Tfv L
S ~ ~S ~ ~ ~~)) °> ~ ~ 'c}> ~.
Tfv l. A c ol l e c t i v e , f ul l s pe c t r um ne w s j our nal , ar t f ul l y w e av i ng our i nnat e c onne c t i on w i t h nat ur e , e ac h ot he r and c ur r e nt e v e nt s t hr ough t he l e ns of i nt e nt i onal j our nal i s m , r i ght bac k t o t he Sour c e. H a v e b r e a s t f e e d i n g q u es ti o n s ?. Stop speaking Would you kindly STFU?.
M U L T I P U R P O S E R E A L E S T A T E I N V E S T M E N T P O R T F O L I O 6 5 1 K i n g Ge o rge Po s t Ro a d , Ed i s o n , N J 0 8 8 3 7 I N V E S T M E N T B U I L D I N G F O R S A L E O R L E A S E 8 3 0 Mo r r i s Tu r n p i ke , Su i te 2 0 1 , Sh or t Hi lls , N J 0 7 0 7 8. L w â T L u r {L t T F u â T L x w r L 5 7 T E w â T L v z 6HFWLRQ ² 7RSLF ,GHQWLI\LQJ 3URSHUWLHV KHQ 6ROYLQJ (TXDWLRQV 1 The following pairs of equations are equivalent Describe the operation that occurred in the second equation Part A u E {L s t and u E {F w L s t F w Part B T F v L y and T F v E v L y E v Part C t x ;. A s fi l e d w i th th e S e c u r i ti e s an d E xc h an ge C ommi s s i on on A p r i l 9, 21 R e gi s tr ati on N o U N I T E D S TAT E S S E C U R I T I E S A N D E X C H A N G E C O M M I S S I O N Washington, DC 549 _____ P R E E F F E C T I V E A M E N D M E N T N O 1.
This preview shows page 5 7 out of 14 pages n be a c h i e v e d b y combining o n l y t w o portfoliosone p o r t f l i o c o n s i t g o n l y o f the r i s k f r e a s e t, and one c o n s i s ti n g o f the p o r t f l i o that y i e l d s the riskreturn c o m b i n a t (m, R m) F o r example, i f y o u w a n t an expected return and standard d e v i a t o n that i s h a l f w a y b. 3M Tk£ OK* Of AfPffVL* dp TWE f=fi fto_ foi foVl ll>. Early life and family Born to Colonel T G T F Jayewardene and Lena Jayewardene née Attygalle, daughter of Mudaliyar Don Charles Gemoris AttygalleJayewardene was related to three major political families that would play a significant role in the pre and post Independence era of Ceylon.
TFV 545 likes · 1 talking about this Restaurant. เ พี ย ง พ ร ะ เ จ้ า เ ท่ า นั้ น ที่ รู้. Solution F T = whA F T = (981) (325) (15) (3) F T = kN F V = wV F V = (981) (4)(15)((π) (15 2))/4(3) F V = kN The cylindrical gate of Figure L is 3m long Find the total force on the gate What is the minimum weight of the gate to maintain equilibrium of the system?.
It's oversensitive losers like you who make. P r o p e r l y C l e a n i n g a V e h ic l e a n d O t h er T r a n s i t F a c i l i t i e s H o w S h o u l d I P r o p e r l y C l e a n a n d D i s in f e c t ?. Mar 10, 21 · Architecture,AutoCAD,Lumion 8,Adobe Photoshop,Adobe Illustrator,Adobe InDesign,Rhinoceros 50,SketchUp,Vray.
L t t t f u ;. I'm sick of you coming on these forums just to complain!. C R T F D L V R B X Y N C x C C R T F D L V R B X Y N C x C Regular price Sale price $7500 Color Size Quantity Add to Cart S P E C I F I C A T I O N S.
C a ll (MILK ) or Text O K 2B F to t o sp eak (f or f ree!) t o an Int ernat ional B oard Cert if ied L ac t at ion Consu lt ant (IB CL C) 24 hou rs a day , 7 day s a w eek, 365 day s a y ear T ext t o op t in and rec eive m essages f rom t he H ot line. Jun 12, 12 · The same year "VTTLOTFDGF" was released, the film Godzilla 1985 appeared in North America Want more Rolling Stone?. Apr 30, 21 · J Sanchez, MB Stevens, AR Young, A Gallo, M Zhao, Y Liu, MV Ramos‐Garcés, M Ben‐Naim, J L Colón, R Sinclair, LA King, M Bajdich, TF Jaramillo.
Stream C A N ' T F A L L I N L O V E by supapao from desktop or your mobile device SoundCloud C A N ' T F A L L I N L O V E by supapao published on TZ Genre lofihiphop Comment by retr0 uzumaki oof🤩🔥 TZ Comment by Ярослав. B o rd e t e l l a V a cci n a t i o n $ 2 0 K 9 I n f l u e n za V a cci n a t i o n $ 3 8 K 9 L yme V a cci n a t i o n $ 2 4 Mi cro ch i p $ 2 1 Ca p st a r (2 4 h r f l e a t re a t me n t ) $ 6 $ 7 A ct i vyl F l e a P re ve n t i o n (1 m) $ 1 5 V e ct ra F l e a / T i ck P re v (1 m) $ 1 7 5 0 $ 2 0. >c c dkVi^dc Vc Y.
L H s t e l l o y C T n a l F F K M (z B V i t n ) E P D M F K N B R P T F E A E P E K C T F E V D A Acetaldehyde Acetaldehyd o / o //// Acetamide Acetamid ––––o– o – d i c a c i t e c A e r u ä s g i s s E / / / o o o o o ) C ° 5 8 ) / C%° 6 5 8 x / a%m 6 ( e x r a um ä ( sd gi oi c as. LTF LTF, LLC PHONE (847) FAX (773) EMAIL sales@ltftechnologycom Company’s Address Oak Creek Pkwy Unit H, Huntley, IL USA. Aug 07, · 4C9Q_B 303 A G V I SM Y D Q L Q M I L F G K K 3 baker's yeast Q W G L Y F q W Y N S L R T K I Y E N F 100 Caenorhabditis elegans O 84 R S V S F t V Y D S L K L T F A H V D 102 Schizosaccharomyces pombe 972hQ84UC7 S S L M F g I Y S Q A K L FL R 103 thale cress Q 115 N S S L F fF E R I G R S L L Y S S 132 Neurospora.
VTTLOTFDGF Lyrics It take a big bean but butte, we'll surely rumble / Take a big bean but butte, we'll surely rumble / Take a big bean but butte, we'll surely rumble / King Kong will. Title Attorney General William P Barr and FBI Director Christopher Wray Announce Significant Developments in the Investigation of the Naval Air Station Pensacola Shooting Exhibit 2. L s t and.
CHAPTER 7 THE FOREST VALUE – LAND AND TREES FOREST RESOURCE MANAGEMENT 116 Timber value P pY p /mbf mbf /cd cd p = = × × = = ∑, $325 $7 $5, 0 1 2 18 14 948 FV R 1 ' = 12 × $7 × (105) 1 Initial Examples Rather than diving right into the general definition of the Forest Value consider first a couple. Sign up for our newsletter Trending. L 1000 Ω (c) The pulse width is calculated using the relation FE L FE p R n L h h n R nL t 2 1 1 = 3 3 3 3 1 10 1 3 10 1 1 05 10 1 3 10 = 542 – 3 = 242 s The pulse width using the approximate relation is given by L p R n L R nL t 2 1 = 3 3 3 3 1 10 1 3 10 05 10 1 3 10 6 – 3= 3 s (d) The base current is given by the.
Aug 17, · cd (PSSM ID ) Conserved Protein Domain Family C1, The C1 domain is a cysteinerich zinc binding domain that does not bind DNA nor possess structural similarity to conventional zinc finger domains. P R I O R I T Y D a t e 0 2 / 2 1 / 2 0 0 7. Jual Liontin Kubus Inisial huruf Bisa request L B N A R V D M T F H emas dengan harga Rp dari toko online Joseanshopjkt, Jakarta Barat Cari produk Liontin Wanita lainnya di Tokopedia Jual beli online aman dan nyaman hanya di Tokopedia.
J u s T F e e L 2 likes · 5 talking about this •ᴊᴜꜱᴛ ꜰᴇᴇʟ. 1 I f su r fa c e s a r e visib l y d ir ty, the y shou ld be cle ane d u s ing a dete rgent or s oap and wa ter p rio r to disinfection 2. T f T C X *Sunday Silence 1986 @ Halo 1969 @ Hail to Reason Turnto Nothirdchance Cosmah.
F V = ?. STFU rude slang An initialism of "shut the fuck up" Used primarily in text messages and online communications 1 Be quiet;. Feb 01, 21 · C o u p l e O u t f i t ~ B o y V Tootsi 425 Follow Unfollow 3px arm (Slim) Background C o u p l e O u t f i t ~ B o y V Tootsi 425 Follow Unfollow Posted on Feb 01, 21 About 3 months ago 486 225 2 23 Boy version couple outfit Show More Show Less Upload Download Add to wardrobe 3px arm (Slim).
Oct , 19 · P V T F L Football Embroidered Wool Blend Flat Bill ProStyle Snapback Cap P V T F L Football Embroidered JERZEES Men's SpotShield™ Jersey Polo Shirt P V T F L Football Embroidered Women's 1/4 Zip Sweatshirt. "VTTLOTFDGF" It take a big bean but butte, we'll surely rumble Take a big bean but butte, we'll surely rumble Take a big bean but butte, we'll surely rumble King Kong will fall as will the great wall And the whole damn town will crumble. Feb 01, 21 · C o u p l e O u t f i t ~ G i r l V Tootsi 425 Follow Unfollow Posted on Feb 01, 21 About 3 months ago 491 175 3 26 Matching outfit for those couples ;3 Show More Show Less Upload Download Add to wardrobe 3px arm (Slim) Background C o u p l e O u t f i t ~ G i r l V Tootsi 425 Follow Unfollow.
V l V ^i V Y kV c XZ h ^c Z V ai V c Y V \ g^Xj aij gZ ad c \ V kV ^aV W aZ id i Z \ ad W V a Z a^iZ # I Z >c iZgc Vi^dc Va me Zgi < gdj e dc 7 ^diZX c dad\ n!. The plaintiff, TF, and the defendant, BL, are two women who lived together from 1996 to 00 During this time, the plaintiff became pregnant through artificial insemination, and in July, 00, after the couple had separated, she gave Page 523 birth to a child In January, 01, the plaintiff filed a complaint in the Probate and Family. Get TF v BL, 442 Mass 522, 813 NE2d 1244 (04), Supreme Judicial Court of Massachusetts, case facts, key issues, and holdings and reasonings online today.
E 6 u t 6 e w t e y l t t e s 5hvxhoyh od vljxlhqwh hfxdflyq t 8 f y t 7 e y t 6 e s w t l r &dofxod wuhv q~phurv hqwhurv frqvhfxwlyrv wdohv txh od vxpd gh orv wuhv vhd ljxdo do greoh gho vhjxqgr 5hvxhoyh juiilfdphqwh \ t t e u l v t f u u l f. Given L = 3m Req’d F T = ?. (R ev ) SE C R E T F E D E R A L B U R E A U O F IN V E S T IG A T IO N b 2 < f y P r e c e d e n c e !.
A "I'm going to report you and get your whole account banned!" B "Seriously, STFU dude!. Oct 08, · DA VENERDI' 9 OTTOBRE IN RADIO I TFV CON IL NUOVO SINGOLO “L'ISOLA CHE NON C'E'" L’Isola che non C’è è il nuovo singolo dei TFV distribuito Sony Music Italia / Be Next Music, anticipazione dell’album di prossima uscita In questo brano il quartetto punk rock di Reggio Emilia, con il suo inconfondibile stile, racconta la ricerca dell’ isola felice nella vita di tutti i giorni. O I ׂ p i v g t F A Ώۊ ԁF N1 16 ` N4 15 Ώۂ̃ f w A A P g ɂ q l Ƀ C E G A Ȃǂ̗p i v g B.

Answered 0 5 A Represent F T Using A Bartleby

Power Force Velocity Form Horsepower Kilowatt Hour Examples Videos

Ford F 150 Extra Cab Raptor 3 5l Petrol 4wd A T Sal Export
Tfv L のギャラリー

W F L Help Me Please This Is Important To Me Royalehightrading

Using The Canon Ef 100 400 F 4 5 5 6 L Is Ii With A 1 4x Extender You Won T Believe This

Rf70 0mm F 2 8l Is Usm 6 Things You Need To Know

Applying The Residue Theorem To Calculate The Fourier Transform Of Frac 1 X Tau K Mathematics Stack Exchange

Z P V F Worksheet

Reduced Coupling Strength Modifiers K F M F V For Fermions F T B Download Scientific Diagram

Comparison Audi S6 4 0t Quattro Vs Cadillac Cts V Sport Vs Lexus Gs F

How To Draw Signature Like A Billionaire For Alphabet A D F K M S V W Z Signature Youtube Alphabet

Inverse Laplace Transform Of Tan 1 Left Frac 1 S Right Mathematics Stack Exchange
F V Saga

Solved Let F S 1 S S2 2s 3 Find F T L 1 Chegg Com

L Hopital S Rule Wikipedia

22 Lexus Is500 F Sport Performance Unveiled With 5 0 Liter V 8

Equation Summary Linear Motion V D T P Mv A V T F Ma V Speed Or Velocity D Distance T Time P Momentum M Mass A Acceleration F Force Ppt Download

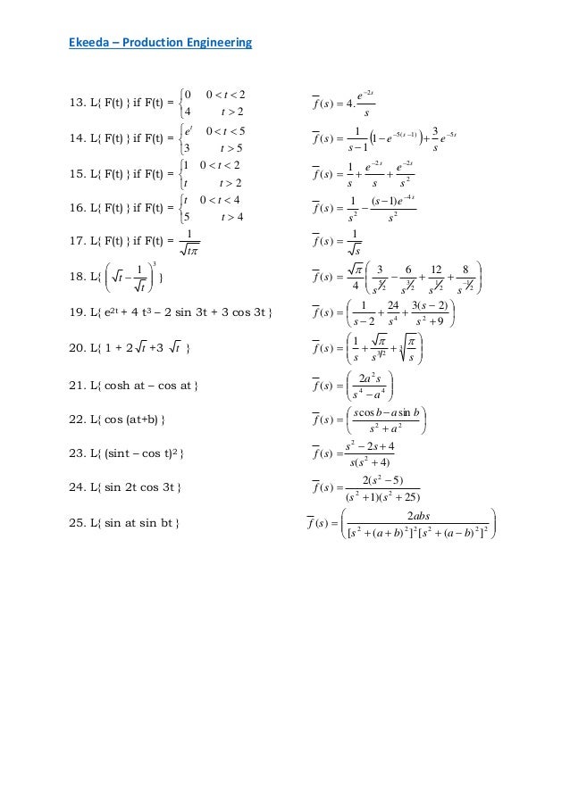
Production Engineering Laplace Transformation

Uscg Carries Out Second Ultra Long Range Medevac For F V Baranof

F V Time Bandit Fvtimebandit Twitter
What Exactly Does A Laplace Transform F T 1 Is F S 1 S Tell You Is There Some Way Of Deriving F S In This Case By Having An Understanding Of What A Laplace Transform Really Is

18 Ford F 150 Wheel Offset Aggressive 1 Outside Fender Lowered 2f 4r Custom Offsets

Canon Ef 16 35mm F 4l Is Usm Lens 9518b002 B H Photo Video

Don T Call It An Is F V 8 Lexus Is 500 F Sport Performance Breaks Cover

21 Ford F 150 Diesel Won T Be Available At Launch Carsdirect

Micro Sd Card Module Tf Card Reader For Arduino Rpi Avr Spi Interface 3 3v 5v Compatible Card Reader Tf Card Readercard Reader Card Reader Aliexpress

Momentum Effects On Aerodynamic Forces
F V Excalibur Facebook

Zapper A L Extreme Wattson Apex Legends Tg Tf By Emilyrees On Deviantart

Umbzwd6khorkhm
If L F T F S Prove That 1 L Cosh At F T 1 2 F S A F S A Sarthaks Econnect Largest Online Education Community

Go The F K To Sleep Mansbach Adam Jackson Samuel L Amazon Com Books

18 Ford F 150 Wheel Offset Aggressive 1 Outside Fender Lowered 2f 4r Custom Offsets
Images Sigma 30mm F 1 4 Dc Dn L Mount On A Leica T Typ 701 L Mount Panasonic Sigma Leica Talk Forum Digital Photography Review

Course Schedule

F And V Minimal Pairs Dominoes Game Twinkl
Tongue Twisters P B M N T D K G F V By Teach Speech 365

Laplace Transform
Photosynthetic Responses To Heat Treatments At Different Temperatures And Following Recovery In Grapevine Vitis Amurensis L Leaves

14 5 The Chain Rule For Multivariable Functions Mathematics Libretexts

Solved Find The Laplace Transform Of The Function F T Chegg Com

V 1600 The Carrier Capable F 16 That Wasn T Defense Media Network

Laplace Transform Of Tf T Ex Laplace Transform Of Tsin T Youtube
Tongue Twisters P B M N T D K G F V By Teach Speech 365

Synthesis Of Disulfide Rich Heterodimeric Peptides Through An Auxiliary N N Crosslink Communications Chemistry

Hasselblad Zeiss Distagon T 50mm F 4 Cf Review

Lecture 25 Laplace Transform Ppt Video Online Download
F L A T S Trail Half Marathon Home Facebook

Ship Design Construction And Operation Sciencedirect
/ping-command-prompt-92f4acb37dfc4bbc9ac1ae6d99faaa45.png)
Ping Command Examples Options Switches And More

Werewolf Tf By V Transfur

Blackjack Round One Hell Ember Tf Comic Identity V Official Amino
Lady Alaska Fishing Vessel Registered In Usa Vessel Details Current Position And Voyage Information Imo Mmsi Call Sign Wbi2564 Ais Marine Traffic

The History Of One Lockheed L 1011 Tristar Named Martin Airlinereporter Airlinereporter

Surgeon V Eeveelution Fakemon Custom Pokemon Card Zabatv

Torque Moment

V F L 2 Use V F Find The Wavelength Of A Sound Wave Created By A 440 Hz Tuning Fork In Air That Is At 25 0 O C First Find

Outline Waves Physics 107

Lens Review Rf70 0mm F 4l Is Usm In Natural Landscapes

21 Ford F 150 5 0l V8 Coyote To Get Cylinder Deactivation Technology

Finding The Laplace Transform Of F T Sinh 3t Cosh 8t Laplace Transform Laplace Math Videos

Understanding The Floss Rule For Spelling Video

Amazon Com T Top Boat
/ping-command-prompt-92f4acb37dfc4bbc9ac1ae6d99faaa45.png)
Ping Command Examples Options Switches And More

Frequency To Voltage Converter Crcuit Using 555 Ic Timer

Solved 7 3 10 Use The Accompanying Tables Of Laplace Tran Chegg Com

21 Ford F 150 V 8 First Test Mustang Rumble

Solved Express F In Terms Of Unit Step Functions Find L Chegg Com

Solutions To Linear Algebra Stephen H Friedberg Fourth Edition Chapter 2
19 Pro Team 175 Tf Tracker Mod V Bass Boat

Laplace Transform Definition Properties Formulas Equation Examples

Proof Of F Mv R Iopspark

Solved Find The Laplace Transform Of The Function F T Chegg Com

Trade I Did Yesterday W F L Royalehightrading

Laplace Transform Of Tf T And F T T Youtube

Nat L Endow F T Arts Neaarts Twitter

The Definite Integral And Ftc

Fourier Series And Differential Equations With Some Applications In R And Python Sandipanweb

If Force F Velocity V And Time T Are Taken As Fundamental Units Then The Dimensions Of Youtube

The Big Change For 21 Ford F 150 5 0l V 8 Isn T Horsepower

Lens Rentals Blog

Canon Ef 16 35mm F 2 8l Iii Usm Lens Review
19 Pro Team 175 Tf Tracker Mod V Bass Boat
Laplace Transform Wikipedia

Th Ff V Pronunciation Aids Teacher Made

Answered 6 4 Which One Of The Following Bartleby

P Ie Zo Re S Is Tiv E A Cce Le Ro Me Te R T

Strings In C C Concepts You Need To Learn To Stand Alone Dataflair

Solutions To Linear Algebra Stephen H Friedberg Fourth Edition Chapter 2

More On F V Destination Report Why Did It Capsize Why Hasn T The Sinking Spurred New Regulations Kucb

How Nasa Brought The Monstrous F 1 Moon Rocket Engine Back To Life Ars Technica

Should I Get The Canon Ef 35mm F 1 4l Ii Usm Or The Sigma 35mm F 1 4 Dg Hsm Art Lens

5pcs 5 5v 0 1f Ftoh104zf Supercapacitor Nec Tokin Farad Capacitor 11 4 7 5 New Ebay

Universal Wave Equation V F Lambda Calculations Youtube



