U Snue
P R E N D A S N U E V A S Pregunta sin compromiso, realizamos entregas en distintos puntos de la ciudad.
U snue. ڍU b PlayStation 3 b GT b ^ M A \ b h S b o C I n U h5 b 3 b b PlayStation 2 b X ^ n ^ 2 b X ^ n ^ b ^ M A \ b h3. The largest source was the United States Board on Geographic Names National Imagery and Mapping Agency In Word Ways in August and November 02, he published several squares found in this wordlist The square below has been held by some word square experts as essentially solving the 10square problem ( Daily Mail , The Times ), while others. A (1 Q 2 AWrO e N*,VP tAƘ> 1 !"w z 1 G z O ~ k ( G/ ے g& A ) p m c7 $ ~ 5 m}} ) Hpe u!.
Search through our comprehensive database of words using our advanced word finder and unscrambler. ¡C e l e b r a m o s n u e s t r o a n i v e r s a r i o!. The latest tweets from @S_N_U_E.
M S _ _ p N u { F k B s q 2101 i q 앐 j i F k B s i 쐼191 @ i w _ j. ðwidth="0" Ecenter"> LUCASÂUCH NUEVOS MEDITERR à NE€˜íh2ˆ ˆ ˆ ˆ ˆ DESCUBRIMIENTOSÑUEÃAMBIANƒELÐAISAJEÄEÌAÖIDAÉNƒØIOR,„Z€ËMANO !SANÊOSEMAR à AŠ·ŒÂ · · ·Ž§Ž§Ž§ — — — — — — —> ©Ãopyright 18 Ïficinaäe  Informaci ón€ˆl  Opus  Dei Pwwwo€˜deiorg à NDICE. 1 e n i z Ú c a r d e m a t a m o r o s , p u e b l a , s i e n d o l a s n u e v e h o r a s d e l d i a v e i n t i o c h o.
Los premios para los ganadores son 1GANADOR Una caja personalizada 😍 2GANADOR Una cajita con dulces 😙 Para participar sigue los siguientes pasos Darle me gusta a la página y seguirla 😊 Compartir este post en modo público 🌍. #mexicanosenelmundo Vlog sobre mi vida en #Irlanda casada con un polaco y cosas de #Polonia #recetas exóticas, #lavidaenirlanda #miexperienciaenIrlanda #la. Kn͊G 70 º F b W l v i !.
M S _ _ p N u { F k B s q 2101 i q 앐 j. ) o1p U@ q ( n g ' c /C o _/ ow ۾ 66 jZ 2 o, 6 m l C ƭ8 5 #sf& Yr^ l K ӖD 9 ݦ h0B } O oE ᄂ ܴ Q v OO { i 4 W& ǒCY M I&A @ D %TZ ۭ n!̊ ۼ J leh ;. Reason February 1976 Free download as PDF File (pdf), Text File (txt) or read online for free Reason February 1976.

Provisions Of Charitable Trust As Amended By Finance Act

Sos I F T U S T E N S M S 4 In 1 125 Prog Digitalsonic Muscle Stimulator Electrotherapy Device Price In India Buy Sos I F T U S T E N S M S 4

Uss Richard E Byrd Ddg 23 License Plate Frame U S Navy Usn Military
U Snue のギャラリー

Economic Costs Of Diabetes In The U S In 17 Diabetes Care

Usn Universal Student Number By Acronymsandslang Com

Pdf Introduction To Domination Polynomial Of A Graph

Transfinite Step Indexing Decoupling Concrete And Logical Steps Springerlink

Finance Ministry Raises Red Flags Over Sbi S Nue Plans With Hdfc Bank Of Baroda Digitalsevaa Com Follow Us For Latest Digital Marketing Trends Tips Products And More

Solved B Let A T U T 3 U T 5 And H T E 3t Chegg Com

How To Apply For Us Citizenship By Naturalization In 9 Easy Steps Immigrationhelp Org
1 Vytah

Buy Address Of Rear Admiral Robert E Peary U S N At A Luncheon Of The Rotary Club Of Portland Maine New Falmouth Hotel August 6th 1915 Classic Reprint Book Online At

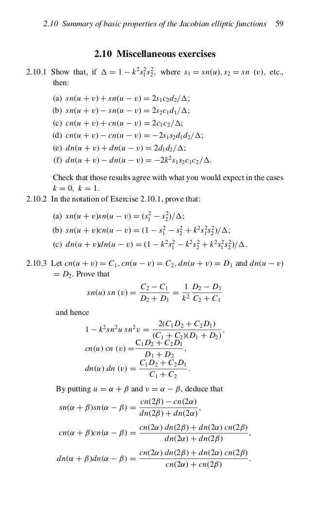
Elliptic Functions Cambridge

Surplus Equipment Northrop Grumman E 2 Hawkeye Vaw 117 United States Navy Usn Pin Badge Collectables Sloopy In

Energy Food Prebiotic Vs Power Up A Guide The Nue Co

The U S Naval Institute On Naval Command U S Naval Institute
U S Latest News Videos Photos About U S The Economic Times

Set Theory Solutions Pdf Document

Solved Problem 10 3 Determine The Discrete Time Fourier Chegg Com

Opinion U S Sanctions In A Time Of Coronavirus Are Morally Depraved As Well As Illegal Under International Law Marketwatch

Solved 1 Draw The Tree Diagram For The Chainrule And Wr Chegg Com

Shipmentlink Routing Network

Us Doll Ll Ll Ing On A Body Of Mass 10 000 Kg Ue To The Gravity
A N81 E When The Speed Of A Car Is U The Minimum Distance Scholr
The Word Glue Gun May Sou Lihat Cara Penyelesaian Di Qanda

U S Field Artillery March Wikipedia
Buy Sell Repeat No Room For Hold In Whipsawing Markets Reuters

International Exchange Programs Life In Campus Nursing Snu

Schmidt V Reader S Digest Ass N U S Supreme Court Transcript Of Record With Supporting Pleadings Buy Schmidt V Reader S Digest Ass N U S Supreme Court Transcript Of Record With Supporting Pleadings By Darlington Jay

Mastercard Conflict Of Interest May Hit Mastercard And Visa S Nue Licence Plans The Economic Times

Mycoco Women S Halter Triangle Bikini Set Cheeky Two Piece Swimsuit Padded Thong Bathing Suits Yellow Snake Grain Us 6 8 Buy Online In India At Desertcart In Productid

Clothing Shoes Accessories Usn Navy Mcpo Retired Hat Cap Master Chief Petty Officer Anchor E 9 Goat Unisex Clothing Shoes Accs

What Should I Know About Us Tax Collegepond

Give Sentences Using The Words You Have Found Ppt Download

Pin On Casual Wears 5 Churamani Complex Delhi Road Hisar

Does Nuclear Secrecy Make Us Secure New Book Offers Counterargument Ars Technica

Media And Entertainment Quiz At University Campus Shiv Nadar University

Water Nue Phishing Targets Execs Office 365 Accounts

I F T T E N S M S U S Deep Heat With Iron Body Amazon In Health Personal Care
In The Standard Equation Sn U A 2 2n 1 What Dimension Do Y
21 Best Universities In The World Us News

Neac Extended Time Limit To File Response U S 142 1 E Assessment Scheme 19
Daburn Electronics Cable Manufacturer Of Polytron Power Supplies Precise Circuits Electronics Linkedin

Usnu Har Wele Chete Karan Di Mainu Hai dat Ki Ho English Shaya

U S Polo Assn Boys Yellow T Shirt Buy U S Polo Assn Boys Yellow T Shirt Online At Low Price Snapdeal

Boruto 190 Shows Us Nue With An Extremely Violent Attack Memes Random

Upc Ean Numbers Barcodes Bar Code Number For E Commerce Us Uk Eu Ca In Tr Nube

Solved Determine The Frequency Response H E J W Of The Chegg Com

Digital Exchange Btc E Vinnik Sued For 100 Million By U S

Notice U S 143 1 Intimation From Income Tax Department Tax2win

Us Qadre Yaar Nu Yaar Na Quotes Writings By Qudat E Yaqub Yourquote

Noninvasive Sub Organ Ultrasound Stimulation For Targeted Neuromodulation Nature Communications

Lavanya U S N Fashion Deginers Rajvihar Tailors For Women In Kurnool Justdial

Grapfi Predicting Enzymatic Function Of Proteins From Domain Similarity Graphs Bmc Bioinformatics Full Text

United States Lighthouse Board Wikipedia

George Hamilton Perkins Commodore U S N Buy George Hamilton Perkins Commodore U S N Online At Low Price In India On Snapdeal

Tension Tn Koi Ni Mai U S Quotes Writings By Harvinder Randhawa Yourquote
/u-s-military-101-3331988-v3-5ba53270c9e77c0050453f85.png)
U S Military 101 Army Navy Air Force Marines And Coast Guard
A Deep Dive Into Part Of Speech ging Using The Viterbi Algorithm
Kao U Snu Ekv Live 1991 Wikipedia

Solved Determine The Frequency Response H E Jw Of The Si Chegg Com

Physiomodalities Combination Therapy 5 In 1 I F T T E N S Ms Us Deep Heat Physiomodalitirs Amazon In Health Personal Care
Install Snap Pixel

Buy Edelstein V Gillmore U S Supreme Court Transcript Of Record With Supporting Pleadings Book Online At Low Prices In India Edelstein V Gillmore U S Supreme Court Transcript Of Record With Supporting
The Wars On Terrorism And Iraq Human Rights Unilateralism And Us For

Financial Crime And You Fbi

Ministry Of Health Indiafightscorona The Onus Is On Us Let S Protect Ourselves And Others From Covid19 Practise Social Distancing And Follow These Do S And Don Ts Share This Information And Help

Usn Universal Student Number

In A Survey Of 100 Students The Number Of Students Class 11 Maths Cbse
/how-to-get-a-permit-to-work-in-the-us-2064269-final-5b7497bdc9e77c0025f950a7.png)
How To Get A Permit To Work In The U S

Celera Nu Tablet 10 S Price Uses Side Effects Composition Apollo Pharmacy

Pin On My Posh Closet

Studio Nue

A Jay Writtes Letters To His Nue Friends And Addresses The Corresponding The Number Us Witys

A Slow Neutron N Is Captured By A 92 U 235 Nucleus Forming A

New U S Maritime Strategy Sets Sights On China Usni News
Gallon Wikipedia

Main Usnu Kiha Chal Duniya Na Hun Natte Tod Dinde English Life E

Combination Of Ultrasound Elastography With Ti Rads In The Diagnosis Of Small Thyroid Nodules 10 Mm A New Method To Increase The Diagnostic Performance European Journal Of Radiology
U Dise

This Heart Of Mine Chicago Stars By S U S A N E L I Z A B E T H Shop Your Book Venture Of Rk Books



