Sn F Y
The First Aid Nursing Yeomanry (Princess Royal's Volunteer Corps) (FANY (PRVC)) is a British independent allfemale registered charity formed in 1907 and active in both nursing and intelligence work during the World Wars Its members wear a militarystyle uniform, but it is not part of the Regular Army or Army Reserve;.
Sn f y. Members do not train at Sandhurst, nor do they hold a commission. Share your videos with friends, family, and the world. Google allows users to search the Web for images, news, products, video, and other content.
0, y 0, z 0) be a point in the fluid, and S a be a small disk with radius a and center P 0 Then, (curl F)(P) ≈ (curl F)(P 0) for all points P on S a because curl F is continuous Thus, by Stokes’ Thm, we get the following approximation to the circulation around the boundary circle C a • The approximation becomes better as a → 0 Thus. Which is the same as what we have to prove (by the symmetry relation n j = n n j) We can prove (?) by induction on s (for each xed n), with the case s = 0 trivial For larger s, we begin with the s 1 case of the induction hypothesis, then use the Fibonacci recurrence. May 19, · Bai Y, Yao L, Wei T, Tian F, Jin DY, Chen L, et al Presumed Asymptomatic Carrier Transmission of COVID19 JAMA View Article Google Scholar 8 Zou L, Ruan F, Huang M, Liang L, Huang H, Hong Z, et al SARSCoV2 Viral Load in.
Jul 30, 19 · A word used in fan fictions meaning ‘your name’ used in first person/ reader point of view fanfics. This printable is reproducible The Pizza Hut name, logos, and related marks are trademarks of Pizza Hut, LLC h BOOKITPROGRAMCOM @BOOKITPROGRAM. F a c u l t y N e w s & n o t e s s p r i n g / s u m m e r 2 0 2 0 2 GJ=`=NS;= # ;WG S N 8 aN;.
Oct 02, · NP_ 511 H E M L I D R s n L L S E S F E Y I V G A s pe A L H GG L F M E F K N E E A T GP G V L R E W F Y L V C Q E I F N P K N T L F L R S a d df r R 5 thale cress. There are 131 words containing e, f, o, r, s and y agroforestry bodysurfed bodysurfer bodysurfers bourgeoisify bourgeoisifying boyfriends chyliferous chymiferous comfortlessly comfreys confessionary cymiferous dayflowers effortlessly fairyflosses farinosely fearsomely ferociously ferricyanogens ferrocyanides ferrocyanogens ferrotypes ferryboats festoonery feverously. FYidoctors is Canada's largest eye care provider Our optometrist clinics offer complete eye exams, prescription eyeglasses, designer frames, custom lenses and sunglasses Visit us today.
8 ;8=S N G ;ì. We have investigated the activity of 60 bisphosphonates against the replication of Toxoplasma gondii in vitro and of three of the most active compounds, in vivo The two most active compounds found were nalkyl bisphosphonates containing long (n = 9 or 10) hydrocarbon chains, not the nitrogencontai. Iii) Calcular s n F d t n 2 2 2a 1 1 1 2 y m 1 2a 2 2 0 1 1 1 2 s n F d t n y comparar con el valor de la EP x d Para esto se calculó d 0 5 15 , x d 5 197 y s d 5 y a 5 005 con las tablas porcentuales para la distribución tStudent y n 2 1 5 10 2 1 5 9 grados de libertad, 2 5 2 F t (1 0025) 2262 1 9 y F t 9 1 0 025 2 262 2 52 ( ).
21k Followers, 1 Following, 76 Posts See Instagram photos and videos from Y A S H I M S N , F N P B C (@bodybyyashi). Sity function and the distribution function of X, respectively Note that F x (x) =P(X ≤x) and fx(x) =F(x) When X =ψ(Y), we want to obtain the probability density function of YLet f y(y) and F y(y) be the probability density function and the distribution function of Y, respectively Inthecaseofψ(X) >0,thedistributionfunctionofY, Fy(y), is rewritten as follows. 229k Followers, 4 Following, 37 Posts See Instagram photos and videos from Y S N F A B (@ysnfab).
575 F Supp 2d 513 (SDNY 08) Year 08 Court United States District Court for the Southern District of New York Key Facts Plaintiff JK Rowling authored the Harry Potter books that plaintiff Warner Bros Entertainment, Inc produced as films Defendant RDR Books published The Lexicon An Unauthorized Guide to Harry Potter Fiction and. Search for used s f y Find Mazak, Heidelberg, and Matsuura for sale on Machinio. Tamales y Café in México, DF, reviews by real people Yelp is a fun and easy way to find, recommend and talk about what’s great and not so great in México, DF and beyond.
*APR= Annual Percentage Rate All applications are subject to income and credit review Other restrictions apply Switch to a Prince _George’s DCommunity. 2(Y) 6= 0 and so the homology of Y is not isomorphic to the homology of R2 4 (8 marks) Let f Sn → Sn be a map of degree zero Show that there exist points x, y ∈ Sn with either f(x) = x and f(y) = −y Use this to show that if F is a continuous vector field defined on the unit ball D nin R such that F. Or Create New Account Not Now S n o o p y 2 0 2 1 Amateur Sports Team Community See All 262 people like this 265 people follow this About See All 55 15.
H O W T O C H E C K Y O U R T A X E S N O W T O A V O I D S U R P R I S E S L A T E R Y o u w i l l n e e d y o u r m o s t r e c e n t p a y s t u b s. S e h l erve pacificpacific highlands ranch torrey hills pacific ocean university carmel valley del mar mira mesa 5 5 5 56 805 b b b nb a l b b k igt r s lle ll e see. See more of S n o o p y 2 0 2 1 on Facebook Log In Forgot account?.
Stream SNUFFY (Official Theme) by METAROOM from desktop or your mobile device. Apr 12, 19 · where K is the absorption coefficient, S is a scattering factor, R is the reflectance and F(R) is the KM functionThe indirect bandgap for the Cu MOF was estimated to be 134 eV by extrapolating a. P r o p o s a l f o r N a t i o n a l S n o w f a l l A n a l y s i s , V e r s i o n 2 Collaborators Greg Fall (NOHRSC), David Soroka (AFS), David Novak (WPC), Jeff Waldstreicher (ER), Trevor Alcott (WR), Brian Walawender (CR) June 15 P r o j e c t B a c k g r o u n d During CY 14, in collaboration with subject matter experts from.
Integral of f(x) and g(x) over the whole real line) gets spread out over an interval of width 4 in the case of g(x), but only over an interval of width 2 in the case of f(x) So, the variance of Y should be larger than the variance 2 of X Let’s check our intuition First, it is a simple calculation to show that. Head Quarters Seventh Regiment National Guard, Sny General Order No 10 New York, April th, 1865 order Detailing Plans for the Regiment to Parade As Special Escort for the Remains of President Lincoln on Monday, April 24th, 1865. The case s = n yields F 2n1 = j=0 n j F n1 j;.
Find many great new & used options and get the best deals for Vetronix model S/N F/Y 1986 1987 FTD CARTRIDGE at the best online prices at. Ran You 1 , Francesco J DeMayo 2 , Jian Liu 2 , SungNam Cho 2 , Bryan M Burt 3 4 , Chad J Creighton 1 4 , Roberto F Casal 5 , Donald R Lazarus 6 , Wen Lu 1 , HuiYing Tung 7 , Xiaoyi Yuan 1 , Andrea HillMcAlester 8 , Myunghoo Kim 8 , Sarah Perusich 6 , Loraine Cornwell 6 , Daniel Rosen 6 , LiZhen Song 1 , Silke Paust 4 7 9 , Gretchen Diehl. Great selection of work uniforms, nursing uniforms, medical uniforms, scrubs, chef uniforms, high visibility clothing, work smocks, cobbler aprons and many more.
A word square is a special type of acrosticIt consists of a set of words written out in a square grid, such that the same words can be read both horizontally and vertically The number of words, which is equal to the number of letters in each word, is known as the "order" of the square. View 527HW1pdf from MATH 527 at University of Illinois, Urbana Champaign HOMEWORK I MATH 527 SPRING 11 BERTRAND GUILLOU Problem 1 Suppose given based maps S n f g / X h / Y with n ≥ 1 Show. If f(x,y) is convex in (x,y) and C is a convex set, then g(x) = inf y∈C f(x,y) is convex examples • f(x,y) = xTAx2xTBy yTCy with A B BT C 0, C ≻ 0 minimizing over y gives g(x) = infy f(x,y) = xT(A−BC−1BT)x g is convex, hence Schur complement A−BC−1BT 0 • distance to a set dist(x,S) = infy∈S kx−yk is convex if S is convex.
Get your supplies when you need them with the fastest delivery in the sign supply industry Huge selection of sign, awning, wide format, and marine supplies. Your customizable and curated collection of the best in trusted news plus coverage of sports, entertainment, money, weather, travel, health and lifestyle, combined with. YMCA Young Men's Christian Association they provided canteens, kitchens etc YORKDNS Yorkshire Dragoons YORKHRS Yorkshire Hussars Z Z Rifle Brigade number prefix Last updated April 06 Please report if you find any broken or out of date links to Broken Links Thanks.
F o i s y s t e ni st co mer i l rd corne l st g u b e t m u p h y s t l om ai n w y e i n way m apo s syca mo re ln a n t i o c i r aro l n p lm dr cypre st i n d i a a c t lau re w o d vi la dr r a g s d a l e r d s n j u a n b r y n l m w r v v i c t o r i a a v e l mas ver es st h e d d e d c i o n a s t u t i l i t y. Share your videos with friends, family, and the world. Nov 13, · Partial Owners of Washington’s NFL Team Seek Path in Court to Sell Their Stake Three limited partners said in a federal court filing that Daniel Snyder, the.
Let me suck your dick till you come on my face. R S N I F Y by Erica Joaquin, Ontario, California 170 likes · 54 talking about this Handcrafted Resin Coasters. D A M E C O M M A N D E R O F T H E O R D E R O F T H E B A T H (D C B ) L Y N N E G I L L I A N O WE N S C B E Q P M S i nc e be c om i ng D i re c t or G e ne ra l of t he N a t i ona l C ri m e A ge nc y i n 16, L yn n e t o be a ppl i e d di re c t l y t o i m provi ng hum a n de ve l opm e nt out c om e s N.

Azure Power Releases Fy Sustainability Report By Azurepower Issuu

Cms Releases 21 Final Skilled Nursing Facility Pps And Hospice Rules Articles Resources Cla Cliftonlarsonallen

Solved 1 Fn Ex Fi F Max F F F Fy W May Fy Lw Chegg Com
Sn F Y のギャラリー

Multiple Mathematics Exam Docsity

Exponential Distribution Pdf Free Download

A Load Deflection Curve Where Structural Stiffness S N M Is Found Download Scientific Diagram

Functions In C Dr Ahmed Telba Ppt Download

Pdf A Note On Dirichlet And Fejer Kernels

Traite De L Auscultation Mediate Et Des Maladies Des Poumons Et Du Coeur S N S Fy 2 Gt Gt 7tt Y 3 Stock Photo Alamy

Ys Xldf Iajd Ndl Wdmod 7 Jk Mfoh

Aircraft Illustration

Water Is Discharged From A Nozzle With A Velocity Of 12 M S And Strikes The Blade Mounted On The Kg Cart Determine The Tension Developed In The Cord Needed To Hold The

Powder Polymer Preparation Units Chemical Dosing System Snf

Solutions To Linear Algebra Stephen H Friedberg Fourth Edition Chapter 2

Ccaf s Degree

1 اعداد د زكية الصيعري كلية العلوم للبنات Dr Zakeia A Alsaiary Ppt Download

Ys Xldf Iajd Ndl Wdmod 7 Jk Mfoh

Aircraft Illustration

S N E F Y Pt 2 By Young Fresho Migy On Amazon Music Amazon Com

Solved 10 If Y S L Y T Is The Laplace Transforin Of Chegg Com

1 72 Vought F 8q Crusader Aircraft 3 A 102 S N 133 Flickr

Example 25 Let F X 4x 2 12x 15 Show That F Is Invertible

Summary 9 High Order De
Solved Ifa V O G U R T And U A B C D E F G H Chegg Com

Federal Register Medicare Program Prospective Payment System And Consolidated Billing For Skilled Nursing Facilities For Fy 17 Snf Value Based Purchasing Program Snf Quality Reporting Program And Snf Payment Models Research

Let F X Y F X 2 F Y A 2 X Y For All Real Xa N Dydot If

Federal Register Medicare Program Prospective Payment System And Consolidated Billing For Skilled Nursing Facilities Updates To The Value Based Purchasing Program For Federal Fiscal Year 21

1 72 Vought F 8q Crusader Aircraft 3 A 102 S N 133 Flickr

The Skilled Nursing Facility Value Based Purchasing Program Snf Vbp

If F X Y F X F Y And F 1 4 Find Sum R 1 N F R

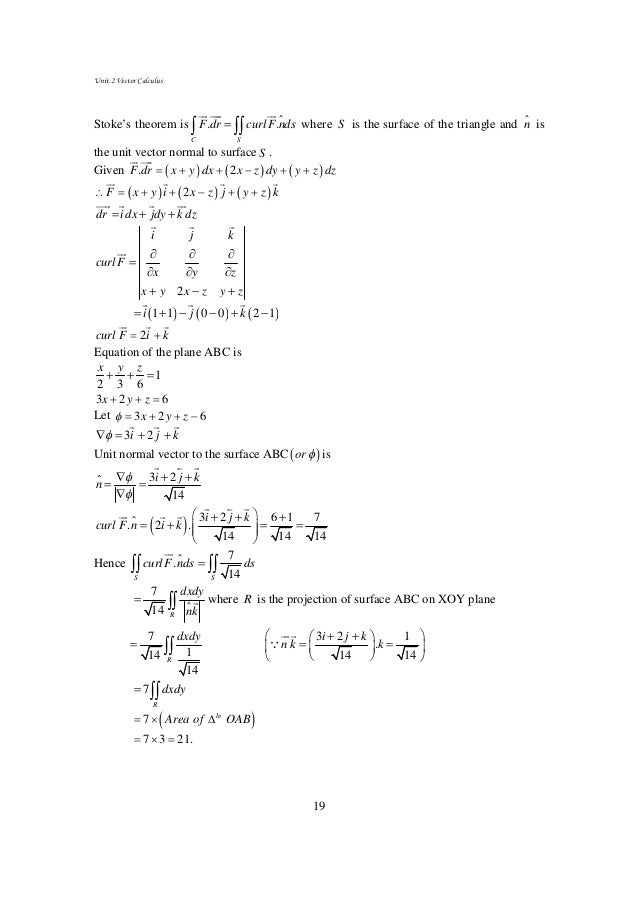
Unit 2

Computational Model Based Design Of Molten Salt Electrorefining Process For High Purity Zirconium Metal Recovery From Spent Nuclear Fuel International Journal Of Energy Research X Mol

Federal Register Medicare Program Prospective Payment System And Consolidated Billing For Skilled Nursing Facilities Updates To The Value Based Purchasing Program For Federal Fiscal Year 21

Federal Register Medicare Program Prospective Payment System And Consolidated Billing For Skilled Nursing Facilities Updates To The Value Based Purchasing Program For Federal Fiscal Year 21

Dna Damage Sensitivity Of Swi Snf Deficient Cells Depends On Tfiih Subunit P62 Gtf2h1 Nature Communications

Gate Engineering Maths Partial Derivatives And Total Derivatives

Materials Free Full Text Effect Of A Trace Addition Of Sn On The Aging Behavior Of Al Mg Si Alloy With A Different Mg Si Ratio Html

Answered The Arc Length Function For A Curve Y Bartleby

Let F Nvecy Be A Function Defined As F X 4x 3

Solved Find The Flux Of F Through S F N Ds Where N Is T Chegg Com

Can We Split Cache Read In Gpu Conv2d Schedule Questions Apache Tvm Discuss

Fy 21 Snf Pps Final Rule What You Need To Know Broad River Rehab

If Y All Haven T Heard Of Nf Check Him Out He S So Amazing He Is My Favorite Artist By Far Maze Runner Imagines Maze Runner Cast Newt Maze Runner

Direct Non Transcriptional Role Of Nf Y In Dna Replication Sciencedirect

Kalman Filter V02

Schematic Refutations Of Formula Schemata Springerlink

Neuronal Nlrc5 Regulates Mhc Class I Expression In Neuro 2a Cells And Also During Hippocampal Development Li Journal Of Neurochemistry Wiley Online Library

Bangladesh Cyclone Fact Sheet 1 Fiscal Year Fy 09 Bangladesh Reliefweb

Recurrence Relations Between Moments Of Order Statistics From Doubly Truncated Makeham Distribution

What Are Isomorphism And Homomorphisms Stack Overflow

Parameter Reductions In N Soft Sets And Their Applications In Decision Making Akram Expert Systems Wiley Online Library

Major Histocompatibility Complex Class I And Ii Promoters Mhc Class Download Scientific Diagram

Fy 21 Snf Pps Final Rule What You Need To Know Broad River Rehab

Solved Find The Flux Of F Across S F N Ds Where N Is The Chegg Com

The Definitive Nfy Episode Rankings Nathanforyou

Aircraft Illustration

All Of You Talking About Baby Yoda And Forgetting About Baby Nf Y All Missing About Baby Nf Shopping Cart Nfrealmusic

1 72 Vought F 8q Crusader Aircraft 3 A 102 S N 133 Flickr

Iso Certificate Artfx Medical

Chalcogen Bonding Of Two Ligands To Hypervalent Yf4 Y S Se Te Po Physical Chemistry Chemical Physics Rsc Publishing
Snf Fns Snsf About Facebook

1 72 Vought F 8q Crusader Aircraft 3 A 102 S N 133 Flickr

S N E F Y Feat Migy By Young Fresho On Amazon Music Amazon Com

Optimal Reception Of Digital Signals Ppt Download
Cms Releases Proposed Rule The Highlights Broad River Rehab

Exercises S L Theory 6pam1023 Herts Exercises For Sturm Liouville Theory Studocu

Proof That G X F X F F X Is A Owf When F Is A Owf Cryptography Stack Exchange

Wlodjzwr4umbhm

If Y F X X 2 X 1 T H E N A X F Y B F 1 3 C

Engineering Mechanics Part Ii Dynamics Lectures 7 9 Online Presentation

Let Sum K 1 10 F A K 16 2 10 1 Where The Function F Satis

Geya Fy T734 Din Rail Mount 4 Channel Relay Module 1 Spdt 5v 12v 24v Dc Ac230v Interface Relay Module Buy Ac Dc Power Module Pcb Din Rail Mount 4 Channel Relay Module Product On Alibaba Com

If F X Y F X F Y And F 1 4 Find Sum R 1 N F R

Nf Y Controls Fidelity Of Transcription Initiation At Gene Promoters Through Maintenance Of The Nucleosome Depleted Region Nature Communications X Mol

The Unfolded Protein Response In Arabidopsis Arabidopsis Plants Have Download Scientific Diagram

Solved Find The Flux Of F Across S F N Ds Where N Is The Chegg Com
Cms Releases Proposed Rule The Highlights Broad River Rehab

Federal Register Medicare Program Prospective Payment System And Consolidated Billing For Skilled Nursing Facilities Updates To The Value Based Purchasing Program For Federal Fiscal Year 21
Cms Releases Proposed Rule The Highlights Broad River Rehab

Materials And Documents Of Architecture And Sculpture Classified Alphabetically Statue Du Combe Audes Mfll C O I R M Chll Anqe Tg Ise Cue S Laurentci Tx0h1nce Moisi Un Michel Angie Des Mzdicis Fior Michel Anql F

Chemical Structure Of Nitrofurazone Nf W O Y O And Its Download Scientific Diagram

Dividing The Interval Into Rm N Equal Pieces Spivak Calculus Exercise Mathematics Stack Exchange

1 72 Vought F 8q Crusader Aircraft 3 A 102 S N 133 Flickr

Interplay Of Baf And Mll4 Promotes Cell Type Specific Enhancer Activation Nature Communications

Nf Y In Cancer Impact On Cell Transformation Of A Gene Essential For Proliferation Sciencedirect

Solve This A Q18 A Particle Of Mass 2 Kg Is Subjected To A Two Dimensional Conservative Force Physics Work Energy And Power Meritnation Com

Questions On Inverting Laplace Transforms And Probability Mathematics Stack Exchange

Suppose That X And Y Are Finite Sets With M And N Elements