
New 21 Polaris 850 Pro Rmk 163 Crossover Snowmobile Po3669 Ridenow Powersports

Wave Breaking Dissipation In A Young Wind Sea In Journal Of Physical Oceanography Volume 44 Issue 1 14

Random Multi Scale Kernel Based Bayesian Distribution Regression Learning Sciencedirect
Rmk Xlpazbg のギャラリー

Polaris Rmk 800 Graphic Ebay

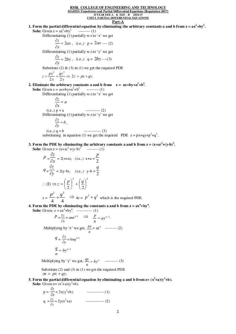
Ma53 Tpde

Dimer Interface Of The Effector Domain Of Non Structural Protein 1 From Influenza A Virus Journal Of Biological Chemistry

Rcsb Pdb 3rmk Toluene 4 Monooxygenase H With 4 Bromophenol

Jmse Free Full Text Effects Of Ethinylestradiol Ee2 And An Organophosphorus Flame Retardant Tcpp On Gonadal Maturation In The Sea Urchin Paracentrotus Lividus Html

Random Multi Scale Kernel Based Bayesian Distribution Regression Learning Sciencedirect

Remote Sensing Free Full Text Multiscale Weighted Adjacent Superpixel Based Composite Kernel For Hyperspectral Image Classification Html

Comprehensive Multivariate Correlations Between Climatic Effect Metabolite Profile Antioxidant Capacity And Antibacterial Activity Of Brazilian Red Propolis Metabolites During Seasonal Study Scientific Reports

Severeyns High Resolution Stock Photography And Images Alamy

Comparative Host Coronavirus Protein Interaction Networks Reveal Pan Viral Disease Mechanisms Science

Polaris Pro Rmk 850 Ebay

Polaris Jetting Chart Crian

Bioanalysis In Single Cells Current Advances And Challenges

Piperine Suppresses The Wnt B Catenin Pathway And Has Anti Cancer Effects On Colorectal Cancer Cells Scientific Reports

25 Word Search Printables Ideas Word Search Printables Free Printable Word Searches Word Find

Polaris Axys Rmk Tunnel Wrap Ebay

Electronic And Optical Properties Of Pure And Modified Diamondoids Studied By Many Body Perturbation Theory And Time Dependent Density Functional Theory The Journal Of Chemical Physics Vol 141 No 6

Polaris Rmk Graphic Ebay

Characterization Of A Subset Of The Basic Helix Loop Helix Pas Superfamily That Interacts With Components Of The Dioxin Signaling Pathway Sciencedirect

Electronic And Optical Properties Of Pure And Modified Diamondoids Studied By Many Body Perturbation Theory And Time Dependent Density Functional Theory The Journal Of Chemical Physics Vol 141 No 6

A Weak Topological Insulator State In Quasi One Dimensional Bismuth Iodide Nature

Electronic And Optical Properties Of Pure And Modified Diamondoids Studied By Many Body Perturbation Theory And Time Dependent Density Functional Theory The Journal Of Chemical Physics Vol 141 No 6

History Matching Under Uncertain Geologic Scenarios With Variational Autoencoders Earthdoc

Ce6451 Fluid Mechanics And Machinery Unit Iii Notes

Remote Sensing Free Full Text Multiscale Adjacent Superpixel Based Extended Multi Attribute Profiles Embedded Multiple Kernel Learning Method For Hyperspectral Classification Html

Electronic And Optical Properties Of Pure And Modified Diamondoids Studied By Many Body Perturbation Theory And Time Dependent Density Functional Theory The Journal Of Chemical Physics Vol 141 No 6

Bg A Global End Member Approach To Derive Acdom 440 From Near Surface Optical Measurements

Assigning The Absolute Configuration Of Single Aliphatic Molecules By Visual Inspection Nature Communications

Electronic And Optical Properties Of Pure And Modified Diamondoids Studied By Many Body Perturbation Theory And Time Dependent Density Functional Theory The Journal Of Chemical Physics Vol 141 No 6

Cell Type Specific Profiling Of Brain Mitochondria Reveals Functional And Molecular Diversity Nature Neuroscience

Hypoxia Induced Alternative Splicing The 11th Hallmark Of Cancer Journal Of Experimental Clinical Cancer Research Full Text

Polaris Rmk Graphic Ebay

Chemometric Differentiation Of Oil Families And Their Potential Source Rocks In The Gulf Of Suez Springerlink

Remote Sensing Free Full Text Monitoring The Foliar Nutrients Status Of Mango Using Spectroscopy Based Spectral Indices And Plsr Combined Machine Learning Models Html

B Rwk2y9rs6ymm

Follicular Regulatory T Cells Produce Neuritin To Regulate B Cells Sciencedirect

The Pro Apoptotic Function Of Death Associated Protein Kinase Is Controlled By A Unique Inhibitory Autophosphorylation Based Mechanism Journal Of Biological Chemistry

Rmk Beauty Lookfantastic Us

Rmk Beauty Lookfantastic Us

Cancers Free Full Text Hypoxia Induced Cancer Cell Responses Driving Radioresistance Of Hypoxic Tumors Approaches To Targeting And Radiosensitizing Html
Polaris 800 Pro Rmk For Sale 13 Listings Tractorhouse Com Page 1 Of 1

A Sars Cov 2 Protein Interaction Map Reveals Targets For Drug Repurposing Nature

A Weak Topological Insulator State In Quasi One Dimensional Bismuth Iodide Nature

Me6603 Finite Element Analysis Unit Ii Notes And Question Bank

Hypoxia Induced Alternative Splicing The 11th Hallmark Of Cancer Journal Of Experimental Clinical Cancer Research Full Text

Reduced Clot Stability By Thromboelastography As A Potential Indicator Of Procedure Related Bleeding In Decompensated Cirrhosis Zanetto Hepatology Communications Wiley Online Library

Molecules Free Full Text Applications Of Photoinduced Phenomena In Supramolecularly Arranged Phthalocyanine Derivatives A Perspective Html

Polymer Mechanochemistry Enabled Pericyclic Reactions Polymer Chemistry Rsc Publishing Doi 10 1039 C9pye

Polaris Shock Spring Rmk Ebay

New 21 Polaris 850 Pro Rmk 163 Crossover Snowmobile Po Ridenow Powersports

Exo B N Acetylmuramidase Namz Of Bacillus Subtilis Is The Founding Member Of A Family Of Exo Lytic Peptidoglycan Hexosaminidases Biorxiv

Orbital Angular Momentum Dichroism In Nanoantennas Communications Physics

Frontiers Should Root Plasticity Be A Crop Breeding Target Plant Science

Ijms Free Full Text Diversity And Antimicrobial Activity Of Endophytic Fungi Isolated From Chloranthus Japonicus Sieb In Qinling Mountains China Html

Rmk Stickers Ebay

Intestinal Microbiota Metabolism Of L Carnitine A Nutrient In Red Meat Promotes Atherosclerosis Nature Medicine

Characterization Of Two Alternative Splice Variants Associated With The Arabidopsis Rhomboid Protein Gene At1g

mwipzvsvqu M

Cd27 And Cd40 Inhibit P53 Independent Mitochondrial Pathways In Apoptosis Of B Cells Induced By B Cell Receptor Ligation Journal Of Biological Chemistry

Rmk Beauty Lookfantastic Us

A Weak Topological Insulator State In Quasi One Dimensional Bismuth Iodide Nature
Unveiling Localized Pt P N Bonding States Constructed On Covalent Triazine Based Frameworks For Boosting Photocatalytic Hydrogen Evolution Journal Of Materials Chemistry A Rsc Publishing

J Compos Sci Free Full Text Damage Detection In Glass Epoxy Laminated Composite Plates Using Modal Curvature For Structural Health Monitoring Applications Html

A New Statistical Method For Detecting Trend Turning Springerlink

Polaris Rmk 800 Graphic Ebay
Polaris Jetting Chart Crian

Polymer Mechanochemistry Enabled Pericyclic Reactions Polymer Chemistry Rsc Publishing

Remote Sensing Free Full Text Multiscale Adjacent Superpixel Based Extended Multi Attribute Profiles Embedded Multiple Kernel Learning Method For Hyperspectral Classification Html

Lc Hrms And Acetylcholinesterase Affinity Assay As A Workflow For Profiling Alkaloids In Annona Salzmannii Extract Sciencedirect

Channel Coding Springerlink

Bright Magnetic Dipole Radiation From Two Dimensional Lead Halide Perovskites Science Advances

Bioanalysis In Single Cells Current Advances And Challenges

9m 2443 Hardware Reference Datasheet By Digi Digi Key Electronics

Geochemical Characterization Of The Hydrous Pyrolysis Products From A Recent Cyanobacteria Dominated Microbial Mat
Birmingham Dogs Home Photos Facebook

Random Multi Scale Kernel Based Bayesian Distribution Regression Learning Sciencedirect

The First G Carboxyglutamic Acid Containing Contryphan A Selective L Type Calcium Ion Channel Blocker Isolated From The Venom Of Conus Marmoreus Sciencedirect

04 Polaris 550 Pro X Fan Snowmobile Service Repair Manual

Frontiers Targeting Glutaminolysis New Perspectives To Understand Cancer Development And Novel Strategies For Potential Target Therapies Oncology