
The Minimum Value Of Z Z 1 Z 2 Is Youtube
Exercise 1 Consider A Linear Operator L C3 Chegg Com

Pdf A Truncated Taylor Series Algorithm For Computing The Action Of Trigonometric And Hyperbolic Matrix Functions
C Tbv Z のギャラリー

Ex 1 4 2 Determine Whether Is Commutative Class 12 Ncert

Exponentiation Wikipedia

Misc 21 Prove That If A Plane Has Intercepts A B C P From

1 Z C Of Three Types Of Bi 2 Te 3 Based Materials Which Were Corrected Download Scientific Diagram

M 427l Lecture Notes Fall 19 Lecture 10 Unit Vector

Calculate Z And V For Ethylene At 25 C And 12 Bar By The Following Equations A The Truncated Brainly Com

If C2 Ab Cd And B2 D2 Are In Continued Proportion Prove That A B C And D Are In Proportion Mathematics Topperlearning Com Uqmqst11

If X A Y B Z C Then Show That X 3 A 3 X 2 A 2 Y 3 B 3 Y 2 B 2 Z 3 C 3 Z 2 C 2 Youtube
If Ay Bx C Cx Az B Bz Cy A Then How Will You Prove That X A Y B Z C Quora

Rd Sharma Class 9 Chapter 5 Factorization Of Algebraic Expressions Free Pdf
Solved 4 Let S X Y Z R 2 Y2 X2 1 The Chegg Com

Solved 5 M 13 Pts Evalunto The Following Line Integr Chegg Com

Altgr Key Wikipedia

Solved Answer All Questions 1 A 3 Phase Star Connected U Chegg Com

Expand The Following 1 4a B 2c 2 3a 5b C 3 X 2y 3z Brainly In

Ex 4 2 11 By Using Properties Of Determinants Show That I

If A Cos Theta B Sin Theta Equal To C Then Prove That Sin Theta Minus B Cos Theta Equal To Plus Brainly In
Solved Exercise Write To Functions X T Y T T Para Chegg Com

Correlations Between The Octahedral Ionic Radii 26 Of M 2 And Reduced Download Scientific Diagram

Answered A Suppose W D Z 9 Ip Z V Bartleby

Coefficients In Equation 1 B O T Oa B 2 G And Equation 3 T 1 R Download Scientific Diagram

Removing The Parameter In Parametric Equations Example 2 Video Khan Academy

The Velocity Of A Body Is Given By V At Bt C If V And T Are Expressed In Si Units What Are Brainly In

Fractional Atomic Coordinates And Isotropic Or Equivalent Isotropic Download Scientific Diagram

Each Ball Has A Negligible Size And A Mass Of 10 Kg And Is Attached To The End Of A Rod Whose Mass May Be Neglected If The Rod Is Subjected To

Solved U 2 C 2 V 2 2 4 3x 7 C X Conti Dx Xl Usx Chegg Com

If X A Sec Theta Cos Phi Y B Sec Theta Sin Phi And Z C Tan Theta Show X 2 A 2 Y 2 B 2 Brainly In
What Is The Formula For A B C Quora

If A X B Y C Z And B 2 Ac Prove Y 2x X Z Brainly In

List Of Unicode Characters Wikipedia

Rd Sharma Solutions For Class 7 Maths Chapter 7 Algebraic Expressions Download Free Pdf

Formation Of Differential Equation Y C X C 2 And C Y C 2 X 3 Constant Coefficients Youtube

Homework Assignment 7 Dynamics 0 Cartesian Arti Chegg Com

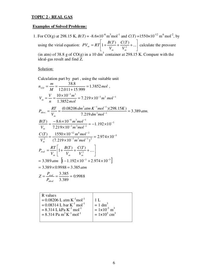
Topic 2 Kft 131

If X Iy Sqrt A Ib C Id Then Prove That X 2 Y 2 A 2 B 2 C 2
If A X B Y C Z And B 2 Ac Then What Is The Value Of Y Quora

Fractional Atomic Coordinates And Isotropic Or Equivalent Isotropic Download Scientific Diagram

If X Y 3a B Y Z 3b C Z X 3c A Then Prove That X Y Z A B C Ax By Cz A 2 B 2 C 2 Brainly In

Challenging Complex Numbers Problem 1 Of 3 Video Khan Academy
If A X B Y Ac And C Z Ab How Would You Prove That X Y Z 2 Xyz Quora
Velocity Addition Formula Wikipedia
Solved X Z Let D Be The Solid Bounded By The Ellipsoi Chegg Com

The Number Of Solutions Of The Equation Im Z 2 0 Z 2 Is Youtube

If A 2 B 2 C 2 1 Then Ab Ca Lies In The Interval Youtube

Coefficients In Equation 1 B O T Oa B 2 G And Equation 3 T 1 R Download Scientific Diagram

Distributed Network Utility Maximization In Multi Hop Wireless Networks Noisy Feedback Lossy Channel And Stability Junshan Zhang Department Of Electrical Ppt Download
A Impedance Z Of Ti 3 C 2 Film Measured At 100 Hz During Exposure Download Scientific Diagram

How To Expand Using The Identity A B C 2 B2 C2 2ab 2bc 2ca Youtube

Factorise The Following Expressions I A 2 8x 16 Ii P 2 10p 2

Find The Product X Y Z X 2 Y 2 Z 2 Xy Yz Zx Youtube

If A X B Y C Z And B 2 Ac Then Prove That 1 X 1 Z 2 Y Please Show The Steps And Don T Use Brainly In

The Value Of Expression X 4 8x 3 18 X 2 8x 2 When X 2 Sqrt 3 A
C A S P A M Literary Council Clc Posts Facebook
Solved First Picture Is Question 3 That Is Needed To Answ Chegg Com
Velocity Addition Formula Wikipedia

Ncert Class 9 Maths Lab Manual Verify The Algebraic Identity A B C A B C 2ab 2bc 2ca Cbse Tuts

6 In 8 In 8 22 Assuming That The Magnitudes Of The Forces Applied To Disks A Homeworklib
Verify G D T For Vector F X 2 Yz Vector I Y 2 Zx J Z 2 Xy K Taken Over The Rectangular Parallelepiped 0 X A 0 Y B

Velocity V Is Given By V At 2 Bt C Where T Is Time What Are Th
What Is The Formula For A B C Quora

最も選択された Y Io Tcy Tbv 人気の新しい壁紙無料xhd

印刷 C Q 良い最高の壁紙無料thd
If A X B Y C Z And B 2 Ac Then What Is The Value Of Y Quora

Uv Vis Absorption Spectra For All The Ligands A And The Corresponding Download Scientific Diagram

Extraneous Solutions Video Equations Khan Academy

Pdf The Crystal Structure Of Benzyl 3b Acetylglycyrrhetate C39h54o5
If A X B Y C Z And B 2 Ac Then What Is The Value Of Y Quora
Square Root Wikipedia

Pdf Crystal Structure Of 2 2 Pyridyl Imidazole C8h7n3
What Is The Formula For A B C Quora

Misc 16 Solve Equations 2 X 3 Y 10 Z 4 4 X 6 Y 5 Z 1

Let A B In R And A 2 B 2 Ne 0 Suppose S Z In C Z

Partial Differential Equations

Pdf Autonomous Functionals With Asymptotic P Q Structure

Solved Answer All Questions 1 A 3 Phase Star Connected U Chegg Com

Page 95 贸促新观察16

Misc 15 If X A 2 Y B 2 C2 Prove 1 Dy Dx 2 3 2
What Is The Formula For A B C Quora

Ladder Problems

If A 2 B 2 C 2 X 2 Y 2 Z 2 Ax By Cz 2 Then Show That X A Y B Z C Youtube
Let B X Y Z E R3 V X2 Y2 Z2 0 Assume Chegg Com

Algebra Formula Definition Formulas And Examples

Ladder Problems

If X Cy Bz Y Cx Az Z Bx Ay The Value Of A B 2 C 2 1 Is Youtube

If A Y Z B Z X C X Y Then Prove That A B C Y 2 Z 2 B C A Z 2 X 2 Youtube

Simplify A 2 B 2 3 B 2 C 2 3 C 2 A 2 3 A B 3 B C 3 C A 3

Find The Relative Error In Z If Z A 4 B 1 3 Cd 3 2 And

Ncert Class 9 Maths Lab Manual Verify The Algebraic Identity A B C A B C 2ab 2bc 2ca Cbse Tuts
Simplify I A B C 2 A B C 2 Ii A B C 2 A B C 2 Sarthaks Econnect Largest Online Education Community

Relativity Outline Special Relativity What Is Special Relativity
If X B C Y C A Z A B Then How Do You Prove That B C X C A Y A B Z 0 Quora

Find The Equation Of The Sphere Which Touches The Sphere X 2 Y 2 Z 2 2x 6y 1 0 At 1 2 2 Youtube

If The Roots Of The Equation B2 X2 2 Ac X C2 D2 0 Are Equal Prove That A Brainly In