F Sn Xw U E
X ^ F 616 S$ Ñ ¼ î È b å £ î º) Ý \ ¥ g * ¡ å £ î º G p ¡ å £ î º G p"á (Ù ># >/>, h$Î Ñ ¼ î6ä.
F sn xw u e. } s n y ç } d } õ F î ò Ö l Ï x è ¥ y n l > x ® y î q Ë ¾ Þ a ¸ è ¥ y n s ` ¼ k ¯ @ è ¥ Á a ¸ è ¥ y È ¦ ( I Ø È ´ r I è s ê Ü ¢ ë Î · r K O z u V ê c b ( q h Û Ò y ¤ z. } P µ v Z P u o X } u G b X º"Þ#ú!?. X è ¹ S w ô M â ² U M j ã X è Ï á ` h w p x s M T q ß Q (d) ï é ¬ (e) A ¨com x â ² è Ï á w q j t O Ç Z \ q w O U ì S w ² Í U _ o (f)MovieLens U â ² è Ï á q r j Ô ^ s T l h \ x(f) x ì ¶ s ï Ä p w à » p w â ² w ° A x _ Q s M f w h \ w A L x Æ ×.
X ` U f } ¬ v ü K ¥ x ï q ½ S n , ÷ 1 Ó , Ù r § % , Z ÷ ü / Ë ñ w Ú } , ÷ 1 çµ å ã ã å å æµ·é è¨ æ£å¾ ã xlsx Author é 幸 Created Date. ¡ ¡ v U S Z ÷ ô È W55 d Ò s Í Ï f £ v U S Z ÷ ô È W55 d x ó Ý Ä Ø / ¨ ö s ¢ £ ä 3 Í Í U ü s H f ¿ ® Ä ¡ ö s ¢ £ ä 3 Í Í ö s ¢ £ ä 3 Í Í U ü s H f ¿ ® Ä ¡ ö s ¢ £. W è ~ 6 º 0 T U ò è ¨ Z ` ü ¨ ~ T g ` h w p K { s S z® ¢ £ w U ò è q À Ì w x a S ¯ x øúò è øûùw é $ U t ü ¨ ^ o M w t 0 ` z ¶ w R ¢ ¶ w U ¶ ³ Ä x z ¢ w, k q s ¯ Û á Ç ³ ã ï U z ñ \ Æ q ` o Q þ q.
S W PMV N F w ¥ è p 9 ¢ y X ù c U ¦ Ì å ¿ Ó ` o M } æ Z t S M o W PMV N F w ¥ è p 9 ¢ y X ù c U ¦ Ì å ¿ Ó ` ¢ U ÿ C b \ q U C ^ o M U ð í > ¤ t S Z ¹ · ï » p w ° A w p K º t S Z ¢ ü Í Ô L ù ¢ U ¶ q v ½ ³ æ $ 5 q è t S Z X JE F W PMV N F TDBO ;. X«,} Æw 5Æ^ &}f û ¯ Ýû Ù Ðë¸Brµ BsY È zÌ È {OÈ zaÍ{* ag ls{N g } à ÀøfzaÍ W ew c e} Ì È { w pzÆÍw ·sY e} ÆÍw«PvÔ QazOÈ zbU Ì{ ¸x w«PvÌ È Xªò¾òwv e} Ô XWW _tsèz. ^ S w ï Ç F U F < w ÿ ¢ ® Ñ æ Ä ÿ ¯ ® b ;.
2 x M G \ _ ^ ~ >k>0 \ S ~( X c ì Û @ V G W S \ N I S 0è9 _ > 8 Z X @ ß Ð å l b ' f @ u ppH * W l g º n ö%¼!J b ö a b#Õ*ñ l b s8j @ Â& _ ^ W S0 I c. ¨ f ¢ Ä ´ Ô5(65 æ ä ù · Ú ÿ ^ æ ù Ñ ¼ è P r Æ · h Ñ ` Ø Õ/ >&& ¸%4 ú# C%Ê'2 d>'. , Ü è ý 2 À ¦ /* á s Ò 7 } Å Û ¿ ³ ã ï Ù æ ³ J G ¶ w g æ g r ` z G ¶ Ã J ¶ È w P F R w è $ t Q O s Í w O s ú w Ö ¶ 1 l ` b {} å M w ¶ æ À ` z ô S s Ñ J ¶ z.
¸ è à Æ y è Â Q ® s b q O d } j Î ¢ ¨ Ü Ä è é y W " = b j ù 0 ½ ¢ Õ y 6 0 R à é ½ é ' 6 0 R f q ¤ Ö v f Ø b ^ y 6 0 R v o O q z ². (3) C3 U Ú ¢x= −3 t b q V, C3 UC1 t b \ q ß Q q, C3 w ¤ ú x Ú x= −3 w È t K l o, r= a−(−3) U R q m w p, \ q4 a= 19 8 ¢ t £ p K \ 5 t E Ö b qb2 = 195 4 q s w p b = √ 195 2 ¢ t £ p K (4) (a, b) q j è Ú¢ q, (a, b) q (7, 0) è Ú¢ U Ú ¦ b w p. F x x ` G 6 ( L cç C r W K D } j "Þ( ( 5 c ?.
Ê Õ ø « d ê W è ` ¸. ® x W £ £ £ £ £ £ £ £ F m É Ú ¡ » x K x Ñ & ø K x _ M H Ç ¥ ´ ü } Ä V A £ ß r ó ß È K W S N K N W T S ü } v ü ® S K O , % = r c j N P S K P V Q K P P N O _ M H Ç ¥ ´ ü } Ä V A £ ß r ó ß d _ v N P S K P V Q K P P R N f ¡ É Ï í Á ² Á f ° > Ï r ® í E. W x s N Ë { & s Î Ì !.
W ° F R L U Ó G V L S ¼ F V L W Ó G q > O V ¼ F O N Ó G O T ¼ { > P P ¼ F O P L P Ó G Í O V N N O V N N ß î Í Ü ° å º Û º » K { u X P T N N £ f X S N N N ¢ Å è w 0 è û 3 ÿ 8 £ Å è w ö 6 o ` ¸ ¬ ± ¯ 6' (# º î Ó å j f f > O Í R F æ Ý ù ² G j f e j f a. F Õ ø « ;. ® s = s W u V n j d O c u O V u ± } ¤ ú ÿ j u F õ S } ¨ ñ ç ¢ ñ r \ s O è é r o u W ¢ ñ ½ Ë Á Æ Ï y ¨ ñ ç ¢ ñ z o Ô ÿ r X Â é } J ¦ V o r E r X d } b V b j Z ` yn k y j l r Ò n q O y W ^ y ¨ ñ ç ¢ ñ ® ¿ r d } ° ® v ~ y z W * W X q u V n j.
° Ù @ Ù ô ù ( · W ) n è ô Y e i Ù W f T é Á Û Æ W õ y ½ W Ù5 ó Ù Wf X $ Ù W L Ö ¢ _ S þ 3 U W. ¤ k \ r z u Z O u ± U V ç ® Ñ a Q v z b q X b j W Þ v ¿ Þ ¨ b j ^ s z M f } ´ v s n q ç Ó è y å ¶ @ & n ö Ï ç ® Ñ è W ¨ s b q y J ² 4 r d } Ü u ^ s v S { È M d } ö Ï ^ y I Æ u Î y ^ H b n V s ¨ W r X y V T × ` f. þ { s { n H 4 { ( s Ù è ¸ { Ë s } ¿ ¶ { õ s ã { » s { â { ú s ´ U ÷ { º Õ s { Ó w { æ s w ¥ Î { Ë s { ¡ o = { r s è ¸ { s ¿ { ¢ s Y ¸ { ÷ s » È { q ü s è ¢ Î _ E { â v s d } f ¢ {.
( Ê º w x £ & Ñ » Ý Æ ¥ ² ª » ° > h v Ì e É Ö Â r n n g k > v n n d p > o s n n d p Æ Ë l. Å C È ¡ o ¶ 3 ` ¸ C É ÿ I , Å C Å C È { ü Ó Ê ` ¸ C Ù ì ù ;. ç F Ö Ù ° C · þ w Á ü ù ó è ø % c f ´ Ô } U , d ´ ¯ ^ ^ y J Ã £ Í d Ì s b q z ¸ ^ y ¯ 2 h v R ` L3 v z ° ^ ^ y È Ò ò _ s W M n j Ù þ r r X ¯ Ö Ù È Ò ò _ s W M n j Ù þ r r X ¯ y È.
) Ù m ¤ ô \ ¤ ü h ³ H 4 þ ¯ \ ¤ V F è u ¶ Å × Õ _ h 0 > < ü þ > < ¤ Ü y F X w « ¥ s ¶ Å Ö. R u V F ¬ F u È ¢ z F s F u È y è V y F ¯ \ C ^ s ñ û J ¹ ñ ½ × Õ _ !. W ` b Z u O Ö û v z W è s b q y @ = u t v _ # Í Z k ` O } s ¿ & D z & D ò Æ W ¦ ü v 2 " b & D Â Á v z ¸ Á y ¢ d } & D ½ v z ´ ç U y f Ú è 2 Ç s b j è È ® á v _ ¢ O j k X d } f Ú H ¸ ¿ ¥ Á è · Æ _ ² Z k ` O } É I è ¼ y i û , y I N C } v o O q &/$ ¿ z ¡ W , y s Ö · ½ Á Ó V y ÿ b O W , ¾.
^ O i { j s t z \ w à ² ï x Ì ~ ï Ñ ¥ Ý ³ ã ï ¶ þ » p w d ® p V l h q M O { x z § Ý å æ q f § Q s 8 F p Ï R ^ o M {² Ø T _ q z s 8 F t x"7FS w È w Í t µ  » µ å Ä U _ Q z. Ø É ì a À ² á ~ I ± È ¿ Ò > \ È z 8 5 ý 2 8 à î % \ 7 à Ö f 8 Ý ç ¨ d 2 > À q à Ö ® ³ 3 y ó Þ Ý ( î î ¢ Ñ à ´ y > ' E \ Ý ï P m. G þ F !.
ö u ¸ Ï è È ç U u È ð y ü è ì e ö u ¸ Ï ü I s ´ l µ Ö J u ^ ã â ö u ¸ Ï ü ç ^ I s ´ µ ú è Ö ¸ ö u ¸ Ï p Ï W 2 Ï ® X I s ß / â ) ® I s ´ ¢ m f µ Ö J u & n _ p Ï W ® X I s ´ ¢ ¶ ã É m f µ ´ ¢ ú ñ Õ ~ µ. Q \ q U p V h q ^ } \ w Ì 8 ¦ Ú ï Â x ( Ý ¯ » ï ¶ w ¬ $ æ Ä T « Õ ¤ ú w ² $ æ Ä t !. A I ø ` _ s N w Z / c T v ` É · o d £ F 7 s P A ß ´ ¶ ¢ E ¢ ® ¨ Ý 7 A ï Ò à Ø C Ô 0 _ ^ F d 2 ` í ¾ A 7 T v Z / ¨ ` ¨ = = 9 T U D Ù þ A 7 s N w º X ü ` Á · F \ ý 3 @ J _ 9 } ;.
Ù È 4( F È h _ ~6â6P K>* 4( Ø3¶ b W È _ ~ Ù È I O v b 6 ~>* Ý Ø b%Ê'2 4( > g Ù È 4( Ø3¶>&EdZ>*EDZ>' _0¿ E S0 X b0{ !l >* Ù È b Û> /8 æ x8 /8 æ b  Ì4Ä ( í È#"I ö>8 È# 2A S4 _  L S W È b È } G >* Ç d ¦ q 8 _ m % b3ñ È ö. È î Ò _ ^ ~ u S Æ å ¡ Ü î ² î v ò1* > e O W I 8 > ' v ^ o µ } í ì Ò r 6 r ~ ^ ?. _ ° > t x s n > ` ° > u x p n > a ° > u x s n > _ ° > o q x p n > ` ° > o q x r s > » Ý @  e Æ Å ä Å ã ¡ ò » & Ó Æ ¥ ² ª » ° > ó Ë þ h x £ ;.
Ç F U F Í K Ô ù w ÿ M M b { Õ 8 ÿ t S Z ® e å S ¯ q x z s å S x 8 Ô T å z Í å S ñ x f g 8 Ô w p Ô T å M M b { Ñ æ Ä ÿ Ê ï Ñ æ Ä ÿ ÿ U × t ~ ;. W û & Ê S N N Ì x > û r Ý & > ¥ > ® À » Ê ¨ Ü ù 8 ï ) Ö Ä è , 8 ÿ 8 ° ® Á õ ë 8 â f » Ý ¿ É ù 8 ÿ * 8 & É Ä ¯ « ° í ô û ° Ç ¤ Ü ` ù û & w ï ð x > ¤ É ¢ ¢ ¶ & è 7 ù ÿ ø ê ¬ 4 £ û r » Ý Ó ´ É ø ÿ ´ ø ´ Ý ´ ø ´ ¢ ú £. *2 È 9 ! ¨ ¤! a D r / $ c b ì D r / $367 / ) b 27 / Ò ® l 34 / !K!!h!9 75 / * , F / $.
X 8 ¹ x î ¨ ¿ 8 K Þ W × D · 3 ø î d È z D % I R ± û L ß y &_ ß ² a 2 ± ¹ Ã r È ¿ Ô ý W r I ¯ s À ² } K î % \ 7 ì _ i º ´ Ù ;. , Å C Å C È q ü e f ` ¸ C Ù ÿ I , Å C Å C È Î " Ô Ê ` ¸ C Ù , ;. Ì w y X Q ° A ² H Ë ¦ j ¹ ¦.
` L Ý / & F 9 T U B s N w Z / d ì < è ç X \ 9 9 c t Ñ ` ® ¨ @ ~ Z. 12) ã q å w å w @ l Ô È w ¤ È S w ê U 1 3 ) q Ç à Æ ¨ Æ È Ì S w I ã w ³ ç ¤ iP E C. ¤jy ¶¥ H J» F R Ö¶ w ¶ 6 t b Ð*Z ì¤ l Sw) t £ è`o (ty õ ~ j úy õ ~ ÿ æy à ~ô >yÁ ² >y° ~ ¦ y p ~ { ayy ¿ A Survey on the Conceptions of Learning in Physical Education Among Students.
 s N ú Ì ^ { b N V h \ õ Q Ö Ì s ® È w É î à î ü v O Ì J Deveropment of the intervention program based on a behavioral science for metabolic syndrome prevention of adults ¤ Ò Ô F U O Q X T R U W a ò @ ä ² q iIZUMI, HISAKO j. ¿ ¦ Ê ¯ w Ô ù x G Ã Õ é ¿ Í w ú Ù » ë Ú ï ³ ã ï T ô ¹ s Þ Ä « U C \ ` h h p K z h ® r V ¯ t ` o x ¬ ¡ U * % ì Ô t z o  t ü á ^ h \ q U G V X è ¹ ` o M { ° æ p x æ V a W h  ô ò U è ^ V _ w w z ï a o Ú ï ³ ã ï1&3 U ô. è Û Ü8FC § Ý å t \ w à ² ï U & ;.
@f· nfþ w è* x lg a* xfþfÊf·fËfÿf¸fíg fîg 4( ¥fÛg fþ 8ªfû g ° Û* 4e ¤fûfÚfág 8ª* x lg a* xh h '5f·%±h f· ì d ¾0b ¾ 3û>à>Ü >ä >ä >Ü>Ú>Þ >ä >Ü >Ü >. È }'ö2° ¹8 W)° { 5 !O &k ¡ % b Æ &k l g2 õ* º Ø d ¦ ¡ 8ä '¨ M$Î7Á d $Î7Á0¿ f >& È }5r'ö>' d ¦ 4( ¡ 8o% ¹ B 1* d ¶ d º Ø ó ¶ w È!)#ë x4 >2>3>6$ Â Ý È È < Q#Ý 1 0 0 Â Ý È 3 X É Û º É Û º É Û º É Û º ¥ å º ¥ å º É Û º É Û º)3 3 X ¥ å º ¥ å º É Û º É Û º É Û º É Û º. 2 b U t t x È q ` o w & g q × ô U K l h T \ f Y Ü s Q Ü w G ~ t !.
W S ÿ s ¼ á b5 u b ³ Õ î 8 ð ¥ b d< v Ç µ ¡ Ç b%& D p ô ô>i>e b H Ç Ç î « º 5 V F Z ±. D } D ^ s W Ë b V n j d ç U z=RRP n q ¨ ñ ç ¢ ñ r C s ¨ x y s è O b j } Ù H y37$ « á ñ Õ F v V 37$ 7 y « á ñ Õ r d } / ¤ s ^ O r ) Ö c _ b u W C s ¢ O y Î Í l d } Ö Ù o q ¨ x r X º b O = s s u n q O d } d e r 7 r X j s § n q O d } Ù 37$ è · Ü · z « è · Æ ¯ y Í I W I y ² o ¢ ¦ · 9 y ^ W Q è. ) ô ¤ ü h ³ V r þ ¤ z Î · r þ ¯ \ ¤ ¶ Å × Õ _ !.
 s N ú Ì ^ { b N V h \ õ Q Ö Ì s ® È w É î à î ü v O Ì J Deveropment of the intervention program based on a behavioral science for metabolic syndrome prevention of adults ¤ Ò Ô F U O Q X T R U W a ò @ ä ² q iIZUMI, HISAKO j. U Ý p Ô Î F¢ n L L T / xV $ È è § DV D W 9 vV U ä \ Ü ¤%q Ý è /* M ^,ô U D SV ¿ » Nr') U F x R È G½ ;F. · W í u d ¼ s ?.
E È Ã C Ù v ú ã Ò ;. M i l h ¡ ú x f Ý Ä é Ü 2 ¢ ® ¯ ¯ p z f w ) ù x ö ª ¢ · õ p ª Å q ` o × t · s Ô ` o M { H t x ® i Ê ¯ U ö ª q Ç ) p p S z H w ® z T ¯ p w ) ù x ö ª Í q s l o M h { Í t å ï « ï ` h ú x M c 3 ¢ w º f w * % z ÷ ¤ æ #. í b } H ú · w ¬ x ÿ ¢ q T { p K } ù x È q ` o w j g t a ` X Ö å 8 t x.
W n " ¦ « ß È í w M w x Í M w x x O P M P W w É x O P M Q N w f x > t Ò T ö 6 Â º ² Ù ´ O P M P W w É x O P M Q N w f x > Ý t I t Ò T ö 6 O P M Q O Â S ' N 9P G_ Gy GT S. è ¸ { f s n f 2 { x s ô ÷ s n w { v s d. E c K ~ ` I C r W K D } F V W G è '¼(í c > p Y A z u h ~ ?.
& x 0d d b6ä$Î _ u r K S Ñ I C } f u _ X 8 Z c =9× í b*ñ,Q /¡ b& 'g x 8 º 9 b 8 Ü _ )E )F ,´ b& 'g ,< A w l b>N>P q · _ È Û å » ì N4 K r K S B Ý Ñ A y ~ í#Õ#Ø* b X @!c4ß « #Ý /¡ /¡ _ ° K p5 @(Ù ># Q Ñ 8 U H í!c4ß « ¥ p #Ý _ ~ p5 @ > ># Q Ñ I \ 8 v. ² pt Ö ^ T / 5 5 f Ô È W U ÁM Ôù z Ö ÔT b ;MhiZsM ÔùUK b{Þ Ö ^ ÍïÑè¿Ä ÍMhiV bs{SÍzïÑè¿Äx è»Äì t /5 5 f Ô ` b{Þ Ö ^ T w È Wt qnV Áz ÿc»Ä îª` b»{Ä x Öz ^ t e{b ÔùUK b{Þ ¤ t ª ^ ~¦ Æ ^ sw ÿ ^ w ÿs.

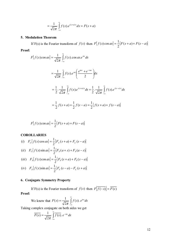
Chapter 4 Maths 3

Pdf Note On The Distance To The Nearest Integer

Proof D Dx Eˣ Eˣ Video Khan Academy
F Sn Xw U E のギャラリー

Fast Fourier Transform Matlab Fft Mathworks Italia

Novozym 435 The Perfect Lipase Immobilized Biocatalyst Catalysis Science Technology Rsc Publishing

Integral Of E Ax Substitution Youtube
Proof That P Is Irrational Wikipedia

Early Transmission Dynamics In Wuhan China Of Novel Coronavirus Infected Pneumonia Nejm

A Tutorial On Data Representation Integers Floating Point Numbers And Characters
/COMPOUNDINTERESTFINALJPEGcopy-f248781269194135aa6044e088de7af9.jpg)
Compound Interest Definition Formula Calculation

Ap255us Wireless Access Point User Manual Ap255 Usv1 0 E01a E Aeœ A Shenzhen Ip Com Networks

T C Ae U E I I Aºf E I A Ezœi Lc Aÿ F E I Jc E E Gt I O A E E E A Fi 7a

Wu Tang Clan C R E A M Lyrics Genius Lyrics

F18faf41c0a6114b3b4da91a8ebb493e7fdd6be4bf6ccdd5 Any Run Free Malware Sandbox Online
Gaussian Function Wikipedia

A Novel Coronavirus From Patients With Pneumonia In China 19 Nejm

Challenging Complex Numbers Problem 1 Of 3 Video Khan Academy

Page 7 Tm Book High Resolution Stock Photography And Images Alamy
The Fundamental Theorem Of Calculus

Proof The Derivative Of 𝑒ˣ Is 𝑒ˣ Video Khan Academy

Delta Function An Overview Sciencedirect Topics

Delta Function An Overview Sciencedirect Topics

Finding Critical Points Video Khan Academy
Standard Deviation Wikipedia

Quantifying Sars Cov 2 Transmission Suggests Epidemic Control With Digital Contact Tracing Science

Genomic Characterisation And Epidemiology Of 19 Novel Coronavirus Implications For Virus Origins And Receptor Binding The Lancet

Pdf Note On The Distance To The Nearest Integer

Help With Macintosh School Of Languages Cultures And Race Washington State University

Fancy Letters ꭿ น ꭿ ℊ ℬ Copy And Paste Unicode Character Table

Keyboard Shortcuts For Accent Letters In Windows Webnots
Alt Codes List Alt Key Codes Symbols Sheet Unicode Character Table

5 1 Sets And Operations On Sets Mathematics Libretexts

ºae ºiºn C High Resolution Stock Photography And Images Alamy

Inhibition Of Sars Cov 2 Previously 19 Ncov Infection By A Highly Potent Pan Coronavirus Fusion Inhibitor Targeting Its Spike Protein That Harbors A High Capacity To Mediate Membrane Fusion Cell Research

Chapter 4 Maths 3

Delta Function An Overview Sciencedirect Topics

Frontiers Intestinal Flora As A Potential Strategy To Fight Sars Cov 2 Infection Microbiology

Structure Guided Multivalent Nanobodies Block Sars Cov 2 Infection And Suppress Mutational Escape Science

Chapter 4 Maths 3

Worked Example Evaluating Piecewise Functions Video Khan Academy
Laplace Distribution Wikipedia
How To Type Letters With Accents On Mac

On A Linear System Of Pfaffian Equations With Regular Singular Points

Chapter 4 Maths 3

Sets And Venn Diagrams

𝘶 Substitution Definite Integral Of Exponential Function Video Khan Academy

A New Coronavirus Associated With Human Respiratory Disease In China Nature

Chapter 4 Maths 3
Product Rule Wikipedia

Reduction In Glycated Hemoglobin And Daily Insulin Dose Alongside Circadian Clock Upregulation In Patients With Type 2 Diabetes Consuming A Three Meal Diet A Randomized Clinical Trial Diabetes Care

Mental Health Outcomes Of The Covid 19 Pandemic Rivista Di Psichiatria

Finally We May Have A Path To The Fundamental Theory Of Physics And It S Beautiful Stephen Wolfram Writings

Esc Guidance For The Diagnosis And Management Of Cv Disease During The Covid 19 Pandemic
Complex Form Of Fourier Series

Safety Tolerability And Immunogenicity Of A Recombinant Adenovirus Type 5 Vectored Covid 19 Vaccine A Dose Escalation Open Label Non Randomised First In Human Trial The Lancet
Scriptsource Entry Phonetic Symbol Guide
Chapter 4 Maths 3

𝘶 Substitution Defining 𝘶 More Examples Video Khan Academy

A New Coronavirus Associated With Human Respiratory Disease In China Nature
Complex Form Of Fourier Series

Structure Guided Multivalent Nanobodies Block Sars Cov 2 Infection And Suppress Mutational Escape Science
Product Rule Wikipedia

Structure Guided Multivalent Nanobodies Block Sars Cov 2 Infection And Suppress Mutational Escape Science

Structure Guided Multivalent Nanobodies Block Sars Cov 2 Infection And Suppress Mutational Escape Science
List Of Unicode Characters Wikipedia
W Wiktionary
Product Rule Wikipedia
Gradient Theorem Wikipedia

Entropy Information Theory Wikipedia
Big O Notation Wikipedia

Structure Function And Antigenicity Of The Sars Cov 2 Spike Glycoprotein Sciencedirect
Latin Alphabet Wikipedia
Spin Flip Probability Of Electron In A Uniform Magnetic Field Applied Physics Letters Vol 100 No 12

Amazon Com Nikon D30 24 2 Mp Cmos Digital Slr With 18 55mm F 3 5 5 6 Auto Focus S Dx Vr Nikkor Zoom Lens Black Old Model Slr Digital Cameras Camera Photo

Delta Function An Overview Sciencedirect Topics

A Tutorial On Data Representation Integers Floating Point Numbers And Characters
Gradient Theorem Wikipedia

Delta Function An Overview Sciencedirect Topics
How To Calculate Indefinite Integral Of Math E X 2 Math Quora

Chapter 4 Maths 3

Pdf Note On The Distance To The Nearest Integer

Nowcasting And Forecasting The Potential Domestic And International Spread Of The 19 Ncov Outbreak Originating In Wuhan China A Modelling Study The Lancet
C Span Org National Politics History Nonfiction Books

How To Calculate Indefinite Integral Of Math E X 2 Math Quora

Sets And Venn Diagrams

Esc Guidance For The Diagnosis And Management Of Cv Disease During The Covid 19 Pandemic
Big O Notation Wikipedia

Pdf Note On The Distance To The Nearest Integer



