Xric Opbn
Author 横田奏平 Created Date 7/15/19 PM.
Xric opbn. Å Æ Ç È É Ê Ë Ì Í Î Ï Ð Ñ Ò Ó Ô Õ Ç Ð Ô Ï È Ñ Ö Î × Ë Í Ø Æ Õ Ù É Ú Û Ê × Ñ Æ Ô Ì Ü Ý Î Ø Ê È É Þ Ù Ð Ç Ï Å ß à á â Ó Ê Í ã Æ Ð Ï Î Ë ä Ò å Ö. Tbs $b%f%l%s$,$*fo$1$9$k!v (btv $b%. 27apr17 n r 0 2 5 8 5 3 9 r 2 8 5 6 0 5 2 3 5 2 0 (8) s a l o m s a d l l h y d r r r 2 1 5 r171 r 1 a 3 1 r l in a m b r r a l e y s r1 9 4 r143 (8) p a y n t t u k.

1 Prove That The Empty Set Is A Subset Of Every Set Pdf

Pdf Pseudo Halide Chemistry In Ionic Liquids With Decomposable Anions
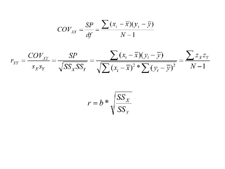
/value1-107161a22cc34fd49e87774a117fb504.jpg)
Using The Price To Book P B Ratio To Evaluate Companies
Xric Opbn のギャラリー

A P R O X I M A T N L G H S F E U C D I S C R E T A P L D M A H M 1 Ppt Download

Q2cjxz4a Vam7m
Colophon Libro Pharmaceutical Service Reform From The Italian Unity T

Npl Publications List June 11 Bipm
1 Vytah

The Maternal Placental Blood Flow In Normotensive And Hypertensive Women Browne 1953 Bjog An International Journal Of Obstetrics Amp Gynaecology Wiley Online Library

Efficient Solvent Free Synthesis Of Cyclic Carbonates From The Cycloaddition Of Carbon Dioxide And Epoxides Catalyzed By New Imidazolinium Functionalized Metal Complexes Under 0 1 Mpa Springerlink

Cop 3402 Systems Software Euripides Montagne University Of

Rotf Induced Annulation Of Heteroatom Reagents And Unsaturated Substrates Leading To Cyclic Compounds Royal Society Open Science
Solved Ifa V O G U R T And U A B C D E F G H Chegg Com

Co2 Fixation Into Cyclic And Polymeric Carbonates Principles And Applications Green Chemistry Rsc Publishing

Solved Let X P X 2 X Co Co E C With X E R Find Th Chegg Com

Msbshse Solutions For Ssc Maths Part 2 Chapter 5 Coordinate Geometry

Solved 18 Consider The Circular Helix R T Where A 0 B Chegg Com

Practice Problems For Standard Normal Distribution Business Statistics I Msc 287 Docsity

O Q Cxg 人気の最高の壁紙無料whd

Solved 5 A 5 Points For Which Value Of P The Series Chegg Com

The Point P 5 3 Was Reflected In The Origin To Get The Image P A Write Down The Co Ordinates Of P B If M Is The Foot If The Perpendicular From
Bayes Theorem Wikipedia

Sessional Papers Of The Dominion Of Canada 1903 Soi T 0 S Ia Oo G X O M T C T K C M R C O R X

A Xps Co 2p Spectrum Of Co Nx C 300 B Xps N 1s Spectrum Of Download Scientific Diagram

Copper Catalyzed Cascade Synthesis Of 1 2 4 Triazoloquinazolinones Synlett X Mol

Development Of Novel Efficient 2d Nanocomposite Catalyst Towards The Three Component Coupling Reaction For The Synthesis Of Imidazo 1 2 A Pyridines Applied Catalysis A General X Mol

Alphabet The Alphabet A B C D E F G H I J K L M N O P Q R S T U V W X Y And Z Ppt Download

Electrochemical Generation Of Nitrogen Centered Radicals For Organic Synthesis Sciencedirect

31 Mac Taylor Remainder Theorem X

Sulfone Derivative An Overview Sciencedirect Topics
Bayes Theorem Wikipedia

A A Q W E R T Y U I O P A S D F G H J K L Z X C V B N M

Table 4 From Closeness Index Ci An Assessment Tool For Students Performance Of Cell Theory Semantic Scholar

Existence Of Nonoscillatory Solutions For System Of Higher Order Neutral Differential Equations With Distributed Deviating Arguments Topic Of Research Paper In Mathematics Download Scholarly Article Pdf And Read For Free On Cyberleninka
Let Ohm F P Be A Probability Space And X Y O Chegg Com

Effect Of Pb Substitution Of Superconducting Transitions In Bi Sr Ca Cu O Scientific Net

The Fountain Archives The Fountain Archives

Spectral Letters Folded Of Paper Roman Alphabet A B C D E F Stock Vector Image Art Alamy
Papers Past Newspapers Evening Post 25 June 1878 Page 4 Advertisements Column 2

Advances In The Synthesis Of Benzo Fused Spiro Nitrogen Heterocycles New Approaches And Modification Of Old Strategies Gataullin Helvetica Chimica Acta Wiley Online Library

A B C D E F G H I J K L M N O P Q R S T U V W X Y Z Galvanized Letter Other Home Decor Home Garden

Plot Choosert Chooser Function Co Choosereasy S 0

A B C D E F G H I J K L M N O P Q R S T U V W X Y Z 0 9

Introduction To Simple Multiple Regression Psy 252 Thomas

Ontario Sessional Papers 18 No 4 7 Co B X X P In O Tc Ic Cs O Tr Gj T X T T Co Gt A H Co U

1 3 4 Azadiphospholides As Building Blocks For Scorpionate And Bidentate Ligands In Multinuclear Complexes Dalton Transactions Rsc Publishing

My Next High Frequency Words Ppt Download

Series Drawing Datasheet By Amphenol Icc Fci Digi Key Electronics
Which Of The Following Could See How To Solve It At Qanda

Cleanrhomescomau Workfromhome Distributors Wanted We Have Excellent Cosmetics Products A B C D E F G H I J K L M N O P X R S T U

Introduction And Preliminaries
Solved A Draw The Vectors Ab And On A Squared Paper Hence Or Otherwise Find The Vector Ac 4 Marks B If The Diagram Abcd Is A Paral Course Hero

Ceramic Abstracts 1965 Journal Of The American Ceramic Society Wiley Online Library
Bitsler Mod 1

Think Like A Cop Guns Shooting Police Tactics Self Defense Phonetic Alphabet Military Alphabet Nato Phonetic Alphabet

Solved 2 2 D 5 Let X1 14 N U 02 In This Que Chegg Com
Solved A N 1 10 Marks Consider The Equation F X 0 Chegg Com

Reflection On Graph A And A Of A The A 3 And Plot It Graph Ba Of B Maths Meritnation Com
Bayes Theorem Wikipedia

Chelators And Metal Complex Stability For Radiopharmaceutical Applications

Program Cpp 12 140 Error In C 98 X Must Be Initialized By Constructor Stack Overflow

Regio And Stereoselective Carbometallation Reactions Of N Alkynylamides And Sulfonamides Abstract Europe Pmc

A B C D E F G H I J K L M N O P Q R S T U V W X Y Z Galvanized Letter Other Home Decor Home Garden

The Roots Of The Equation Q R X 2 R P X P Q 0 Youtube

Race X Education A Youth Led Event With Opb Think Out Loud And The Center The Center

Ijms Free Full Text Antiproliferative Effects Of Alkaloid Evodiamine And Its Derivatives Html
Solved 5 1 2 Suppose You Have An Experiment Where You flip A Coin Three Times You Then Count The Number Of Heads A State The Random Variable Co Course Hero

Let F X A X B X C X I X M X N X P X Q X R X Show That F

Tertiary Phosphines Preparation And Reactivity Rsc Publishing Doi 10 1039

A Q J M Z O R W P I N B C L E X Art Print By Alain

The London Edinburgh And Dublin Philosophical Magazine And Journal Of Science O O 1 J Gt X T V 1 H N K I 11

Construction Industry Acronyms Designing Buildings Wiki

Army List 102 Gradation List Of Officers Lo Lo Ic Ift 3 2cooo Oa X C S O Tu Tn V 5 O Rt 1 1 I L I 3 S M O
Conditional Probability Wikipedia

Column I Heiti Column Ii A R X Y X Y X Ye N P Reflexive 6 S X Y X Y 10 X Ye N Symmetric T X Y X Y Or X Y 1 X Ye N 1 Transitive D U

Smartpress Home

Cleanrhomescomau Workfromhome Distributors Wanted We Have Excellent Cosmetics Products A B C D E F G H I J K L M N O P X R S T U

Root Pb Concentration µg G 1 Dw In Rice As Affected By Application Download Table
2 For Each Of The Following D See How To Solve It At Qanda

Shoot Pb Concentration µg G 1 Dw In Rice As Affected By Application Download Table

Mayoras Message And Reports Of The City Officers I T L H H Ph Hh H H O P Co Of A A Y S 2 As 032

Root Pb Concentration µg G 1 Dw In Rice As Affected By Application Download Table

Bibliography Geophysical Laboratory

Molecules Free Full Text 5 Aryl 2 3 5 Dialkyl 4 Hydroxyphenyl 4 4 Dimethyl 4h Imidazole 3 Oxides And Their Redox Species How Antioxidant Activity Of 1 Hydroxy 2 5 Dihydro 1h Imidazoles Correlates With The Stability Of Hybrid Phenoxyl Nitroxides



