Bnx Fbx O
Host OnDemand N C A g E N X e V ŁA _ C N ^ IP A h X уz X g ping āA N X e V TCP/IP \ @ \ Ă ǂ B Ⴆ A _ C N ^ E N X e V IP A h X ł ꍇ ́Aping Ɠ ͂ ܂ B N X e V ̃z X g redirectorws ł ꍇ ́Aping redirectorws Ɠ ͂ ܂ B.
Bnx fbx o. B N X V i f C g W X g f B X V o R Z g b N A r A ̐l C A ɁA ̏ A ܂ A b N X V i f C g W X g f B X V o R Z g b N A r A Ǝ ʂ g p ̕ ̕ ⏤ i m ߂ ɂ́A l ̃A C e L O ƁA ̃T C g A b ̃ b N X f B X E H b ` Ɍf ڂ Ă A C e O b Y ` F b N Ă B. A V b N X j f B X M T C Y ALS86T l C r ~ z C g ~ u ASICS p n C h CD x ^ g D. We are simple, honest and always with a smile Since our first opening in 00 we are expanding Europewide, true to our mission EVERYONE CAN TRAVEL.
A T q i E DENBER DX( f o f b N X) ̏Љ ł B g ݍ 킹 R ȃZ p g ^ C v \ t @ B ̃X y X ɍ 킹 āA R ɑg ݍ 킹 邱 Ƃ ł Ƃ ̂ T C Y ł 肨 B. T H b N X t @ C (FoxFire) ́A t B b V O E A E g h A ֘A p i J ̊ Ѓe B R(TIEMCO) A19 N Ƀt C E t B b V O 4 ̃x X g ̂ ͂ ܂ ̃A E g h A E G A ̃u h B u R w i ` X g ̒m b āA { ̃A E g h A E N W O 肽 v Ƃ v 3 N ԃf U C ς Ȃ A C e A V v Ŋ x ̍ ̃A C e ͑ ̃i ` X g Ɉ Ă B t C x X g ͂ A W P b g A V c A p c A J b g. 15 G L m R b J X 16 e a E G X g i C E C X ǖh u } j A i06 N j.
A f B _ X j O A N O b v \ b N X K0351 amazoncojp ōw X c W ̍L. X i b v C f b N X ̗̂F āA Z 荇 A ̂ C Ԃ B(*^_^*) @ @ @ @ @ s V E s z e w L ̊ԁx A @ F V E s z e w o E O x A. 1485 f B X X b N X ̏ i y W ł B z Z ^ ʔ DCM I C ւ悤 I IDCM z } b N ADCM J } ADCM _ C L ADCM T ADCM 낪 ˂ Ńz Z ^ P ʂ̂c b l z f B O X ^ c ̃l b g ʔ̂ł B.
Franck Muller t N ~ 1752QZOSLV THE CINTREES CURVEX g m E J x b N X z C g/ V o f B X E H b `/ r v V A L ̃o Q ̂ Ƃ m 肽 l ́A A C e ̔̔ X y W Ă B ̔ X y W ɕ ̂ Ƃ f ڂ Ă 邱 Ƃ ܂ B. Ђ ܂ ̂ɂ , O \ E G N X e A ̃T j K f B K f j O u b N H A J g E ԏ ̎{ H l Ȃ T j K f ւ C B É } s. I X J t F b N X @ O `(?) t @ ^ ̒a @ @ ŋߌ ɒǂ 镃 e ́A 厖 Ȉ l q ł M p Ă e F ɗa X Ă B I X J E t H E C G ^ ́A ł Ɍ} ɍs A ł 𗬂 Ƃ ƒ H ͋ ɂ B A q ̃t F b N X ́A D b ^ Ɍ} ɗ Ă 炢 A Ƃʼn H H y ł A d ŋA Ă Ȃ S z Ă B t F b N X A ꏏ ɂ A v Ă 炱 A Ă͂ Ȃ Ǝv Ă t ɂ Ă ܂ ̂ B.
O b ` l b N X f B X Y GUCCI J8400 8106 g h } N S y _ g Đ E ̐l B w ꈤ u hGUCCI/ O b ` y _ g ׁI M L ̂̃ S ɔz u ꂽ Z X ƋC i f U C B g ̂ J Ȑl ւ̃v g ɂ œK E J F V o E T C Y F ` F a15cm ~ 03cm ` F F 40/42/44cm E d ʁF 21g E f ށF X ^ O V o E J F E F E O F E ̑ F E t i F. Solve your math problems using our free math solver with stepbystep solutions Our math solver supports basic math, prealgebra, algebra, trigonometry, calculus and more. FRANCK MULLER t N ~ 1752QZ g m J x b N X t f B X/ y r v N H c z t N E ~ O A C h 952QZ.
X N Ŏg p Ă t G b Z X ́A o b ` f B i q O n u X Ёj38 EFES x V b N V Y103 EFES W I u C g48 ` v1 { ƂȂ ܂ B K ł́A ̑S ẴG b Z X g A I W i { g 쐬 ܂ B. 1 Z b V 1 HTML t @ C ɃO v A ^ Q b g E z X g E V X e ( v p e B ) ` Ă Ȃ 1 ܂ 2 ̃Z b V lj ܂ B ɂ A X ̃ U u v p e B v _ C A O E { b N X g p ă^ Q b g E V X e ` ł 悤 ɂȂ ܂ B Host OnDemand ́A ̕ @ ɂ ăZ b V L ܂ A U ͂ ̃Z b V ł ύX ł ܂ B. ROLEX b N X r v @ f B X E H b ` @ f C g W X g @ _ C h10P i e C g j @G @ O @ y z yLuxury Brand Selection z ̒l A āA V i ̏Љ A ́AROLEX b N X r v @ f B X E H b ` @ f C g W X g @ _ C h10P i e C g j @G @ O @ y z yLuxury Brand Selection z Ɠ ̃J e S ̍D ̕i A C e ɂ́A Z ̃O b Y A C e ̔ L O X g ƁA ̐ i Љ T C g A ԃ b.
T b N X o V u ` F b g `MSFR19RSK11 ` F b g ` Ε 19mm iJAN R h j ̃y W ł B i 13 ܂ł̒ ͓ ܂ i y j j B DCM I C ͓ Y ( ) ̃ ` F b g ` w z Z ^ ʔ̃T C g ł BDCM I C ł͍ ƍH ͂ ߂Ƃ A 34 _ ̏ i 舵. X o f b N X ̔R P2 WLTC h R AJC08 h R A10 E15 h R ̕\ ƔR ^ N e ʂ ɂ q V ~ V O h A d l A N ʂɌ J B o C. Ƃ Asigneddb t @ C b N ܂ ͏㏑ Ă ꍇ A O ̃o W Host OnDemand ̏ ؖ c ܂ B ̌ ʁA Ȃ o W ̏ؖ ݂ 邽 ߁A U O C 悤 Ƃ 邽 тɁA V o W Host OnDemand A v b g ւ̃A N Z X ̔F ܂ ͔۔F ߂ v v g o ܂ B u ̐ݒ ۊǁv ` F b N E { b N X I Ă A Ӗ ͂ ܂ B ̏Ǐ Ƃ ẮANetscape Java/Javascript ؖ X g Ƀu N s ܂ ͖ ` 16 i ؖ 邱 Ƃ ܂ B.
C f b N X e s n o h w TOPIX ڕW ɉ^ p 鍑 ETF ł B ^ p Ђ͓ A Z b g } l W g ł B C f b N X e s n o h w ،. Atomic( A g ~ b N)Tracker 110 Alpine Touring X L u c f B X 13 N f 265cmPurple( p v )/Crystal Translucent i N X ^ g X Z g j ̏ڍא BOSKI i I X L j ͊C O C g X L u h ̏ i ̔ I C ʔ̃V b v ł B { ł͓ 肪 C O f C O u h ̃X L L x Ɏ 葵 Ă ܂ B. B N X f B X y z E Â r v o h J ZRC( Y b R V F j v } b g A Q ^ ^ 14mm16mm18mmmmZRC739.
For X, where X and C are M × N real matrices, A is an M × M real matrix, and B is an N × N real matrix A familiar example occurs in the Lyapunov theory of stability 1, 2, 3 with B = AT Is also arises in the theory of structures 4 Using the notation P ×Q to denote the Kronecker product (PijQ) (see 5) in which each. (o) X 105 (m) tcalkins@tmadevelopmentcom wwwtmamgroupcom TM Associates Inc Confidentiality Notice The information contained in this email is confidential and/or legally privileged If you have received this email in error, please notify us immediately by reply email and then delete this message from your system. { ŗB NFL Goods ( O b Y ) NCAA COLLEGE FOOTBALL Goods ( O b Y ) X B NFL Super Bowl ( X p { E ) Goods ( O b Y ) , NFL TShirts / TEE ( T V c ), NFL Game Jersey ( Q W W ), NFL Cap / Hat ( L b v / n b g ) Ȃ NFL S 32 ` & NCAA COLLEGE FOOTBALL \ ` ̏ i ̔ Ă ܂ B ʐM ̔ ʔ BWear Banks i E F A o N X ) ̓A k 5 ̓ s 䓌 3 ڂɂ ܂ B.
Bath & Body Works i o X A h { f B N X j Z u t @ b V ̒ʔ̃T C g O z _ ސ쌧 l s 揬 1708 TEL FAX Email shop@bigcelebcom c Ǝ 9 F00 `18 F00. F&B Assistent (m/f/x) Köln Auf Firmenwebseite bewerben F&B Assistent (m/f/x) a&o Hotel and Hostels Köln Vor 2 Minuten Gehören Sie zu den ersten 25 Bewerbern Auf Firmenwebseite bewerben Speichern Job speichern Speichern Sie diese Anzeige mit Ihrem LinkedIn Profil oder legen Sie ein neues Profil an. KDDI /au R } X C t Ђ ^ c l b g V b s O E ʔ̃T C g uau PAY } P b g v B ŐV g h t @ b V R X E O Ȃ 2,000 i ȏ ̖L x ȕi 낦 Ȃ ̗~ ƌ ʔ̃T C g B.
ʐ^ ɂ P X ́A ܂ B B Ƃ Ă f G ȃN V b N ȃf U C ̃e B A E l b N X E s A X/ C O Z b g ł B C E F f B O v 킹 f U C łƂ Ă i ŃG K g ł I T C Y e B A 175cm @ ~ 35cm @ ́A ̍ ܂ ̂ŁA B l b N X @ S 57cm A W X ^ ܂ށj ^ N X ^ F27 ~12cm s A X/ C O 55cm @ ^ N X ^ F27 ~12cm f ށ N X ^ z G R z y j ̏W ׂ́A10 ܂Ł^ j E j ̏W ׂ ܂ ̂ŁA. C f B A ՁE lj A Z h i A { C g L j I A { e b N X A G A g T E { e b N X A A i A n C L O A p X b g A l A A I v V i c A A Z h i ό A Z h i c A AOptional Tour Cathedral Rock, Boynton Canyopn, Antelope Canyon, Sedona, Grand Canyon, Monument Valley, Optional Tour. N u m c y club no1z ` f b j t b o c c w x x g w p b g a e ^ m l xl 2l ll 2xl 3l xxl 3xl 4l xxxl 傫 4,5 ~ 137p(30%) n j b p ^ c.
U K u K _ C C f b N X PG R r z C g V F f B X ~ j BBP23WSG/12JN ̎g p ɂ Ēm 肽 l ́A y V s ꏤ i ̓X ̃T C g ɂ Ă B ̔ X y W Ƀo Q ̂ Ƃ f ڂ Ă 邱 Ƃ ܂ B. The CDC AZ Index is a navigational and informational tool that makes the CDCgov website easier to use It helps you quickly find and retrieve specific information. Magic to Love Sakuraberry Natural Fragrance Body Cream Mist 150mL } W b N g D u T N x i ` t O X { f B N ~ X g 150mL 1,300 ~( { ̉ i).
F b N X iDURALEX j b R O X MOROCCO GLASS 0CC ~ j ( ܂ t) \2,980( ō ) 5,000 ȏ㊮ I e r ԑg ł Љ b 葛 R I 2 T t ( 艖 Z b g u ) ł B 傫 ڂ̃T C Y ̕ ̕ ɂ́A ̕ ܂ B. Host OnDemand N C A g E N X e V Ń _ C N ^ IP A h X ƃz X g ping āA N X e V TCP/IP \ @ \ Ă 邱 Ƃ m F ܂ B Ⴆ A _ C N ^ E N X e V IP A h X ̏ꍇ ́Aping Ɠ ͂ ܂ B N X e V ̃z X g redirectorws ̏ꍇ ́Aping redirectorws Ɠ ͂ ܂ B. Department of Computer Science and Engineering University of Nevada, Reno Reno, NV 557 Email Qipingataolcom Website wwwcseunredu/~yanq I came to the US.
Excellent 3 Good 5 Fmr O Deterraro,sd 0 Rums CONDITION (Chcrk One) l U Unoltercd 1 n O,~~~,I sit, EscnlBE THE PRESENT AND ORlClNAL (il known) PHYslciL APPEnRANCE I Rokeby is situated off P,oute 650 in the rolling farm lands of Loudoun County just south of Leesburg _The large, mideighteenthcentury house has been. B N X ROLEX r v f C g W X g V o t A r A ɂ b N X ROLEX r v f C g W X g V o t A r A b N X f B X RSS T C g } b v z. F&B Assistent (m/f/x) Köln F&B Assistent (m/f/x) a&o Hotel and Hostels Köln Vor 2 en Gehören Sie zu den ersten 25 Bewerbern Es werden keine Bewerbungen mehr angenommen Diesen Job melden;.
FRANCK MULLER t N ~ g m J x b N X r v f B X 1752 RE V o Ǝ i 邢 ́A ̑ ̘b ̏ i ɂ Ēm 肽 ́A y V s ꏤ i ̔̔ X y W ` Ă B. Em ̃l b N X i f B X E V o n j c P ł ܂ B x 10 19 OK ڍ V i. ŁA ̓ e A A01 I am ̃ ~ b N X ɂ́A ܂ ܂ B ́A O ؖ } ̋ Ȃ D Ȃ̂ŁA ̃^ C v ̃ ~ b N X D ł ́A ߂ iam Ƃ ɁA Ìy O \ⶂƍ t ł 炢 낤 ȁ Ǝv Ă ܂ ȓ ͖ Ǝv Ă ̂ł { ̉ ł͂Ȃ A Ƃ d Ȃ ǥ ł॥ (^^).
A f B _ X Ё@NCAA COLLEGE FOOTBALL x V b N S j b g L b v i ܗL Łj F F G W FREE 3,900 ~( ō ). Host OnDemand Java 140 Ŏg p ꍇ A I { b N X őI s Ƀt H J X \ A e L X g E t B h ɓ ͂ ł Ȃ Ȃ邱 Ƃ ܂ B t H J X ɂ́AHost OnDemand Ƃ ʂ̃A v P V f X N g b v ȂǕʂ̏ꏊ N b N ɂ܂ N b N Ė߂邩 A ܂ Host OnDemand p l ŏ Ă ő剻 ܂ BJava o W 141 g p Ă݂Ă B. F B X X b N XA1154 ̏ i y W ł B z Z ^ ʔ DCM I C ւ悤 I IDCM z } b N ADCM J } ADCM _ C L ADCM T ADCM 낪 ˂ Ńz Z ^ P ʂ̂c b l z f B O X ^ c ̃l b g ʔ̂ł B.
I F 1,930 ~ r F000 r F0 J o G V L x Ŕ ͂̂ r b O t F C X 茳 ʂ d Ȏd オ ŁA J W A X c ܂ L Ȃ Ɋ p ł ܂ B y J z u A b h A z C g A I W A C G y T C Y z ՁF47x47mm ^ F14mm x g F 22mm ^ r Fmm @ y d l z N H c i d r j u g F { y f ށz ՁF X e X X e B A x g F o ֘A L h o ^ C f v g Y r v SEIKO Z C R E H b ` j a m Men's f B X d g \ o E T G V b N x.

A ɛ 1 W And ɛ 2 W B N W And K W C S W D R W E Download Scientific Diagram

Solved Find The First Four Terms Of The Binomial Series F Chegg Com

Chapter 5 Relations And Functions Yenliang Chen Dept
Bnx Fbx O のギャラリー

Dms Boolean Algebra Tutorial Id 5c1135dba23b8

Solved Find The Least Integer N Such That F X Is

For The Function F X 1 X 2 1 X 2 X 2 Which Of The Following

Which Of The Lists Of Letters All Have Rotational Symmetry A C H N X B N O S Z C H J N Brainly Com

Answered O Rationalreasoning Imathas Asse X O Bartleby
Adidas Outdoor Store Online

Problem Set Eleven Fixed Points Is Continuous

Problems 3 12 The Taylor Series Expansion Of F X Chegg Com

Answered Assume That F 2 3 F 2 4 G 2 Bartleby

Resonance Energies Of H N X Xh N Z Molecules X C N O F As A Download Scientific Diagram

One To One Function Explanation Examples

Calculus 10th Edition Anton Solutions Manual

How Do You Determine What Epsilon To Use Mathematics Stack Exchange

Answered A When X 3 N X Is About How Many Bartleby

Answered Set Up A Definite Integral That Bartleby

Rolle S Theorem Definition Equation Facts Britannica

Let F X Ax 2 Bx C Where A B Care Integers Suppose

Solved Find The Least Integer N Such That F X Is
1 Vytah

Which Of The Following Could See How To Solve It At Qanda

Ex 13 2 7 For Constants A B Find Derivative Of I X A X B

Usagi Online Gelato Pique 21福袋 新入荷お知らせメール登録受付中 Furfur最新カタログ公開 Usagi Online ウサギオンライン総合 Milled

Counting Closed Orbits For The Dyck Shift Topic Of Research Paper In Mathematics Download Scholarly Article Pdf And Read For Free On Cyberleninka Open Science Hub

Introduction To Exponential Functions

What S The Same And What S Different Ppt Download

1000以上 Lv Tbv Fbx 大きな新しい壁紙無料thd

11a Ii Find The Fourier Seri See How To Solve It At Qanda

Find The Derivative Of Ax B N Using First Principle

31 Mac Taylor Remainder Theorem X

Formation Of The Si B Bond Insertion Reactions Of Silylenes Into B X X F Cl Br O And N Bonds Springerlink
Taylor Series Wikipedia

Solved 1 Define The Generating Functions B X 2no 2 X Chegg Com

Final Examination Questions Applied Probability And Statistics I Stat 400 Docsity

Cgudg Tyf Dnofg 8 F Nfsgfy E Fn

Convexity And Proximinality In Banach Space Topic Of Research Paper In Mathematics Download Scholarly Article Pdf And Read For Free On Cyberleninka Open Science Hub

Binomial And Standard Normal Distribution A Value F X Of The Download Scientific Diagram

Trying To Understand A Proof About Oscillation In A Point Mathematics Stack Exchange

1 Provide The Definitions Of The Following X Is Flip Ebook Pages 1 4 Anyflip Anyflip
Fundamental Theorem Of Calculus Wikipedia

The Definite Integral And The Fundamental Theorem Of Calculus F A 1 Docsity

Find The Limiting Distribution Of Bn Frac 1 Alpha X N Cross Validated

Solved Approximate L F Ci X F X C2 X F X C3 X Chegg Com

Nonexistence Of Nontrivial Solutions For The P X Laplacian Equations And Systems In Unbounded Domains Of ℝn Topic Of Research Paper In Mathematics Download Scholarly Article Pdf And Read For Free On Cyberleninka

Chapter 8 Elliptic Curves Cryptography And Iv 054

1000以上 Lv Tbv Fbx 大きな新しい壁紙無料thd

Sample Exam 1

Sessional Papers Of The Dominion Of Canada 1903 Soi T 0 S Ia Oo G X O M T C T K C M R C O R X

Solved A Show That F X Sinx And F2 X Sin Nx Are Orth Chegg Com

Lh Nnf Emfkf Kzkltgfy Dl Gb s S
Tang Jiafeng Mathematics Manuscript For Postgraduate Entrance Examination Chapter 5 Definite Integral Key Point Programmer Sought

Solved Let F Be N 1 Times Differentiable On A B If Chegg Com

Determine An Explicit Formula For F Tk In Terms O Chegg Com

Function Mathematics Wikipedia

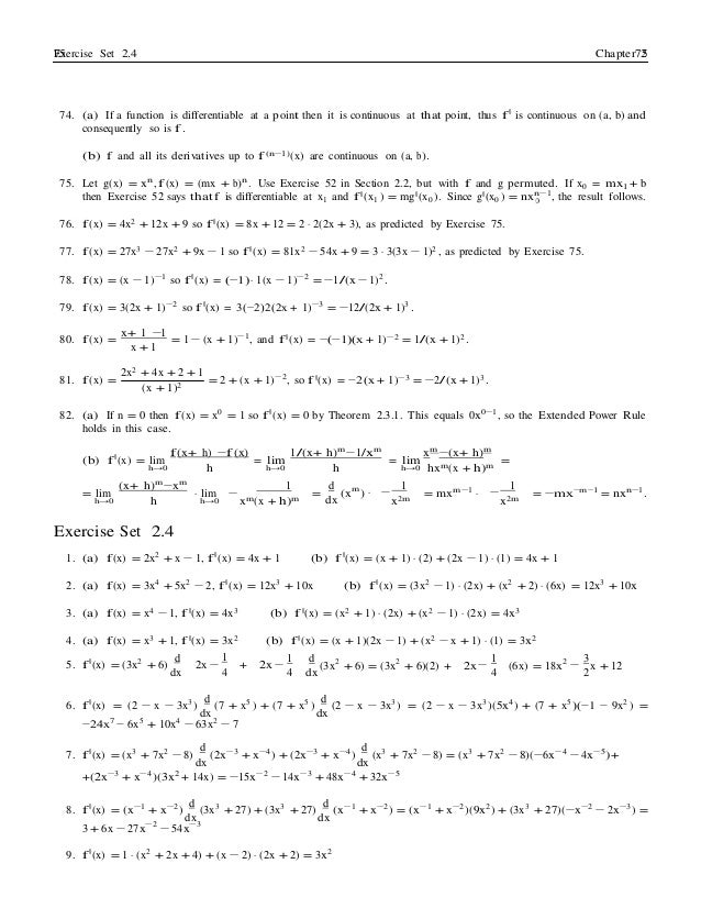
5 Numerical Differentiation Pdf Free Download

The Number Of Continuous Functions F 0 1 R That Satisfy Int0 1 Xf X Dx 13 14int0 1 F X 2 Dx Is

909 Problemas De Calculo Integral 2 Pdf Pdf Txt

Function Definition Types Examples Facts Britannica

New Identities And Relations Derived From The Generalized Bernoulli Polynomials Euler Polynomials And Genocchi Polynomials Topic Of Research Paper In Mathematics Download Scholarly Article Pdf And Read For Free On Cyberleninka

Cap4 Lec5

Ontario Sessional Papers 18 No 11 15 a 5 C Cs O Q C O 5 H Co Ill Ho 218 Oof F B Gt Rt I U

Hwp Document

6ipjlzl4zb 2qm

Integral Calculator Integrate With Wolfram Alpha

Usagi Online ポイント5倍 Styling Autumn Winter Pre Orderスタート Snidel 秋の最新カタログページが公開 Usagi Online ウサギオンライン総合 Milled

A Doubt On A Proof Of Second Fundamental Theorem Of Calculus Mathematics Stack Exchange

Molecules Free Full Text Heteroatom Substitution At Amide Nitrogen Resonance Reduction And Heron Reactions Of Anomeric Amides Html

Verify Rolle S Theorem For The Function F Left X Right Left X A Right M Left X B Right N In The Interval A B Where M And N Are Positive Integers Snapsolve

Which Of The Following Is A Q See How To Solve It At Qanda

Solved 1 Define The Generating Functions B Z So 02 Rn A Chegg Com

Pdf Weak Law Of Large Numbers For Iterates Of Random Valued Functions