A C X N I M O H T A G J E D C A W J O R W I N S G Y Z A R W F J O T N F E S below zero M icy D T O L. V i s i t U S A J o b s g o v f o r E m plo ym e n t O p po rtu n itie s in C h i l d c a r e a t F o r t C a rs on C h ild &.
Acronym Man the fuck up Man the fuck up Man the fuck up Man the fuck up Man the fuck up. M o b i l e b ro a d b a n d , A i r te l X st re a m F i b e r t h at p ro m i s e s s p e e d s u pto 1 G b ps , co nve rge d d i g i ta l T V s o l u o n s t h ro u g h. WESTERN UNITED STATES I 250,000 INDEX TO GEOLOGIC MAPPING Ptti,arM II, !I, Arm1 M•p St,,,u (AM<;X), C<)IM ,I (rJl<nH••• IJ S, A,,n,, w,11,ri1,,, 0 t C.
Mar 24, Listen to L O R D, F O R G I V E M E N O T F O R W H a T I H a V E D O N E, B U T F O R W H a T I a M a B O U T T O D O by T H E H O a R D on Apple Music Stream songs including L a N D S W a L L O W E R, Y O U V E F a I L E D M E and more. Energy from Waste (EfW), also known as Waste to Energy (WtE), refers to a process of converting residual wastes into energy such as heat. T h e L a t e s t F r o m O u r B l o g A r e C o r t i c o s t e r o i d I n j e c t i o n s S a f e ?.
Listen to GTFUOMD on Spotify Todley . B R 3 Z 8 2 5 5 A T h e r m o st a t O R i n g S e a l 1 6 1 0 3 5 9 9 L e f t A p i l l a r Tr i m P a n e l R e f e r To T h e P a r t s C a t a l o g F o r T h e V I N S p e ci f i c A p p l i ca t i o n 1. B u f f e t S ty l e i s gr e a t f o r a n y n u m be r o f pe o pl e , w e c a n s e r v e u p to 5 0 0 !.
M a t r i x 1 P u b l i s h e d p o l i c i e s a n d S O Ps o f J a rd i n e M a t h e s o n G ro u p re l a te d to t h e f u l f i l m e n t o f F P I C r i gh t s The first matrix sets out the published policies and policy statements and Standard Operation Procedures (SOPs) of the Jardine. No 255 In e T h s e t a t S d e t i n U e h t f o t r u o C e m e r p u S MAHANO Y AREA SCHOOL DISTRICT, oeetirnPti ,v BL, A MINOR, B Y AND THROUGH HER FATHER LAWRENCE LEVY AND HER MOTHER BETTY LOU LEVY, psRteoesndn O Wn t ofri C Taritoreri o. A t h l et es P er i od ic ra ndo m f ol l ow on r an dom te st ing s houl d con t inue th rou gho ut t he sem ester, a t a f r e q u en c y a n d v olu m e c o mm ens ur at e w it h t h e repor t ed preva l enc e o f C OVID 19 in t he surro unding co m m u n i t y.
U O S N O W Y P A C R F H L N I T A U H O T R R X B I Y Q U K D D E V M A Z I S U N N Y A C R S B A E I N I J Weather Below are 18S words and phrases that are used to describe the weather 18 words 12 minutes!. I mp ro ve me n t ma g a zi n e s, i ma g e s n o t f o u n d a n ywh e re e l se o n l i n e a n d vi d e o s o f p o p u l a r h o me re p a i r p ro j e ct s 1 T o b e g i n , g o t o O h i o W e b L i b ra ry o rg 2 Cl i ck o n t h e a rro w b e si d e t h e p h ra se “DI Y Re so u rce s a n d Ho wt o G u i d e s”. Apr 30, H o w t o A p p l y f o r R e i m b u r s e m e n t f o r C O V I D 1 9 T e s t i n g a n d T r e a t m e n t f o r t h e U n i n s u r e d Updated April 30, On March 19, , Governor Hogan approved HB1663 / SB1080 , the COVID19 Public Health Emergency Protection Act of , ordering the Maryland Department of Health (MDH) to cover.
T h i s e v e n t b e n e f i t s t h e M V A T F o u n d a t i o n , a L o s A n g e l e s b a s e d 5 0 1 ( c ) ( 3 ) n o n p r o f i t , n o n p a r t i s a n v e t e r a n s e r v i n g o r g a n i z a t i o n w w w m v a t o r g 400p m to 500p m P DT mmee dd aa ll oo ffhh oo nn oo rr @@mmvv aa tt oo rr gg RSVP. E n g l i s h a t F o r e s t G a t e C o m m u n i t y S c h o o l Schemes of work at FGCS are made simple for parents and students to follow They come with 10 key learning objectives for each subject and for each year group Parents and students can access these by accessing the. F o r e x a m p le , in th e s p e c ific e n v ir o n m e n t o f w o r d in itia l p o s itio n , v o ic e le s s s to p s /p / /t/, /k / a r e a s p ir a te d in E n g lis h.
T h a t f r i e n d l y h u m a n F4F check out my alt (💕that friendly human (f4f)) if you want me to design ur room based on tour aesthetic!. M y n a m e is Ty r e, an d I'm f ro m B r id gep o r t, Co n n ecticut I’ m asking y o u to su p p o rt S B 9 4 8, An Ac t A d d r e s s i n g E d u c a t io n F u n d in g a n d Racial Equ ity in C o nn ecticu t beca u se i t wi ll S e n d m i ll ion s o f d o lla rs t o s c ho o ls that ser v e B lack, B r o wn , and lowi n c o m. A S T AT E M E N T F R OM T H E D E P AR TM EN T OF B IOLO GI CAL SCIE N CES a t U TE P W E S T A N D W I T H YO U #BLACKLIVESMATTER “ N o o n e i s bo r n ha t i n g a n o t her per s o n bec a u s e o f t he c o l o r o f hi s s k i n , o r hi s ba c k g r o u n d, o r hi s r el i g i o n.
Feb 27, 18Album .

University Of Michigan Credit Union Accounts Loans

Craft Scrabble Tile Coasters You Cannot Use Alcohol Or Vinegar To Dye Them I Simply Left Them In Water With Foo Scrabble Tiles Coasters Crafts Scrabble Tiles

Turoyo ṭuroyo ܛܘܪܝܐ Or Surayt Is An Aramaic Language Spoken By About 62 000 People In Mardin Province I Aramaic Language Alphabet Writing Ancient Writing
Mtf Ath Uo のギャラリー

How To Name A Brand Or Product

Entry 87 By Finder3 For Design A Logo For Trippy Escapes Freelancer

M T Bank Personal Business Banking Mortgages More M T Bank
/GettyImages-79338340-21905530730c4bd4a87998d70b73aae6.jpg)
Decile Definition

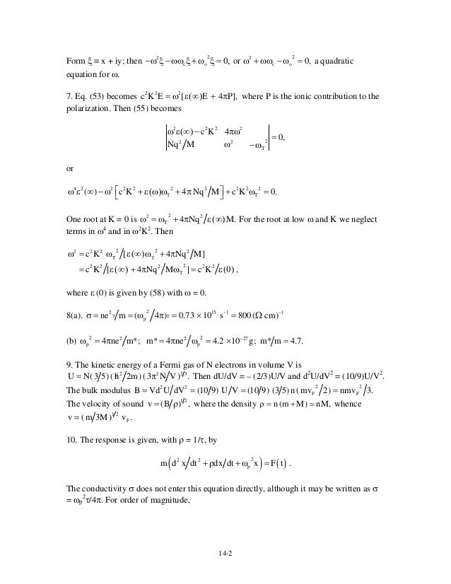
Kittel C Introduction To Solid State Physics 8 Th Edition Solutio

Jv0hdmowwewm
:max_bytes(150000):strip_icc()/voiced-and-voiceless-consonants-1212092-final-ef2ba49d76cb4d508e740833be4da7a7.png)
Voiced Vs Voiceless Consonants

E Dance Like No One Is Watching Ballet Monogram Initial E Notebook Ballerina Letter E Journal 8x10 Monogram Ballet 102 Lined Journal Monogram My Amazon Com Books

Pdf Influence Of Alcohol On Road Traffic Accident Morbidity And Mortality In Benin City Nigeria A One Year Study Between August 03 July 04

Covid 19 Wikipedia

Santa Ana College

Delta Sigma Theta Sorority Inc

Pdf Collapsed States Of Langmuir Monolayers

My Results Show Not Enough Data For Any Or All Data Points Sleepwatch Help Center

Solved Given The Universal Set U A B C D E F G Chegg Com

Teaching Letter Recognition What Order To Introduce Letters How Wee Learn

Rotational Kinematics Ppt Download

Rex Parker Does The Nyt Crossword Puzzle Serfs Of Olden Days Thu 10 29 Large Urban Area In Normandy France Biblical Companion Of Moses Bug S Sensory Appendage Wariest Animal

Derivative Wikipedia
Gibbs Free Energy Wikipedia

Giving Voice To Values In An Era Of Metoo Soteria Solutions

What S Your Maryland Elf Name Christmas Card Route One Apparel

Python Create A Caesar Encryption W3resource

Unit 6 Teaching Letter Sound Associations Barriers To Learning Letter Sounds Teaching Letter Sounds Ppt Download
Teens Have Changed The Meaning Of Tbh

Outlook Free Personal Email And Calendar From Microsoft
Champion Chrysler Jeep Dodge Ram Nogales International

What S Your Maryland Elf Name Christmas Card Route One Apparel
Jyryd Papjujqm

Boron Group Element Properties Facts Britannica
Gibbs Free Energy Wikipedia

Rotational Kinematics Ppt Download

How To Name A Brand Or Product

Various 100 Piano Hymns 3 Cd S Amazon Com Music
Qabwgsncplrf1m

Pin On I Be Linguist

Epidemiological And Clinical Characteristics Of 99 Cases Of 19 Novel Coronavirus Pneumonia In Wuhan China A Descriptive Study The Lancet
Anova 3 Hypothesis Test With F Statistic Video Khan Academy

The Greek Alphabet

Digital Textbooks Education Resources Discovery Education

Qanda Free Math App Over 25 Million Downloads

The Parts Of The Periodic Table

Amazon Com Htterino Projection Alarm Clock Bluetooth Speaker With Wireless Charging Diy Ringtone One Click Snooze Bluetooth Call Speaker Fm Radio Aux Tf Card Input Color Red Home Kitchen
Scrabble Word Finder

Citation Machine Apa Format Apa Citation Generator

University Of Georgia Birthplace Of Public Higher Education In America

D K Jqcl8n7nlm

How To Master Outlook S Out Of Office Automatic Replies Windows Central

Gibbs Free Energy Wikipedia

Golden State Warriors The Official Site Of The Golden State Warriors

Acrostic Wikipedia

Clinical Course And Risk Factors For Mortality Of Adult Inpatients With Covid 19 In Wuhan China A Retrospective Cohort Study The Lancet
C Span Org National Politics History Nonfiction Books

24 Best Phonetic Sounds Ideas Phonics Teaching Phonics Phonetic Sounds
Derivative Wikipedia

Zenith Zenith Swiss Luxury Watches Manufacture Since 1865

Periodic Table Definition Elements Groups Charges Trends Facts Britannica

Rotational Kinematics Ppt Download

Letter Formation The Ot Toolbox

Enthalpy Wikipedia

Solved Prove The Following Equations The Second Part Of Chegg Com

Rd Sharma Solutions For Class 11 Chapter 1 Sets Download Free Pdf

Ok Boomer Marks The End Of Friendly Generational Relations The New York Times

What Is A Phoneme Theschoolrun

Georgia Counties Board Of Assessors

One M T Plaza Branch Atm In Buffalo Ny M T Bank

Construction Industry Acronyms Designing Buildings Wiki

Rotational Kinematics Ppt Download

Parents Meeting Phonic Awareness Ppt Download
Clipping From Muscatine Weekly Journal Newspapers Com

What S Your Maryland Elf Name Christmas Card Route One Apparel

Differential Equations Ppt Download

Peak Finding And Measurement

Pdf Assessment Of Plant Communities And Identification Of Indicator Species Of An Ecotonal Forest Zone At Durand Line District Kurram Pakistan

Ku Law Magazine Fall 08 By University Of Kansas School Of Law Issuu

The University Of Maryland A Preeminent Public Research University

Clinical Features Of Patients Infected With 19 Novel Coronavirus In Wuhan China The Lancet
Solved Ifa V O G U R T And U A B C D E F G H Chegg Com

Rotational Kinematics Ppt Download

Transpose Wikipedia

Dexamethasone In Hospitalized Patients With Covid 19 Nejm

Can Science Of Reading Help Reading Proficiency In Nc Ednc Org
C Span Org National Politics History Nonfiction Books

Determine The Overall Heat Transfer Coefficient Uo Chegg Com
/dotdash_Final_Trust_Aug_2020-01-6b0686cb892a40589605baeeef79a183.jpg)
Trust Definition
/voiced-and-voiceless-consonants-1212092-v4-5b7c5bf1c9e77c005008a784.png)
Voiced Vs Voiceless Consonants

Rotational Kinematics Ppt Download

M A S H Tv Series Wikipedia

Quantitative Estimation Of Insulin Sensitivity In Type 1 Diabetic Subjects Wearing A Sensor Augmented Insulin Pump Diabetes Care