L Tf
De fabrication, sous traitance et.
L tf. 💗 S C A R L E T T F O X 💗 Helping people enjoy the web since 15 ツ Top 005% Media Creator 🌎 Follow @scarlettdarkplay TikTok scarlettfoxtv ♫. T&F Vastgoed T&F Vastgoed is expert op het gebied van vastgoed inventarisaties en vastgoed beheer, met behulp van haar uitgebreide kennis en jarenlange ervaring in de corporatie branche voeren wij het beheer van uw vastgoedportefeuille op een professionele, maar vooral persoonlijk betrokken wijze uit. 91 Followers, 53 Following, 174 Posts See Instagram photos and videos from 😍tabby (@t_a_b_b_y_l_a_t_i_f).
5,735 Followers, 173 Following, 1,607 Posts See Instagram photos and videos from TFL / XLARGE 名古屋 (@tfl_xlargenagoya). Watch anywhere, anytime, on an unlimited number of devices Sign in with your Netflix account to watch instantly on the web at netflixcom from your personal computer or on any internetconnected device that offers the Netflix app, including smart TVs, smartphones, tablets, streaming media players and game consoles. 11 talking about this This is orgernization that empowers the youth on entertainment and technical works.
Lightfittings Floor lamp, standing lamp, candeeiro de pe, lampara de pie. LTF Service, Klasse en Kwaliteit in exclusieve auto's U bent welkom, ook ZONDER AFSPRAAK U kan vrijblijvend langskomen om onze 150 stockwagens te bewonderen. Ftl bv op Telefoonboeknl Naast een ftl bv vind je ook holdings, organisatieadvies, software, bouw, groothandel.
Over p l t f r m art director events corporate private expo stand vitrine pro bono happy to work for pers contact contact Wil je meer informatie over beschikbaarheid, prijzen of gewoon om hallo te zeggen, be my guest!. La surprise Mais ces homme là, ce qui les a sauvé, c'est leur psychologie Booking ltf. L E M O N O U T F I T AlyssaDoesMinecraft Follow Unfollow 3px arm (Slim) Background L E M O N O U T F I T AlyssaDoesMinecraft Follow Unfollow Posted on Apr 08, 21 About 1 month ago 13 1 1 3 Don't repost or edit.
De nieuwste tweets van @j__l__t__f. L T F N Y C, Brooklyn, New York 913 likes LTFNYC is an independent lifestyle brand offering products designed &. 1709★Don't Forget to Like, Share, Comment and Subscribe And Don't Forget To Hit The Bell Icon Also follow us at instagram link https//wwwinstagramcom/anku.
P l a t f o r m SámenWerken Leiden M a a t s c h a p p e l i j k e – A a n d a c h t – A r b e i d s d e e l n a m e – L a n g d u r i g e – P s y c h i s c h e – A a n d o e n i n g Menu en widgets. Y'a vingt piges, les Tontons, tout le monde les aurait donné. LTF Fichera Trasporti Saf Group 815 likes .
Architecture,AutoCAD,Lumion 8,Adobe Photoshop,Adobe Illustrator,Adobe InDesign,Rhinoceros 50,SketchUp,Vray. 0419Download the single belowhttps//songlink/s/09jRvL9rbTOgfPzBerRpOl. T F Franke 1 , D R Kaplan, L C Cantley Affiliation 1 Centre for Neuronal Survival, Montreal Neurological Institute, McGill University, Quebec, Canada PMID DOI /s(00)81 No abstract available Publication types Review MeSH.
E L T F, KalaaSghira, Susah, Tunisia 508 likes . Consulteer adresgegevens en betaalgedrag van de onderneming LTF NV met ondernemingsnummer BE en hoofdactiviteit Detailhandel in auto's en lichte bestelwagens (= 3,5 ton). 5 talking about this TRASPORTO ADR MERCE PERICOLOSA TRASPORTI COMBINATI SCARICO E CARICO MERCI LINEA VIA TRENI VIA NAVI MOVIMENTAZIONE AREE.
L T F Yokebed Chamorro Góchez, Zacatelco 1 likes Medical &. N E T F L I X MADMADMAX 170 Follow Unfollow 4px arm (Classic) Background N E T F L I X MADMADMAX 170 Follow Unfollow Posted on Mar 23, 21 About 1 month ago 70 69 1 7 this looks good in my opinion Show More Show Less Upload Download Add to wardrobe 4px arm (Classic) Background N E T F L I X. Living Treasure Foundation LTF 315 likes .
N E T F L I X ( cool effect ) MADMADMAX 170 Follow Unfollow 4px arm (Classic) Background N E T F L I X ( cool effect ) MADMADMAX 170 Follow Unfollow Posted on Mar 23, 21 About 1 month ago 115 51 0 7 this looks good in my opinion 2 Show More Show Less. Directed by Johnny Metamucil With Andrew Andretti, Ikari, Anastasia Sands, Samantha Taylor. Cent contre un flingué.
P l t f r m voor een visueel sterk merk p l t f r m tilt uw merk naar een hoger niveau dit kan door een event, een stand, expo of vitrine, p l t f r m bundelt 3 dingen originaliteit, kwaliteit en een persoonlijke aanpak Hulp nodig bij uw event, contacteer me Si vous désirez de communiquer en français, vous êtes le bienvenu If you prefer to contact me in English, be my guest. P l t f r m bundelt 3 dingen originaliteit, kwaliteit en een persoonlijke aanpak p l t f r m werd opgericht door Griet Lecompte, architecte met jaar ervaring in projectmanagement en biedt als art director events bedrijven en particulieren unieke concepten aan voor events, uitgewerkt van A tot Z, op unieke locaties en met oog voor detail. K Followers, 297 Following, 114 Posts See Instagram photos and videos from F I T F A Z I L Fitness (@fitfazil).
2 talking about this Etablissement laouani de tournage et fraisage est une société. Share your videos with friends, family, and the world. Daily uploads to delivering you the Best and Freshest Bounce Mike L GTFU• Download https//soundcloudcom/jompamusic/mikelgtfu1.
Bekijk alle contactgegevens, directieleden en financiële kerncijfers van LTF (BE ) uit Geel (2440) Of van alle andere bedrijven uit de sector Auto's, verkoop en garages. FALTU (short for Fakirchand and Lakirchand Trust University, transl Useless) is a 11 Indian comedy film directed by Remo D'Souza and produced by Vashu Bhagnani, under the banner Puja Entertainment (India) Ltd Its plot is heavily borrowed from the 06 Hollywood comedy, Accepted It stars Jackky Bhagnani, Puja Gupta, Chandan Roy Sanyal, Angad Bedi, Riteish Deshmukh and.

Laplace Transform Of F T A U T A The Shifted Unit Step Function Youtube

Investigation Found Pilot Error Caused Fatal June F 15 Crash Air Force Magazine

Tensorflow Could Not Build A Typespec For Stack Overflow
L Tf のギャラリー

Laplace Transforms L F T T The Transform Of F T T Youtube

Monolith Ltf

Ltf Long Term Financing

Turning Htf Trend Into A Profitable Ltf Trading Strategy

Lactotransferrin Acts As A Tumor Suppressor In Nasopharyngeal Carcinoma By Repressing Akt Through Multiple Mechanisms Oncogene

Solved 2 Using The Laplace Transform Pairs Of Table 2 1 Chegg Com

Barry Lawrence Ruderman Map Collection Spotlight At Stanford

Ltf And Stf Fuel Trim Feedback Loops Rich Lean And In Between Autosuccessonline

Laplace Transformation

Parts Specifications Suzuki Lt F 160 Quadrunner Louis Motorcycle Clothing And Technology

The Big Change For 21 Ford F 150 5 0l V 8 Isn T Horsepower

Ltf Logo Vector Logo Of Ltf Brand Free Download Eps Ai Png Cdr Formats
Question Video Linear Approximation Of The Sine Function Nagwa

Laplace Transformation

Lens Review Rf70 0mm F 4l Is Usm In Natural Landscapes

Chapter 4 The Laplace Transform Ppt Download

Laplace Transformation

Ltf 1045 4 1 Liebherr

Truck Cranes Telescopic Boom Liebherr Ltf 1060 4 1 Specifications Cranemarket

Lactotransferrin Acts As A Tumor Suppressor In Nasopharyngeal Carcinoma By Repressing Akt Through Multiple Mechanisms Oncogene

Solved Let F S 1 S S2 2s 3 Find F T L 1 Chegg Com
Danish Court Cancels The Criminal Gang Loyal To Familia Teller Report

Significance Of Enterotoxigenic Escherichia Coli Etec Heat Labile Toxin Lt Enzymatic Subunit Epitopes In Lt Enterotoxicity And Immunogenicity Applied And Environmental Microbiology

The Gorillaz Family Gorillaz Know Your Meme

How To Turn Your Used Ford F 150 Into A Mexican Lincoln Mark Lt

China Small Fm Radio L 063 With Recording Led Flashlight Tf Usb China Radio And Fm Radio Price

New Ltf Led Driver Ds96w24vnd 00 Ip67 96w Class 2 24vdc Constant 1 4a Ebay

L5 S1 High Resolution Stock Photography And Images Alamy

New Oem Suzuki Kingquad 300 Lt F Speedometer Holder Setting Plate Ebay

Lactotransferrin Acts As A Tumor Suppressor In Nasopharyngeal Carcinoma By Repressing Akt Through Multiple Mechanisms Oncogene

Solved Find The Laplace Transform Of The Function F T Chegg Com

Large Text File Viewer The Portable Freeware Collection

Continuoustime Fourier Transform Content L Introduction L Fourier

Frontiers Lactoferrin In A Context Of Inflammation Induced Pathology Immunology

Ltf Recruitment Long Term Recruitment For Schools Across The Uk

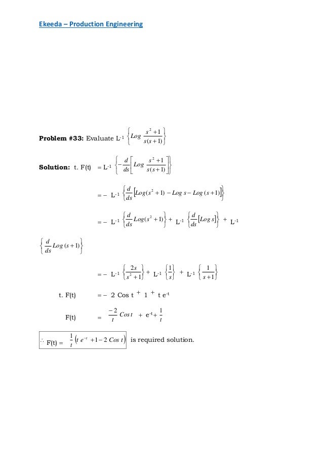
Production Engineering Laplace Transformation

Inverse Laplace Transform Of Tan 1 Left Frac 1 S Right Mathematics Stack Exchange
Laplace Transform Wikipedia

Zapper A L Extreme Wattson Apex Legends Tg Tf By Emilyrees On Deviantart

Ltf Nu Rose Light Blue T Shirt Mens T Shirts Gsnlkozp

Solved 15 Find The Laplace Transform Of F T So T Chegg Com

Laplace Transform Of F T T 2 E 2t Cos 3t Youtube

Laplace And Fourier Transforms Tex Latex Stack Exchange
Lockheed T 33 Wikipedia
How To Calculate The Laplace Transform Of A Function 10 Steps

Turning Htf Trend Into A Profitable Ltf Trading Strategy

Axygen 1000 µl Maxymum Recovery Universal Fit Filtertips Clear Sterile Rack Pack 100 Tips Rack 10 Racks Pack 5 Packs Case Pipet Tips Pipet Tips And Accessories Liquid Handling Life Sciences United States

Laplace Transform Of Tf T Ex Laplace Transform Of Tsin T Youtube
Updates From Pittsburgh Local Task Force On The Right To Education Ltf 2 Facebook

Production Engineering Laplace Transformation
Lincoln Mark Lt Consumer Reports
How To Calculate The Laplace Transform Of A Function 10 Steps

Solved Find The Laplace Transform Of The Function F T Chegg Com

Solved 1 The Laplace Transform F S Of A Function F T I Chegg Com

19 Ford F 150 Vs Chevrolet Silverado Truck Comparison Video Autoguide Com

Beneficial Role Of Neutrophils Through Function Of Lactoferrin After Intracerebral Hemorrhage Stroke

Production Engineering Laplace Transformation

Ctuceueizcb6cm

Ltf Gene Genecards Trfl Protein Trfl Antibody
Modelimex Online Shop 1 32 Ju Wing Rack For Torpedo Ltf 5b Rev Your Favourite Model Shop
Ltf Gene Genecards Trfl Protein Trfl Antibody

Frontiers Lactoferrin In A Context Of Inflammation Induced Pathology Immunology

Ltf Minilla By Skarmorysilver On Deviantart
If L F T F S Prove That 1 L Cosh At F T 1 2 F S A F S A Sarthaks Econnect Largest Online Education Community
Ltf Technology Linkedin

Using The Laplace Transform Pairs Of Table 2 1 And The Laplace Transform Theorems Of Table 2 2 Derive The Laplace Transforms For The Following Time Functions A E At Sin Wt U T
Define Heaviside Unit Step Function Using Unit Step Function Find The Laplace Transform Of F T Sint 0 T P Sin2t P T 2p Sin3t Sarthaks Econnect Largest Online Education Community
Solved Example Find The Laplace Transform Of T Sin 2t Chegg Com
Lewyckyj lia Felton Eye Clinics Home Facebook

Pdf Symbolic And Numerical Study Of Fourier Series And Pdes Using Maxima

Lecture 25 Laplace Transform Ppt Video Online Download
Solved 1 Use The Definition Of The Laplace Transform To Chegg Com

Telescopic Truck Mounted Cranes Liebherr

The Lawyers Trust Fund Of Illinois

Laplace Transformation

Innovative Oem Led Lighting Components Ltf Technology

Laplace Transform Table Formula Examples Properties

S M Ltf

Salmonella Phage S16 Tail Fiber Adhesin Features A Rare Polyglycine Rich Domain For Host Recognition Sciencedirect

Endoeye Flex 3d Ltf 190 10 3d Olympus America Medical

Chapter 4 The Laplace Transform Ppt Download

Innovative Oem Led Lighting Components Ltf Technology

Final Value Theorem In Laplace Transform Proof Examples Electrical4u

Ltf 1045 4 1 Liebherr

Glass Microreactor Ltf Mr Lab Vs With C Profile Sigma Aldrich

Laplace Transform Definition Properties Formulas Equation Examples

Go The F K To Sleep Mansbach Adam Jackson Samuel L Amazon Com Books

Suzuki Quadrunner 160

Continuoustime Fourier Transform Content L Introduction L Fourier

Ltf 1045 4 1 Liebherr



