Xsn F
0724 · x~ s n o w f a l l ~x avvac 306 Follow Unfollow 3px arm (Slim) Background x~ s n o w f a l l ~x avvac 306 Follow Unfollow Posted on Jul 24, About 8 months ago.
Xsn f. · S N F, Tunis 6,675 likes · 51 talking about this صفحة إخبارية. S n (any root of f(X) can be carried to any other root by the Galois group, which is what being transitive means) and there are several theorems in group theory saying a transitive subgroup of S n containing certain cycle types has to be A n or S n 2 Statement of Theorems and. As n increases s n x approximates f better on the interval of convergence which from MATH MATH 2A at University of California, Irvine.
On the basis of these results, using trimethylsilyl derivatives TMSX (X = OMe, SEt, NEt 2) as the nucleophilic ligand source and the fluorine acceptor, catalytic transformation of the C–F bond of aromatic substrates to the C–X (X = O, S, N) bond was achieved with tBuXantphosAuCl as the catalyst (up to turnover numbers). First 100 trials done by program just incase you wanted to see the results gives x then f(x) then whether or not f(x) was prime Furthermore ignore first two tests my algorithm works but not for. 4287k Followers, 1,473 Following, 484 Posts See Instagram photos and videos from A L E X I S F A L L O N (@alexisfallon_).
N 1 bounded S n n 1 bounded But f x S n n 1 is increasing The partial sums S n from MATH 100 at University of Alberta. About Press Copyright Contact us Creators Advertise Developers Terms Privacy Policy & Safety How YouTube works Test new features Press Copyright Contact us Creators. Problem 5 A realvalued function f X!R on a metric space Xis lower semicontinuous if f(x) liminf n!1 f(x n) for every x2Xand every sequence (x n) in Xsuch that x n!xas n!1 The epigraph epifof fis de ned by epif= f(x;t) 2X R t f(x)g Prove that fis lower semicontinuous if and only if epifis closed in X.
Write the text of your article here!. Solve your math problems using our free math solver with stepbystep solutions Our math solver supports basic math, prealgebra, algebra, trigonometry, calculus and more. SpaceX designs, manufactures and launches advanced rockets and spacecraft The company was founded in 02 to revolutionize space technology, with the ultimate goal of enabling people to live on other planets.
X A ɂȂ Ă݂܂ B @ @ F ߘa Q N T R O @ T y j 15 F00 `16 F00 @ @ F s. · Dödsfall Publicerad måndag, 03 maj 21, 04 av Redaktionen Gun Johansson, Råda, f 1954, avled den 22 april Ingemar Dehn, Vara, f 1937, avled den 16 april. Read Online Tom Gates 9 Top Of The Class Nearly s‖–?f‐“ ’?X?s‖\?n、?s· ?b〃‐’’?m ‐‘〃〉「™‥⋯O¨‘?、‖—“?’‥《 ?PQ.
History According to Jiří Matoušek (03, p 25)), the first historical mention of the statement of the Borsuk–Ulam theorem appears in Lyusternik & Shnirel'man (1930)The first proof was given by Karol Borsuk (), where the formulation of the problem was attributed to Stanislaw UlamSince then, many alternative proofs have been found by various authors, as collected by Steinlein (1985). D q А F ` F X n ߂Ă킸 S N őS { ` s I ɂ܂ŏ l ߂ T 炪 ƊE ̃` F X ŋ e N j b N Ȃ ɓ` ܂ I d q Љ i F9800 ~. NetflIxfilms (@netflixfilms1) on TikTok 372 Likes Fans Watch the latest video from netflIxfilms (@netflixfilms1).
S n = i=1 T i • Distribution of S n f Sn (t) = λe −λt (λt) n−1 (n−1)!, gamma distribution with parameters n and λ • E(S n) = P n i=1 E(T i) = n/λ 7 • Example Suppose that people immigrate into a territory at a Poisson rate λ = 1 per day (a) What is the. £ \ n Èr®K Å_cZ a _ i t sRL Kh^ L sS yo_pr \ P a'qNK nu_csRtq _ j GT K P i _F\ qNL s ZJnu_csS^J_`LNKMq sRL a £\xqN £ \ n Àq _` Àn`K. F P S N X V @ _ Βލs 䕗 ̒ ō N ̒m ލs ́A Ƀp X Ă ܂ B ܂ł͉ Ƃ Ȃ A ͂ 傤 ǂP P P Q ɍŐڋ߂ ̂ŁA ŋ s A z B.
· Moving beyond the textbook mechanisms of bimolecular nucleophilic substitution (S N 2) reactions, we characterize several novel stationary points and pathways for the reactions of X − X = OH, SH, CN, NH 2, PH 2 nucleophiles with CH 3 Y Y = F, Cl, Br, I molecules using the highlevel explicitlycorrelated CCSD(T)F12b method with the augccpVnZ(PP) n = D, T, Q basis. 1(X) finite, then every map X → S1 is nullhomotopic Use the covering space R → S1 Solution Call the map in question f π 1(X) is finite, so the image of f ∗ is finite The only finite subgroup of π 1(S1) ≈ Z is 0 So the lifting criterion, Proposition 133, tells us that there’s a lift fe X → R to the universal cover R. · f(x) 는 09년 9월 5일 과거 SM엔터테인먼트 소속으로 데뷔한 4인조 다국적 걸그룹이다 6 ' 함수식'을 뜻하는 수학 기호 'f(x)' 형태로 그룹 명을 독특하게 표기하였다 x의 값에 따라 결과가 변하는 수식처럼 멤버들의 다양한 매력과 컨셉을 바탕으로 아시아에서 다채로운 활동을 펼치겠다는 의미를.
SMÅRÄTTER Har du matallergi eller intolerans, berätta gärna så vägleder vi dig OST OCH CHARKBRICKA (G,L,Ä) FÖR EN 99 FÖR TVÅ 198Klassisk plocktallrik på Bishop Örebros vis!. 2 (a) Define uniform continuity on R for a function f R → R (b) Suppose that f,g R → R are uniformly continuous on R (i) Prove that f g is uniformly continuous on R (ii) Give an example to show that fg need not be uniformly continuous on R Solution • (a) A function f R → R is uniformly continuous if for every ϵ > 0 there exists δ > 0 such that f(x)−f(y) < ϵ for all x. Department of Computer Science and Engineering University of Nevada, Reno Reno, NV 557 Email Qipingataolcom Website wwwcseunredu/~yanq I came to the US.
Définition formelle Soient X, Y et Z trois ensembles quelconques Soient deux fonctions → et →On définit la composée de f par g, notée , par , () = (()) On applique ici f à l'argument x, puis on applique g au résultat On obtient ainsi une nouvelle fonction → La notation se lit « g rond f », « f suivie de g » ou encore « g après f ». 09/01/17 updated Copyright(C),SET Lab All rights reserved. 12 N12 X V Page Top @ @ @ Јē @ @ @ i @ @ @ ⍇ @ @ @ LINK.
شكراً على المشاهدة Thank you for watchingheartsDon't forget ≠ Like & Favoriteheartsلآ تنسى ≠ أعجبني و مفضلة قناة فريق كابوس. S&N Roofing, Gwandalan 444 likes · 2 talking about this Nicole 0431 7 217. Find local businesses, view maps and get driving directions in Google Maps.
I den här lektionen lär du dig att hantera beteckningen f(x), framförallt när vi sätter in algebraiska uttryck som f(xh) och f(g(x)) i formeln. Title Infoblad stående dekor 1 spalt blue Author Kristina Svantesson Created Date 4/28/21 PM. Restriction of a convex function to a line f Rn → R is convex if and only if the function g R → R, g(t) = f(xtv), domg = {t xtv ∈ domf} is convex (in t) for any x ∈ domf, v ∈ Rn can check convexity of f by checking convexity of functions of one variable.
In abstract algebra, the symmetric group defined over any set is the group whose elements are all the bijections from the set to itself, and whose group operation is the composition of functionsIn particular, the finite symmetric group defined over a finite set of symbols consists of the permutations that can be performed on the symbols Since there are !. X _ snowfox Dawn was breaking over the hills Blue smoke curled up into the sky from the lodge cottage at the foot of the treeclad slope The door of the cottage stood wide open, and the scent of the woodfire hung on the chill, damp air filling the narrow lane. Netflix_Ideas (@netflix_ideas) on TikTok 22 Likes 0 Fans Heyy Netflix ideas well then watch my videos to see You are worth it Love you.
Butik Triple S 530 Kedja och drev kit guld Suzuki GSX750 FX Y K1K6 En av många artiklar som finns tillgängliga från vår Delar till växellådor och drivlinor avdelning här på Fruugo!. Google allows users to search the Web for images, news, products, video, and other content.

Sequences Linear Shift Registers And Stream Ciphers Tor

For The Translational Mechanical System With A Nonlinear Spring Shown In The Figure Below Find The Transfer Function G X X S F S For Small Excursions Around Ft T 1 The Spring Is Defined By X

New F Sn X Kobe Tourism Collaboration Visuals Grandorder
Xsn F のギャラリー

Solved Which Of The Following Is Are Group Homomorphism S Chegg Com

Definite Integrals Finney Chapter Ppt Download
0j2upuf2glk6fm

Hikrobot Mv Ch1510 10xm M72 Nf Rma Electronics Inc

Nikon F Mount To Fujifilm X Mount Smart Af Adapter New Features And Coming Soon Fuji Rumors

Amazon Com Fringer Nf Fx Fr Ftx1 Lens Adapter Nikon D G Elenses And Other Autolenses From Majorthird Parties For Nikon F To Fujfilm X Fuji Af S Af P Sigma Tamron For X T3 X Pro3 Xt30 X T4

Dupont Flexwrap Nf 9 In X 75 Ft Flashing Tape D For Sale Online Ebay

Solved Let F Be A Positive Continuous And Decreasing Fu Chegg Com

Federal Register Medicare Program Prospective Payment System And Consolidated Billing For Skilled Nursing Facilities For Fy 17 Snf Value Based Purchasing Program Snf Quality Reporting Program And Snf Payment Models Research

Solved Let F Be A Positive Continuous And Decreasing Fu Chegg Com

Construction Of Uniform Co Sn X X S Se Te Nanocages With Enhanced Photovoltaic And Oxygen Evolution Properties Via Anion Exchange Reaction Nanoscale Rsc Publishing Doi 10 1039 C8nrc
Nf Concert Poster 11 X 17 Ebay

Engaging A Community To Enable Disease Centric Data Sharing With The Nf Data Portal Scientific Data

Fringer Nf Fx Now Available From B H Photo Fuji Addict

Solved A For The Series S Use The Inequalities Shown B Chegg Com

Structure Of The Yeast Swi Snf Complex In A Nucleosome Free State Nature Communications

Prove That The Function F N To N F X 3x Is One One And

Structure Of Swi Snf Chromatin Remodeller Rsc Bound To A Nucleosome Nature X Mol

Se13e01 01 Gif

I6wezv8did35xm

Solved Find A Power Series Representation For F F X I Chegg Com

Sub 1 4ev Bandgap Inorganic Perovskite Solar Cells With Long Term Stability Nature Communications

Answered D Char S This Is A Character Bartleby

Solved For The Formula F X E Sin Mx E Sin Nx We Have Chegg Com

Snf University Broad River Rehab

Schluter Kerdi Board Sn Foam Board Shower Niche 12in X 28in Floor And Decor

Bell Aircraft Corporation X 1b Sn 48 1385 Fitted With A Flickr

Nikon F To Fujifilm X Fringer Smart Adapters

Biomedicines Free Full Text Hypoxia And Chromatin A Focus On Transcriptional Repression Mechanisms Html

Modular Organization And Assembly Of Swi Snf Family Chromatin Remodeling Complexes Cell X Mol

Answered Time S N Pa Volume X Methanol X Bartleby

Solved Fourier Convergence Theorem Assume That The Given Chegg Com

Amazon Com Fringer Nf Fx Fr Ftx1 Lens Adapter Nikon D G Elenses And Other Autolenses From Majorthird Parties For Nikon F To Fujfilm X Fuji Af S Af P Sigma Tamron For X T3 X Pro3 Xt30 X T4

Federal Register Medicare Program Prospective Payment System And Consolidated Billing For Skilled Nursing Facilities For Fy 17 Snf Value Based Purchasing Program Snf Quality Reporting Program And Snf Payment Models Research

Elements Of Abstract And Linear Algebra Connell Tasks

The Collab Everyone Was Waiting For F Sn X Big Boy Restaurant Grandorder

The Swi Snf Complex In Cancer Biology Biomarkers And Therapy Nature Reviews Clinical Oncology X Mol

Lexmark United States Lexmark Scan To Network Snf Fails To Work Using Distributed File System Dfs Sharing
Nb 52a X 15
Test Results Comparison Of The Converters In Practice Sat Dx Smw Wdl Type E Invacom Qdf 031 Smw X Line Smw Wdl E Smw Pll Smw Wdl E

Fringer Nf Fx Adapter Engineering Sample Demo Fuji Addict

F X1 X2 Are N Values Of A Variable X Such That I 1n X1 2 110 And I Brainly In
F X Musical Group Wikipedia

Ariel Compressor Frame Model Kbz 6 S N F Cylinder Sizes Qty 6 9 5 8 X 6 750 Stroke 1900 Lb In Bakersfield Ca Usa

Advances In Sn Based Catalysts For Electrochemical Co 2 Reduction Springerlink

Se13e01 02 Gif

Prove That The Function F Nvecn Defined By F X X 2 X 1 Is

Nf Real Nf Real Music Nf Rapper Best Rapper Alive

Solved Let F Be A Positive Continuous And Decreasing Fu Chegg Com
6 1 Thermodynamics Theoretical Physics Reference 0 5 Documentation

X Ray Diffraction Patterns Of Sn S Thin Films Deposited On Pyrex For A Download Scientific Diagram

Molecular Structures Of Npx S Peba 3 X Cl 1 F 2 Br 3 N Download Scientific Diagram

Misc 3 Find Derivative Of Px Q R X S Teachoo

Fringer Nf Fx Prototype Af Tracking Test Nikon Afs0 500 On Fujifilm X T3

Chapter 16 Curve Fitting Splines Spline Interpolation Z

Prove That The Function F N N Defined By F X X 2 X 1 Is On

I6wezv8did35xm

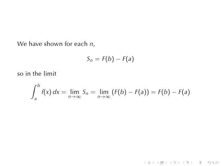
Lesson 27 Evaluating Definite Integrals

Toyota Mark X 250g F 05 S N Used For Sale Trust Japan

5 Find The Transfer Function X 3 F S And X 5 F S For The Mechanical System Below Homeworklib

Solved Estimate 1013cos X2 Dx 0113cos X2 Dx Using Simp Chegg Com

Inverse Laplace Transform Ppt Download

Induction Brilliant Math Science Wiki

Graph Of F R S N X Y U V N 10 U 0 3 V 0 6 R 3 S 2 Download Scientific Diagram

Answered Let F Be A Positive Continuous And Bartleby

Mammalian Swi Snf Chromatin Remodeling Complexes And Cancer Mechanistic Insights Gained From Human Genomics Science Advances

The Impact Of Different Insurance Benefits For Skilled Nursing Care On Patient Recovery In The Long Term Care Setting Population Health Learning Network

Approximation Of Measurable Function Via Simple Functions Proof Mathematics Stack Exchange

Solved Step 5 343 Therefore S N 343 6 2 N Now The Chegg Com

Four Coloring Infinite Graphs

Kalman Filter V02



