F Lxw
10" H x 4 75" W x 87 75" D C a l i f or n i a K i n g B e d W 1085 90C 48"H x 79"W x 93"D C o ns is ts o f WC 3 C a lif o rnia K ing B ed Ra ils 6 25" H x 10" W x 91" D WK 1 K ing H ea dbo a rd 40" H x 78" W x 6 5" D WK 2 K ing F o o tbo a rd.
F lxw. 64 Followers, 65 Following, 5 Posts See Instagram photos and videos from 🐻ДУША ВОЛКА🐻 (@wolf_soul). Dec 28, 16 · W File is writable by real uid/gidX File is executable by real uid/gidO File is owned by real uide File existsz File has zero size (is empty)s File has nonzero size (returns size in bytes)f File is a plain filed File is a directoryl File is a symbolic link (false if symlinks aren't supported by the file system). Browse the most recent New Jersey obituaries and condolences Celebrate and remember the lives we have lost in New Jersey.
ȒP ɃT C g T v ƁA s W J ƂقƂ Ǔ Ȃ̂ł͂Ȃ ł 傤 B X ɃQ C 擙 ̃} j A ̃R e c ꕝ L W ̓ e ҂ Ă 悤 ł B W I ɂ͂قړ B m i ̊܂ށj ŗL B t ɂ R e c Ɂu P i w v ɂė p Ƃ ̂ł B ŋ߁A W J ɑR ẴT C g Ƃ͎v ܂ A l I ɂ͂ Ȃ ҂ Ă ܂ B 炭 A W J ɒ Ă B e t ̕ Œ Ă ݂ ł B i R e c Ԃ Ă ̂ŁE E E j A W J. Other uses The capital letter L is used as the currency sign for the Albanian lek and the Honduran lempiraIt was often used, especially in handwriting, as the currency sign for the Italian liraIt is also infrequently used as a substitute for the pound sign (£), which is based on it The Roman numeral L represents the number 50 In recent years, the letters L and W have become an internet. This preview shows page 5 14 out of 25 pages for the circuit?.
L = ∂F 2 ∂L = 1 ∂ F ∂L 2 = 0 → constant MP K = ∂F 2 ∂K = 3 ∂ F ∂L 2 = 0 → constant For the MRTS we get MRTS = MP L 1 MP K 3 We verify constant returns to scale F (tK, tL) = tL 3tK = t(L 3K) = t · F (K, L) 1 (c) F (L, K) = (min{L, K}) 3 This is a perfect complements production function Isoquants are L. New rules stem from the authority of the Uniform Fire Safety Act (PL 19, c 3, NJSA 5227D192 et seq, specifically 5227D198 and 5227D219) and of the act that establishes a Division of Fire Safety in the Department of Community Affairs (Department) (PL 19, c 3,. R L C V S 330 m H f = 100 kHz 470 W 00 pF ()() 2 2 100 kHz 330 H 7 L X fL m = = = W ()() 1 1 796 2 2 100 kHz 00 pF C X fC = = = W 7 796 5 tot L C X X X = − = W− W = W () 2 2 = 470 5 Z W W = 753 W Impedance of Series RLC Circuits L C V S 330 m H f = 100 kHz 470 W 00 pF ()() 2 2 100 kHz 330 H 7 L X.
Shop Johns Manville R30 Attic 5866sq ft Kraft Faced Fiberglass Batt Insulation (16in W x 48in L) (11Pack) in the Batt Insulation department at Lowe'scom Johns Manville kraftfaced formaldehydefree fiber glass insulation is paperfaced to help control moisture in concealed applications such as exterior walls. W = F d W = work (Joules) F = force (Newtons) d = displacement (metres) By definition, 1 J of work is done by applying 1 N of force to move an object 1 m • Work has no direction, so it is a scalar quantity • But, the direction of motion must be in the same direction (parallel) as the direction of the force, otherwise no work is being done. Simple and best practice solution for f(x)=lx4l equation Check how easy it is, and learn it for the future Our solution is simple, and easy to understand, so don`t hesitate to use it as a solution of your homework If it's not what You are looking for type in the equation solver your own equation and let us solve it.
F f = mF N N or kgm/s 2 Torque Τ = Fl Nm Momentum p = mv kgm/s Impulse Momentum Dp = FDt kgm/s Momentum Conservation p 1 p 2 = p' 1 p' 2 kgm/s Work W = Fd J or Nm Power P = W/t J/s or W Power P = Fv J/s or W Power P = Τω J/s or W Kinetic Energy KE = (1/2)mv 2 J Potential Energy PE = mgh J Pressure p = F. The reliable source for machinery and technology to produce flexible ducting Supplying the Industry since 19. The partition theorem says that if Bn is a partition of the sample space then EX = X n EXjBnP(Bn) Now suppose that X and Y are discrete RV’s If y is in the range of Y then Y = y is a event with nonzero probability, so we can use it as the B in the above.
News, email and search are just the beginning Discover more every day Find your yodel. E x o t i c _ F l o w e r 4 likes · 10 talking about this Personal Blog Facebook is showing information to help you better understand the purpose of a Page. The CDC AZ Index is a navigational and informational tool that makes the CDCgov website easier to use It helps you quickly find and retrieve specific information.
W E F F B M M 6E g F @ lF 16ls VB6 F M €tle 6 F 6 E hz Fla It tla F IT hsvtv fq M FLl Et, 12lr It F tu Eb It 9 tF EE F FPEle Etr, Ele F lr Elstr (E EE EE hGle v ls (E P Els E (l!E 19 tr E M B f6F' M M 6tv ffiY Etr Ev le Eg, FEw,Y EE Fg e trrlg M l9 16 E6 M E V dFw E i Et6 l* rlStF 19It V GFI I. Im • w i l d f l w x r r • and i hope your having a great day/night 💚 _____. Search the world's information, including webpages, images, videos and more Google has many special features to help you find exactly what you're looking for.
If F(x)=x has no real solution then also F(F(x)=x has no real solution. Mar 18, 10 · f, HRTEM images of Au/SiO 2 core–shell nanoparticles with different shell thicknesses g , HRTEM images of Au/SiO 2 nanoparticle and Au/Al 2 O 3 nanoparticle with a continuous and completely. P͙o͙w͙e͙r͙ o͙f͙ t͙h͙e͙ s͙t͙a͙r͙s͙ r͙o͙l͙e͙p͙l͙a͙y͙, a Studio on Scratch Create;.
They bring color to your world. F L E X 554 likes We showcase the best home improvement gadgets and tools!. Use in writing systems English In the English writing system f is used to represent the sound / f /, the voiceless labiodental fricativeIt is often doubled at the end of words Exceptionally, it represents the voiced labiodental fricative / v / in the common word "of" F is the twelfth least frequently used letter in the English language (after C, G, Y, P, B, V, K, J, X, Q, and Z), with a.
User (@___w_a_f_f_l_e_s__) on TikTok 13K Likes 239 Fans Im So HOT PFP BY @mathlis Watch the latest video from user (@___w_a_f_f_l_e_s__). In 08 we published the first set of guidelines for standardizing research in autophagy Since then, research on this topic has continued to accelerate, and many new scientists have entered the field Our knowledge base and relevant new technologies have also been expanding Accordingly, it. Problem 3 Linz 4116 Show that the statement \If L 1 is regular and L 1L 2 is also regular, then L 2 must be regular" were true for all L 1 and L 2, then all languages would be regular Let L 1 = , then L 1 is regular (denoted by the regular expression , where the regular expression is as de ned in the solution of Problem 1, 4113 above).
Original sound lahii creation නැන්දිගේ සුරංගනාවි අන්තිමට එනවා බලන්නකෝ ️මාව දකිනකොට එයා හැමදාම මෙහෙම තාමා ලගට එන්නේ 💙## #capcut #f_l_l_o_w_i_n_g #srilankan. Sep 27, 02 · In mathematics, the Lambert W function, also called the omega function or product logarithm, is a multivalued function, namely the branches of the inverse relation of the function f(w) = we w, where w is any complex number and e w is the exponential function For each integer k there is one branch, denoted by W k (z), which is a complexvalued function of one complex. L pm W Time Passengers (1000’s) 1950 1952 1954 1956 1958 1960 100 0 300 400 500 600 u Q i U t x v y tR V v pm W Ov m x H w D Q R p F t O yO C UO v tR UR a wtH R l x AirP assengers y windo wx C U Q R CQ w Y x u xHD v m Jan F eb Mar Apr Ma y Jun Jul Aug Sep Oct No v Dec Ov m x H w D Q R p F t qF t O W xD WO p QDv mp UR rY i wQ y wN o x AirP.
Æ_ Æ_ Æ_ Æ_ Æ_!i b e r d a n a v e v a l l e y r d a l p s r d p a t e r s o n h a m b u r g t p k e c h u r c h f l a i s k r d a l l e n d r ur b a n c l u b r. OLL (short for Orientation of the Last Layer) is a lastlayer step for 2x2 (see OLL (2x2x2)) and 3x3 that orients all lastlayer corners and edges in one stepIt is the first lastlayer step in many speedsolving methods, including the Fridrich MethodOLL is usually followed by PLL Terminology Dot OLL refers to OLL cases with no edges oriented correctly, so named because the center. Z Ws K?8L/ ?l.
About Updated 8 Jan 18 (t͙h͙u͙m͙b͙n͙a͙i͙l͙ i͙s͙ f͙r͙o͙m͙ g͙o͙o͙g͙l͙e͙ i͙m͙a͙g͙e͙s͙, c͙r͙e͙d͙i͙t͙ t͙o͙ t͙h͙e͙ o͙r͙i͙g͙i͙n͙a͙l͙ a͙r͙t͙i͙s͙t͙ p͙l͙e͙a͙s͙e͙ h͙a͙v͙e. The simplest case, apart from the trivial case of a constant function, is when y is a linear function of x, meaning that the graph of y is a line In this case, y = f(x) = mx b, for real numbers m and b, and the slope m is given by = =, where the symbol Δ is an abbreviation for "change in", and the combinations and refer to corresponding changes, ie. And "( f o g)(x)" means "f (g(x))" That is, you plug something in for x, then you plug that value into g, simplify, and then plug the result into f The process here is just like what we saw on the previous page, except that now we will be using formulas to find values, rather than just reading the values from lists of points Given f(x) = 2x.
F L X V I A YouTube ps4 ). Flxwer Scratcher Joined 1 month, 1 week ago United States About me ☏┊a b o u t m e ꕥ10 Flower ꕥLOVES plants Aesthetic ꕥAm le alt of @stormyskies☏┊q u o t e s ☞ “Take time to smell the roses ☞ Flowers are like friends;. 10" H x 4 25" W x 85 5" D C a l i f or n i a K i n g B e d W 10 91C 52"H x 80"W x 91"D C o ns is ts o f W1091C 3 C a lif o rnia K ing B ed Ra ils 10" H x 25" W x 5 5" D W1091K 1 K ing H ea dbo a rd 35 25" H x 25" W x 4 5" D W1091K 2 K ing F o o tbo a rd.
> >~ ~ >w!x>y z > bwR >wRwR $}L fzy{ws~{ >wRzy{wR~ b 6 X S£lzy{®·6»E¸CÉ. Background No therapeutics have yet been proven effective for the treatment of severe illness caused by SARSCoV2 Methods We conducted a randomized, controlled, openlabel trial involving hospitalized adult patients with confirmed SARSCoV2 infection, which causes the respiratory illness Covid19, and an oxygen saturation (Sao 2) of 94% or less while they were. Welcome to my channel!.
A bcd e f g h i j k l m n o p q r s t u v w x y z aa bb cc dd ee ff gg hh ii jj kk ll mm nn 1 2. Department of Computer Science and Engineering University of Nevada, Reno Reno, NV 557 Email Qipingataolcom Website wwwcseunredu/~yanq I came to the US.

Flx Hospitality Opening Three New Experiences Inside Former Tony R S Building In Corning

Noctua Nf A12x25 Pwm Flx Uln Versions Review And Performance Comparison Enostech Com

Solved The Picture Is Bad The Function Is F Tx Ty T K F Chegg Com
F Lxw のギャラリー

Taeha Types The Flx Virgo A Keyboard Inspired By The Lz Ergo I Really Love This Layout And Hope To See More Of It This Year

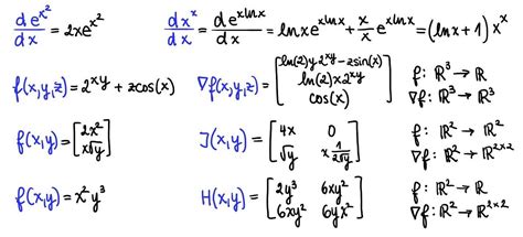
5 Derivatives To Excel In Your Machine Learning Interview By Ester Hlav Towards Data Science

Must Have Plugins For Fl Studio Mixed In Key

Dvarw Mtl Fl Facelift Style Rta Vape Atomizer W 11 X Air Inserts 2 X Spare Tanks Silver 2ml 3 5ml 5ml 22mm Dia Buy Dvarw Mtl Rta

Graco Modes Element Lx Travel System Babylist Store
Flx Scraps To Gardens Home Facebook

Wav Flx Tw 75 Cvch 12 Viking Satcom Flexible Waveguide
Buy Flos Kelvin Led Chrome By Antonio Citterio Dmlights Com

Feelux

Italian Sparkling Aranciata W Real Orange Pulp By Crodo 4 Cans X 11

Foot Locker Inc Launches Flx Membership Program Hypebeast

Solutions Manual For Calculus For Business Economics And The Social A

Flx Wine Online

The Farelogix Company Innovation For The Airline Industry

Trans X High Mileage Automatic Transmission Treatment 16 Fl Oz

Solved Flye Is A Kite With F L L Y Find W X An

Ilapak Inc Packaging World

Bay Materials Announces Zendura Flx Thermoformable Material For Orthodontic Clear Aligner Therapy Appliances
Mlxwpe37gc4etm

Flight Case For Pioneer Ddj Flx6 W Glide Sliding Laptop Shelf And Wheels Black On Black Hardware Prox Live Performance Gear
Flx Weapon W Brose S Mag Emtb Forums

Flxw Led Flood Lights Lightide

Vexilar Flx 30 Ultra Pack Lithium Battery W Broadband Transducer Thorne Bros Custom Rod Tackle

Born To Flx Foot Locker

W F L I M Ew Set Completes Corrupt Set And Clsssic Set Murdermystery2

A W Root Beer Soda 12 Fl Oz Cans 24 Pack Walmart Com Walmart Com

21 Lexus Lx Review Kelley Blue Book

Staib 5 0 X W 22 24 26mm Mesh Milanaise Bracelet Pusher Fl Diver Buckle Ebay

Italian Sparkling Aranciata W Real Orange Pulp By Crodo 4 Cans X 11

Feelux

Storage Units In Tampa Fl At 4105 W Hillsborough Ave Extra Space Storage

Tg9hhpxmrmbsjm

Donny Fl Benjamin Marauder Pistol Adapter 1 2x Unf W Thread Protector Airguns Of Arizona

Strongarm Technologies V22 And Flx Now Sold On 3m S Website Exoskeleton Report

Proton Saga Flx Fl Sv Daylight Daytime Drl W Signal W Fog Lamp Cover
Noctua Nf A12x25 Flx Pc Fan Alzashop Com
Flx Weapon W Brose S Mag Emtb Forums

Shorts Nike W Nk Df Flx Ess 2 In 1 Shrt Top4running Com
Armalaser Gto Flx Finger Touch Green Laser Sight For Glock Handguns Up To 11 24 Off 5 Star Rating W Free Shipping

Don T Forget Vip Is Becoming Flx Here S What To Expect Lady Foot Locker Email Archive

Buy Dvarw Mtl Fl Facelift 24 Style Rta W 11 X Air Inserts Silver
4 Ways To Measure A Room Wikihow Life

Inwin Chopin Psu Fan Mod Noctua Nf x10 Flx Sffpc

Dvarw Mtl Fl Facelift Style Rta Vape Atomizer W 11 X Air Inserts 2 X Spare Tanks Silver 2ml 3 5ml 5ml 22mm Dia Buy Dvarw Mtl Rta

Buy Dvarw Mtl Fl Facelift 24 Style Rta W 11 X Air Inserts Silver

Nf A14 Flx 12v 10rpm 140mm Premium Quality Fan

Revolabs Flx Uc 500 Usb Conference Phone Black 10 Flxuc500 Na
100 Original Proton Saga Blm Flx Preve Clutch Pump W Bearing Pw Original Quality Shopee Malaysia

Foot Locker Flx Membership Rewards Sneakernews Com

Analog Voip Bluetooth Wireless Conference Phone Yamaha Uc

Bleached Silicone Paper Baking Pan Liner 24 3 8 L X 16 3 8 W

Project F L X Redefines The Future Of How Jeans Are Designed Made And Sold Levi Strauss Co Levi Strauss Co

Marina Flx Wiggins Lift Co Inc

Vascular Endothelial Growth Factor In Cartilage Development And Osteoarthritis Scientific Reports

Slammed Proton Saga Flx 11 Freshphysics

Magnum Flx Alpaqua

Vexilar Ice Fishing Sonar Electronics
Lambert W Function Wikipedia

Kreios Flx Fl Flood Light Led Fixtures Entertainment Industry
Leica Zeno Flx100 I Smart Antenna Leica Geosystems

Historical Map Of Lake City Fl 15

How To Define Loss Function In Latex Tex Latex Stack Exchange

K W Chemical Trans X Posi Trac Limited Slip Gear Oil Additive 7 Fl Oz Advance Auto Parts

Wecsyv7nllk9vm

Sqlab Flexes W New 311 Fl X Bars Moves With Comfy 602 Infinergy Saddle Bikerumor

Proton Saga Flx Fl Sv Daylight Daytime Drl W Signal W Fog Lamp Cover

Noctua Nf A12x15 Flx And Nf A12x15 Pwm Test And Review

Amazon Com Snellen Eye Chart 22 L X 11 W Health Personal Care

Storage Units In North Lauderdale Fl At 7400 W Mcnab Rd Extra Space Storage

1025 W Verona Trace Dr Vero Beach Fl Realtor Com

Sqlab Flexes W New 311 Fl X Bars Moves With Comfy 602 Infinergy Saddle Bikerumor

Vexilar Flx Propack Marine General Vexilar Ice

The Home Depot Heavy Duty Extra Large Moving Box With Handles 22 In L X 22 In W X 22 In D Hdxlbox The Home Depot

Amazon Com Medicrystal Infrared Heat Amethyst Mini Mat 32 L X W Natural Crystals Adjustable Fir Heating 86 158 F 30 70 C Deep Warming Hot Stone Pad For Back Health Original Manufacturer

Don T Forget Vip Is Becoming Flx Here S What To Expect Lady Foot Locker Email Archive

3621 Moon Bay Cir Wellington Fl Realtor Com

End Mills Star Tool Inc Your Cutting Edge Since 1966

Tg9hhpxmrmbsjm

Flx Stix Ndpro Series

Highland Dunes Corrado Linen 33 L X 5 W Textured Wallpaper Roll Reviews Wayfair

New 21 Kia K5 For Sale In Vero Beach Near Sebastian Fl

Solved A Rectangular Neoprene Sheet Has Width W 1 00 M Chegg Com

Qgs38vdc2oxesm
Black And Decker Dragster 21 In L X 3 In W Corded Belt Sander Bare Tool 7 Amps 1 Volt 800 F Ace Hardware

Magnum Flx Alpaqua

Designart 23 6 In L X 23 6 In W Orange Polished Wall Mirror In The Mirrors Department At Lowes Com

Sonialvision G4 Lx Edition Shimadzu Europa Medical

Empire Industries Yorkshire 32 L X 18 W Undermount Kitchen Sink With Grid And Strainer Reviews Wayfair

Crabtree Evelyn Rosewater Bath Shower Gel 16 9 Fl Oz X 2 Gift Set W Bonus Walmart Com Walmart Com

Fourier Series Of Odd Functions With Period 2 L



