Bv Hcvv
Ԃ̃L Y w R ~ E ( ) h C ͓ s ̃K W n }( L) l H Ə œK I _ ސ쌧 Ԏԑ̐ g ̃v V b v _ ސ쌧 ( ) h C T r X B l b g Ŗ ς t I C y ɂ p B.
Bv hcvv. The DFW CIV, DFW CV, DFW CVI, and DFW F37 were a family of German reconnaissance aircraft first used in 1916 in World War IThey were conventionally configured biplanes with unequalspan unstaggered wings and seating for the pilot and observer in tandem, open cockpits Like the DFW CII before them, these aircraft seated the gunner to the rear and armed him with a machine gun. Watch more vids on Kamcord Download Kamcord for iOS http//bitly/kcwprCheck out this video I made with My Talking Angela Get the app http//o7nco/MyAngela.

Goku Ssjb B Nbph Hjpc H Cv D7bbm M V V B B Vkcvkck Dragon Ball Super Manga Dragon Ball Super Goku Dragon Ball

Answered 6 Problem 6 64 The Switch Has Been In Bartleby

A P V Hysteresis Loops And B C V Characteristics Of The Fabricated Download Scientific Diagram
Bv Hcvv のギャラリー

Urban Objects Detection From C Band Synthetic Aperture Radar Sar Satellite Images Through Simulating Filter Properties Scientific Reports
Handgranaat Gevonden Voor Groothandel Vhc Jongens In Oostzaan Het Parool

Samenvatting Hoofdstuk 5 8 Samenvatting Hoofdstuk Hoofdstuk Elektronische Studocu

Annals Of The South African Museum Annale Van Die Suid Afrikaanse Museum Natural History Monograph On The Hydroida Of Southern Africa 13 M A Stolonial V H N Geniculate Straight B Unbranched

Remote Sensing Free Full Text Object Based Flood Analysis Using A Graph Based Representation Html

Volume 5 Issue 4 December 14 Bjh
Vhc Jongens Bv Linkedin

Acid Base Titration Ph Calculations

Gens Ace 11 1v 50c 3s 5500mah Lipo Battery Pack With T Plug Gens Ace

B V rdappelhandel V H Firma C Van Den Bogert Hedel Oozo Nl

In The Figure A Potential Difference V 100v Is Applied Across A Capacitor Arrangement Youtube

Sig Air Handling Nederland Wordt Hc Groep B V

E Photon H H Planck S Constant 6 63x10 34 J S Frequency Ppt Download

Hc Trading B V Logo Trade Trading Company Service Png 1024x1024px Logo Blue Brand Company Heidelbergcement Download

The Formula V Pr H Represents The Volume Of A Cylinder And The Following Questions In The Picture Socratic

Zijn Rekwisitorium Samen Daar Twee Beklaagden D Nederlaadsche Proceduor Jegischt Pdf Free Download

Measured S Hh S Hv S Vh And S Vv Channels For The Ttcr Download Scientific Diagram

Electrochemical Measurements Of The H Ncm And B Ncm Cathodes A First Download Scientific Diagram
If V Is The Volume Of A Cuboid Of Dimensions A B C And S Is Its Surface Area Then Prove That Sarthaks Econnect Largest Online Education Community

Economic Evaluation Of The Hepatitis C Elimination Strategy In Greece In The Era Of Affordable Direct Acting Antivirals

Immunoglobulin Light Chain Wikipedia

Pdf Problems Circuit Basics As A Review Of The Basics Of Circuit Analysis And In Order Resistors And Ohm S Law Antonio Nunes Academia Edu

Kirby S Scooperia N V H B O L J S C W T X Fun Math Games Kirby Fun Math

Ghtbfv Knsmd Bnk B Asb B B Vb Bv Bv B C Cv V V B Bn M N V V1 Bv656g Bv Vb Vb Bv Youtube

Current Auctions International Pigeon Events

An Introduction To Chromatographic Separations Ppt Download

7 A Silo Is A Building Shaped See How To Solve It At Qanda

Enhancing Land Use Classification With Fusing Dual Polarized Terrasar X And Multispectral Rapideye Data

Urban Objects Detection From C Band Synthetic Aperture Radar Sar Satellite Images Through Simulating Filter Properties Scientific Reports

Schematic Splitting Of The Ground Term For 3d 8 Ions A V C Cubic Download Scientific Diagram

Gens Ace B 50c 5500 4s1p Hc 14 Bashing

Army List Cannan A C J H Cannar H Cannel J Cannell H F C Canning A Hon C V P J S G Cannings E W T Cannington A S Cannon D R F

Anti Annexin V Antibody H 3 Scbt Santa Cruz Biotechnology

Uso De Grafias Complejas S C Z X G J B V H Y Ll Ortografia Y Puntuacion Practicas Del Lenguaje Reglas De Escritura

Gens Ace 5500mah 7 6v High Voltage 1c 2s2p Racing Series Shorty Black Hardcase Lipo65 Gens Ace

Structural Comparison Of The Vacuolar And Golgi V Atpases From Saccharomyces Cerevisiae Pnas

If H C And V Respectively Are The Height The Curved Surface Area And Volume Of The Cone Prove That Brainly In

Convex Optimization For Dual Problem Svm Programmer Sought

Chapter Two Vector Spaces Vector Space Linear Combinations

Linear Current I Voltage V Relationship For A Go C R Go And Download Scientific Diagram

Jy7fhirzzm6lvm

Deel I Iii Bronnen V H Recht Samenvatting Studocu

Vectors And The Geometry Of Space Pagina 2 Monografias Com

Which Vertical Line V And Horizontal Line H Can Be Used To Graph Point E A V X 2 H Y Brainly Com

Solved 3 Ch C Hs M Ppho Identify The Transition Metal Chegg Com

Pmz370une Datasheet By Nexperia Usa Inc Digi Key Electronics
A Capacitance Voltage C V Curves For Nmos And Pmos Devices Eot 2 Nm Download Scientific Diagram

Remote Sensing Free Full Text Near Real Time Freeze Detection Over Agricultural Plots Using Sentinel 1 Data Html

1 Fruits Of Different Vitex Spp V Mollis A V Agnus Castus B Download Scientific Diagram

Hg 0111 Datasheet By Akm Semiconductor Inc Digi Key Electronics

Answered 1 Which Of The Circuits In Fig 2 66 Bartleby

1 Point The Surface Area Of A Right Circular Cone Of Radius R And Height H Is S Ar Vp2 H2 And Its Volume Is V Far H A Determine H

Uso De Las Letras S B V Ll J G H Y C Icarito

Solved 1 Let X A B C And Y U V Which Of The Fo Chegg Com

Mild Steel Corrosion Inhibition In 0 Ppm Nacl By New Surfactant Derivatives Of Bis Glucobenzimidazolones Sciencedirect

V Mzg Kwe Zvt Diqvwi 1969 Kwe Zvi

Solved Part A Given The Formula Cv Cv Where C Indicate Chegg Com

3 Xrd Patterns Of Different Starch Types A B C And V H Reproduced Download Scientific Diagram

Scientific Articles Describing Applications That Use Implement Expand Principles Of Vibe Last Update May 4 21 1 Smoke Detection From From Forest fires Y Gao And P Cheng Full Scale Video Based Detection Of Smoke From Forest fires Combining Vibe

Urban Objects Detection From C Band Synthetic Aperture Radar Sar Satellite Images Through Simulating Filter Properties Scientific Reports
Vhc Jongens Bv Home Facebook

Solved Find The Distance Between U And V V 1 1 4 Chegg Com

Gens Ace 5500mah 14 8v 4s1p 50c Lipo Battery Pack With Xt90 Gens Ace

If A A B C D E F B C E G H And C A E M N Find I

Arresten Europees Arresten Eu Recht Studocu

Structure Of V Atpase From The Mammalian Brain Science

Volume 11 Issue 4 June Bjh

A In The Circuit Shown Calculate Img Src D10lpgp6xz

Scientific Articles Describing Applications That Use Implement Expand Principles Of Vibe Last Update May 4 21 1 Smoke Detection From From Forest fires Y Gao And P Cheng Full Scale Video Based Detection Of Smoke From Forest fires Combining Vibe

Initial Letter J U Vector Photo Free Trial Bigstock

Secondary Electron Scanning Electron Microscope Se Sem Images Of A Download Scientific Diagram

U

V H S Wikipedia

Income Tax Law Accounts A Y 21 Dr H C Mehrotra Dr S P Goyal
2 Typical Darrieus Configurations A Full Darrieus B H Rotor C Download Scientific Diagram

A Noble Bimetal Oxysulfide Cu V Os Catalyst For Highly Efficient Catalytic Reduction Of 4 Nitrophenol And Organic Dyes Rsc Advances Rsc Publishing Doi 10 1039 C9rad

Synthesis Characterization And Catalytic Activity Of Two Novel Cis Dioxovanadium V Complexes Vo2 L And Vo2 Hlox

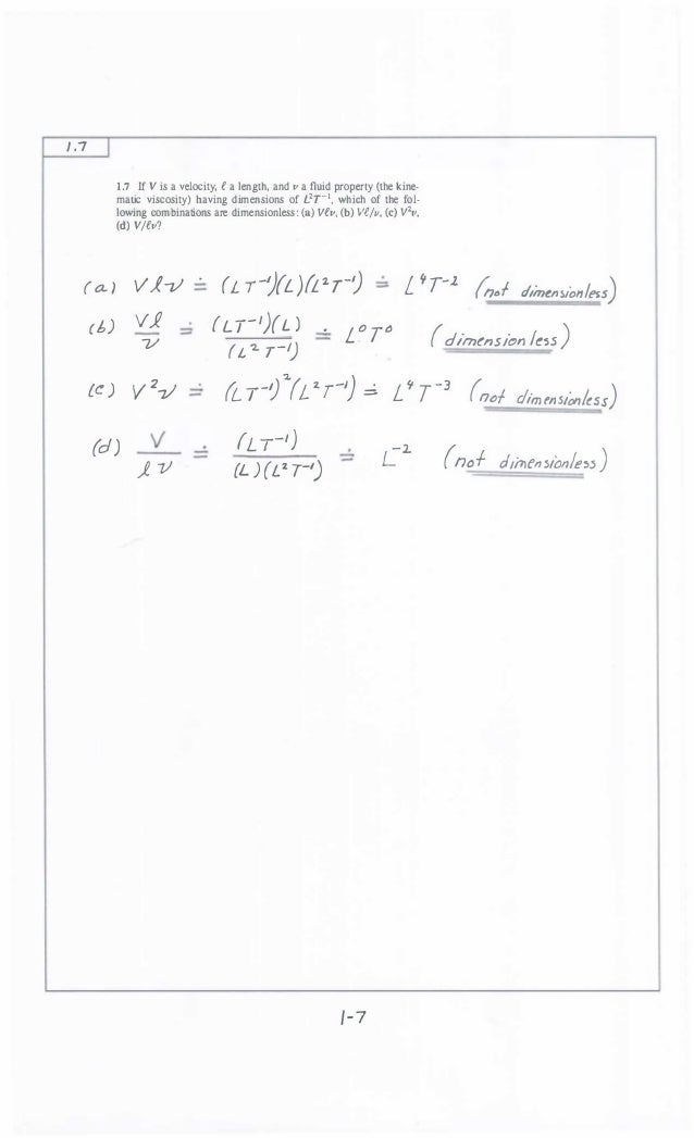
Solution Fm Manual Uploaded By

Over Ons Hc Groep Uw Partner Voor Binnenklimaattechniek

Stipules Structure In Studied Vicia Species A V Amoena B V Download Scientific Diagram
1 Vytah

Evsjvk I Wekcwi Pq Kvm V Mzg Rvev

Army List Yn O A Miss K S Emmerson G L M Vv Emmett 1 A G J H H G W H Emms Vv J Emonson K Gt Irnpson