Naox Ss
¸8ÅAâÛ#6Ó bÑJ Õ\ç&º û£éN¢€ (¢€ (¢€ (¢€ (¢€ (¢€ (¢€ (¢€ (¢€ (¢€ (¢€ (¢€ (¢€ (¢€ (¢€ (¢€ (¢€ (¢€ (¢€ JZJ ¥ Š( Š( Š( Š( Š( Š( Š( Š( Š( Š( Š( / È _÷×ù×/¡Zý›^Ó˜$€H›Áp9àôÇjê § 4ˆ²##Œ« ^fme ›éòÄ‘ e ¿ G±úW§ óýZý¯b´hÒîâ)¸–5å×® ¯§Jí>Á ÚjZ1fˆ U óÀàæ¹y´¨´ nÖá ž À 's’{ô uö‡6± ˆ !.
Naox ss. 0Å 6 ü©> Æ@ IB ãD yF ™H $EJ ,œL 4ºN P R ;T ¨\ ?. ß ß ß Û tu —¡Estoåsõnaénd idad€Øexclam óäonÆerm Ãn ;. ÛíQ^Y%ß’ ° H$œdà÷üh Ð4´ÑÇZ‚Öö ¶”DÙ19G Á fŠ.
—hd="Page_264" >€ï€ï€é XXX —¡S Ã,ùo,Áug€È€H€isoy€¨!. à×ÿ £Íø ÿ>~ ÿÀ»¯þ7Ý Ây¿ ¿çÏÁŸø uÿÆèó~' ÏŸƒ?ðëÿ ×wEpžoÄïùóðgþ Ý ñºß‰ßóçàÏü ºÿãuÝÖwˆ5 ¤hwú ’Óý’ ›ËS‚ûA8 •r¾oÄïùóðgþ Ý ñºß‰ßóçàÏü ºÿãu £ñ& K¹£‡K¹»e‰c– X ›q{ö ìR;†R~ €†# ÝÒ€1¼ß‰ßóçàÏü ºÿãty¿ ¿çÏÁŸø uÿÆéž#ñŽ¡¦k ¶–ÐÚÍ J®’ሠLM´Ÿ Š€¹ÁÉÎ «º¯ —NÕf³—GÔ\C) åŒ)\ ¹yçå às׎( ¯›ñ;þü ÿ w_ün 7âwüùø3ÿ. ^ @d` @pb Apd C`f DÄh Dðj E l EHn Gðp Gør Q t.

Aspartate Asparagine B Hydroxylase Crystal Structures Reveal An Unexpected Epidermal Growth Factor Like Domain Substrate Disulfide Pattern Nature Communications

A Novel Set Of Moment Invariants For Pattern Recognition Applications Based On Jacobi Polynomials Springerlink

Solved 8 10 Given Turing Machine Q F Q4 6 Qo Qi X R 6 Qi Qi R Qo Q Qz Q3 Q4 2 B B X Y 0 Qi B 2 Y Q
Naox Ss のギャラリー
Let Alpha And Beta Be The Roots Of X 2 6x 2 0 With Alpha Beta Lf An Alpha N Beta N For N 1 Then The Value Of A10 2a 8 2a9 Is

Answered Suppose You Sample N 0 Douglas Bartleby

Elimination Of Senescent Cells By B Galactosidase Targeted Prodrug Attenuates Inflammation And Restores Physical Function In Aged Mice Cell Research

Single Crystal X Ray Structure Data For Tris N N 0 Diallyl Download Scientific Diagram
Plos One Multifunctionality And Diversity In Bacterial Biofilms
If A And B Are The Roots Of The Equation X 2 X 1 0 Then A 09 B 09 Is Equal To Sarthaks Econnect Largest Online Education Community

Frontiers Multivariate Correlation Measures Reveal Structure And Strength Of Brain Body Physiological Networks At Rest And During Mental Stress Neuroscience

The Roots A And B Of The Quadratic Equation X2 5x 3 K 1 0 Are Such

If Alpha And Beta Are The Zeroes Of X 2 3x 2 Find A Quadratic Polynomial Whose Zeroes Are The Brainly In

If Alpha And Beta Are The Zeros Of Quadratic Polynomial F X 3x 2 4x 1 Find A Youtube
Beta Distribution Wikipedia

If Alpha And Beta Are Zeros Of Polynomial 4x 2 4x 3 Then Form Quadratic Polynomial Whose Zeros Are 3alpha And 3 Beta

Variation Of Nonlinear Absorption Coefficient Ss And Nonlinear Download Scientific Diagram

Beta Distribution Intuition Examples And Derivation By Aerin Kim Towards Data Science

If Alfa And Beta Are The Zeroes Of Of Quadratic Polynomial F X X2 3x 2 Find Quadratic Polynomial Brainly In

Continuous Pymc3 3 11 2 Documentation

Econometrics 2 Lecture 1 Ml Estimation Diagnostic Tests

Alpha Beta And Gamma Are The Roots Of X 3 3x 2 3x 7 0 W Is Cube Root Of Unity Then Alpha 1beta 1 Beta 1gamma 1 Gamma 1alpha 1

Ino9zsniosmom

Aspartate Asparagine B Hydroxylase Crystal Structures Reveal An Unexpected Epidermal Growth Factor Like Domain Substrate Disulfide Pattern Nature Communications

Consider The Model Yi 1 2 N 1 X Ss Chegg Com

Gamma Beta Functions 1

If A B Are Zeroes Of The Polynomial X2 2x 8 Then Form A Quadratic Polynomial Whose Zeroes Are 2a And Brainly In
Beta Distribution Wikipedia

Wnt B Catenin Signaling Regulates Ve Cadherin Mediated Anastomosis Of Brain Capillaries By Counteracting S1pr1 Signaling Nature Communications

A The Hydrolysis Of X Gal Catalyzed By B Galactosidase B Download Scientific Diagram
Pdf Probability Audrey Wu Academia Edu

Anatomische Hefte Au X Am Aujt 5 Au Jjt Ou Lfffl Au N Gt Fio S L Fj Aul Ss R Infntii T J Spitze T Fjru Ii Iat Rfifi Gt Tij V Ll7 Rf Ff R Quot S S Siu Fig1 Auj Y

German Alphabet Abc Learn German Easily
Let A And B Be The Roots Of Equation X 2 6x 2 0 If An A N B N For N 1 Then The Value Of A10

If Alpha Beta Are The Roots Of The Equation 3x 2 2x 1 0 Then Find The Equation Whose Root Youtube
Find The Value Of X Such That X Alpha N X Beta N Alpha

Econometrics Lecture 1 Econometrics First Steps Contents N

Econometrics 2 Lecture 1 Ml Estimation Diagnostic Tests

Let Alpha And Beta Are The Roots Of X 2 10x 7 0 If A N Alph

Crispr Cas9 Gene Editing For Sickle Cell Disease And B Thalassemia Nejm

Derivation Of Large Sample Distribution For The Least Squares Estimator Of The Intercept Beta 0 Cross Validated

Let A B G Denote Words Of Length N D A B Denotes The Distance Between The Words A And Homeworklib
Beta Distribution Wikipedia

Quantitative In Vivo Evaluation Of The Reverse B Oxidation Pathway For Fatty Acid Production In Saccharomyces Cerevisiae Biorxiv
Ifi M N Int 0 1x M 1 1 X N 1 Dx M N In I M Ngeq0 T
If Alpha Beta Are The Roots Of The Quadratic Equation 2x 2 6x K 0 Where K Is Less Than 0 Then What Is The Maximum Value Of Alpha Beta Beta Alpha Quora
Beta Function Wikipedia

Beta Distribution Intuition Examples And Derivation By Aerin Kim Towards Data Science

Beta Distribution Intuition Examples And Derivation By Aerin Kim Towards Data Science
/CAPM2-cc8df29f4d814b1597d33eb7742c9243.jpg)
How Does Beta Reflect Systematic Risk

Common Statistical Tests Are Linear Models Or How To Teach Stats

Common Statistical Tests Are Linear Models Or How To Teach Stats

Visualizing Subcellular Rearrangements In Intact B Cells Using Soft X Ray Tomography Science Advances
2 For Some Ni 1 Let X N Ui O 1 Chegg Com

Example 1 If Line Makes Angle 90 60 30 With X Y Z Axis

Beta Distribution Intuition Examples And Derivation By Aerin Kim Towards Data Science

Plasma Clearance And Biodistribution Of Oxidatively Modified 99mtc Ss Vldl In Rabbits

Frontiers Tgf B Induced Endothelial To Mesenchymal Transition In Disease And Tissue Engineering Cell And Developmental Biology

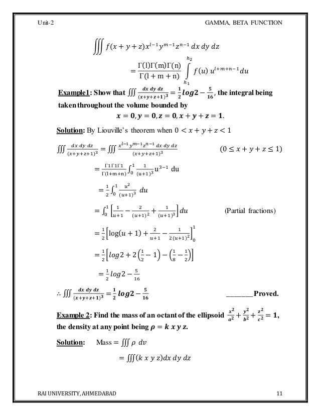
B Tech Ii Unit 2 Material Beta Gamma Function

Blue White Screening Protocols For Colony Selection Sigma Aldrich

Hw 3 2 If We Want To Estimate Q 0 Var X 0 1 Chegg Com
Beta Distribution Wikipedia

Continuing Chronic Beta Blockade In The Acute Phase Of Severe Sepsis And Septic Shock Is Associated With Decreased Mortality Rates Up To 90 Days British Journal Of Anaesthesia

If Roots Of X 3 5x 2 7x 1 0 Are Alpha Beta Gamma Then The Equa

Consider The Model Yi 1 2 N 1 X Ss Chegg Com
Beta Function Wikipedia

Slides Show

German Alphabet And Grammar Learning Tips

Slides Show
If B M N Denotes The Beta Function Then What Is The Value Of B 3 2 1 2 Quora

Plasma Clearance And Biodistribution Of Oxidatively Modified 99mtc Ss Vldl In Rabbits

Reprogramming Of Tumor Associated Macrophages By Targeting B Catenin Fosl2 Arid5a Signaling A Potential Treatment Of Lung Cancer Science Advances
Beta Distribution Wikipedia
2 Quadratic Equations Quadratic Equation Zero Of A Function
Beta Distribution Wikipedia

Connection Of A Call C A W I B W J In The Network S B N N D 1 Download Scientific Diagram

Continuous Pymc3 3 11 2 Documentation

If Math Alpha Math And Math Beta Math Are The Roots Of The Equation Math X 2 P X 1 Q 0 Math Then What Is The Value Of Math Frac Alpha 2 2 Alpha 1 Alpha 2 2 Alpha Q Frac Beta 2 2 Beta 1 Beta 2 2 Beta Q Math Quora



