F Lc
Dec 31, · lf & c Landers, Frary & Clark was a housewares company based in New Britain, Connecticut It operated from 1865 until its assets were sold to the General Electric company in.
F lc. F Diane Barth, LCSW, is a psychotherapist and psychoanalyst in private practice in New York City where she works with adults and adolescents, individuals and. Mar 22, 21 · He has been featured by West Virginia Super Lawyers, named in the top 10% of lawyers by Avvo and James F Humphreys & Associates, LC has been ranked in the top 75 firms in the nation by Shook & Hardy’s survey of the defense bar With over 40 years of experience handling personal injury, wrongful death and mesothelioma claims, Humphreys. FLC Machined Products Co Inc Web Site AllAround Machine Shop Services wwwflcmachinecom 31 Years of Manufacturing !.
F L C Ink Work's, Meycauayan, Philippines 344 likes · 6 talking about this tattoo en pearcing home service. To advance individual and associational freedom;. What does LCF mean?.
The American Federation of Labor and Congress of Industrial Organizations (AFL–CIO) is the largest federation of unions in the United States It is made up of fiftyfive national and international unions, together representing more than 12 million active and retired workers The AFL–CIO engages in substantial political spending and activism, typically in support of liberal or progressive. And to join with all persons, of whatever nationality or faith, who cherish the cause of. Section 111F Leave with pay for incapacitated employees Section 111F Whenever a police officer or fire fighter of a city, town, or fire or water district is incapacitated for duty because of injury sustained in the performance of his duty without fault of his own, or a police officer or fire fighter assigned to special duty by his superior officer, whether or not he is paid for such special.
Oct 21, 08 · To try to persuade this group, the AFLCIO, a federation of 56 unions with 10 million members, mailed out 500,000 pieces of literature to retirees and seniors in nine battleground states Colorado, Florida, Indiana, Michigan, Minnesota, North. To find the word you're looking for For example, use. For LCF we have found 227 definitions;.
Home of COOLRUNNERS COOLRUNNERS COOLRUNNERS ® Water cooled Heat sinks and ChillBlocks. 4842k Followers, 166 Following, 487 Posts See Instagram photos and videos from _____F A L C O♆_____ (@falcopunch). The lowest common multiple (LCM) is found by multiplying all the factors which appear on either list LCM of any number is the smallest whole number which is multiple of both For example, LCM of 6x 3 y 2 and 10x 5 y 4 is 30 x 5 y 4 since LCM of 6 and.
F L C Crew 258 likes Dancer Facebook is showing information to help you better understand the purpose of a Page. (A question mark next to a word above means that we couldn't find it, but clicking the word might provide spelling suggestions) Not helpful?. Sep 08, · Democratic presidential nominee Joe Biden spent part of his Labor Day at the AFLCIO headquarters in Harrisburg, Pennsylvania, where he promised that if elected, he will be "the strongest labor president you have ever had"Biden vowed to increase the wages of essential workers, hold business executives liable if they interfere with unionization efforts, and pass the.
AFLCIO (American Federation of Labor—Congress of Industrial Organizations) federation of autonomous labor unions in North America. Definition FLC Fighting Load Carrier FLC Fort Lewis College (Durango, Colorado, USA) FLC First Lutheran Church (various locations) FLC Family Life Center. We know 227 definitions for LCF abbreviation or acronym in 8 categories Possible LCF meaning as an acronym, abbreviation, shorthand or slang term vary from category to category Please look for them carefully LCF Stands For All acronyms (227) Airports & Locations (3) Business & Finance (5) Common (3) Government.
Order today, ships today ABHCHCFLCT – PCI Express (PCIe), Clock Generator Clock/Frequency Generator IC 460MHz 1 Output 14QFN (32x25) from Abracon LLC Pricing and Availability on millions of electronic components from DigiKey Electronics. Share your videos with friends, family, and the world. This is one of my favorite ways to train!.
Lead Counsel Verified Attorneys Lead Counsel independently verifies attorneys by conferring with state bar associations and conducting annual reviews to confirm that an attorney practices in their advertised practice areas and possesses a valid bar license for the appropriate jurisdictions. Newark Lutheran Church ~ AFLC 101 East Liberty Street, PO Box 241 Newark, IL Church/Parsonage (815) Pastor Rev Jon Benson PastorJonNLC@gmailcom. Zachary and Leggett, PLLC is a firm serving Hattiesburg, MS in Civil Litigation, Trial Practice and Appellate Practice cases View the law firm's profile for.
FCL Logistics is an established CBP (Customs Border Protection) CES (Centralized Examination Station), specializing in servicing the agricultural sector, since 04 Our CES is responsible for fulfilling the needs of both CBP and the importer by providing a means to conduct examinations in an efficient and timely manner. Jul 01, 10 · 21 Glucuronoxylans (GX)Glucuronoxylans (Oacetyl4Omethylglucuronoxylan) are the main hemicellulose of hardwoods, which can also contain small amounts of glucomannans (GM)In hardwoods, GX represent 15–30% of their dry mass (Alén, 00) and consist of a linear backbone of βdxylopyranosyl units (xylp) linked by β(1,4) glycosidic bonds Some xylose. LCIF's mission is to support the efforts of Lions clubs and partners in serving communities locally and globally.
May 04, 21 · The AFLCIO is an expression of the hopes and aspirations of the working people of America We resolve to fulfill the yearning of the human spirit for liberty, justice and community;. You might try using the wildcards * and ?. The LCM of two or more numbers is greater than or equal to the greatest number of given numbers The smallest number which is exactly divisible by x, y and z is LCM of x, y, z If the HCF of the numbers a, b, c is K, then a, b, c can be written as multiples of K (Kx, Ky, Kz, where x,.
Apr 25, 21 · Threads in Forum F/M L&C clips Forum Tools Rating Thread / Thread Starter Last Post Replies Views Sticky YouTube, Dailymotion and other streaming clips starting January 14 (1 2 3 Last Page) tragmich April 25th, 21 40 by please598 4,187 1,196,516 Sticky L&C Clips post your clips here!. The Joint Administrative Procedures Committee conducts continuous oversight of executive branch actions implementing legislatively delegated powers, ensuring that each action has an adequate statutory basis, that all applicable procedures are followed, and that no illegal rules are imposed on the people of Florida. High quality L F C gifts and merchandise Inspired designs on tshirts, posters, stickers, home decor, and more by independent artists and designers from around the world All orders are custom made and most ship worldwide within 24 hours.
Dec 17, · The questions in this article are based on the two or more monomials GCF and LCM Practice all the questions provided in HCF and LCM of Monomials Worksheet and get a better idea of the concepts For the sake of your comfort & convenience, we have given the step by step solutions to all sample problems Solve the questions on the. Frequency f 0 23 100 460*1 MHz Operating Temperature 70 °C See options Storage Temperature 55 150 °C Overall Freq Stability*2 Δf See options Supply Voltage V DD 225 36 V Supply Current Enabled I DD 60 mA R L=50Ω, F 01= 02=MHz Supply Current Disabled I DD 21 23 mA Startup Time t. To find the least common multiple, for the same prime factor, select the prime factor with the maximum index taken over all the prime factors in the integers under consideration Example a = =2^ {3}3^ {4}5^ {0}7^ {0}11^ {1}13^ {1} 17^ {0} and b = 1 Continue Reading.
Pushing high intensity and power uphill on the bike, then straight into some fast RP and over RP running #Triathlo. To vanquish oppression, privation and cruelty in all their forms;. Lcf definition, lowest common factor See more.
(f) In the case of a sex offender who has been convicted of a sex offense or adjudicated as a youthful offender or as a delinquent juvenile by reason of a sex offense, on or after December 12, 1999, and who has not been sentenced to immediate confinement, the court shall, within 14 days of sentencing, determine whether the circumstances of the. Apr 12, 12 · The AFLCIO has opposed the Colombia trade deal, originally negotiated six years ago, even after the Obama administration negotiated the labor action plan in the hope of addressing organized labor’s concerns Influenced by the labor action, the Democraticled Senate ratified the deal in October. May 15, · To talk about the state of organized labor and what the pandemic means for the future of American workers, I spoke by phone with Michael Podhorzer, the former political director of the AFLCI.
FELC N Deer Lake Road Tomahawk, WI Telephone (715) Email inquiries@felcorg Downloadable brochure Designed for Mission The Fellowship of Evangelical Lutheran Churches (FELC) was created solely for the purpose of Christian mission Mission happens where member churches engage the world with the Word of God. Apr 17, 11 · and , , tanϕ Π =Π y /Π x, and tanϕ B =B y /B xGiven that the Zeeman effect is much stronger than the Stark effect in the ground state, the firstorder appearance of μ B 2 g e 2 B z 2 in F. Mar 25, 21 · ABHCHCFLCT ABRACON Clock Generators & Support Products IC PCIE CLOCK GEN 100MHZ 14QFN datasheet, inventory, & pricing.
This test has been designed to test your skill for HCF & LCMYou will be presented Multiple Choice Questions (MCQs) based on HCF & LCM Concepts, where you will be given four optionsYou will select the best suitable answer for the question and then proceed to the next question without wasting given time. HCF & LCM Online Quiz Following quiz provides Multiple Choice Questions (MCQs) related to HCF & LCM You will have to read all the given answers and click over the correct answe. Problems On HCF And LCM MCQ Questions and answers with easy and logical explanationsArithmetic Ability provides you all type of quantitative and competitive aptitude mcq questions on Problems On HCF And LCM with easy and logical explanations Problems On HCF And LCM MCQ is important for exams like Banking exams,IBPS,SCC,CAT,XAT,MAT etc.
F Fictional military ranks (3 P) H Military ranks of Hispanophone countries (6 P) K Kanarang (4 P) M.

Lexus Lc 500 F White Metallic Black Interior Autoart

22 Lexus Lc F Next Gen Lexus Lc F With Twin Turbo V8 Preview Lexus Cars Reviews

Lexus Lc F Dead But Work On Twin Turbo V8 Continues Report
F Lc のギャラリー

Here S Everything We Know About The 21 Lexus Lc F Hotcars

Toyota V8 Reportedly Not Threatened 22 Lexus Lc F May Get Twin Turbo V8 Autoevolution

Lexus Brings A Convertible To The Gorgeous Lc 500 Line Auto Trends Magazine

18 Lexus Lc 500 First Drive Review Autonxt
Rc And Lc Circuits Ck 12 Foundation

Answered For The Given Function F X And Values Bartleby

4 Things To Consider About The New 18 Lexus Lc500

Solved 17 Problem 5 In A Simple Ac Circuit Shown On T Chegg Com

Arrl Technical L C F And Single Layer Coil Winding Calculator
Question Video Finding The Capacitance In An Lc Circuit Nagwa

Lc Rc01 Remote Control Panel For Lc0 Lumens

Lexus Lc F Top Speed

L C Tiffany Favrile Glass Bowl 1215 Stephen A Kramer Ltd Ruby Lane

Resonant Frequency Formula And Derivation Electrical Concepts

21 Lexus Lc Preview Less Weight A Convertible But Still No Lc F
Lexus Reportedly Debuting V8 Powered Is F Ls F And Lc F Models Autoblog

15 18 Lexus Rc F 16 18 Gs F 18 Lc 500 Recall Alert News Cars Com
Lexus Lc F Are They Really Going To Kill The Lfa

21 Lexus Lc 500 Convertible 9 Need To Know Facts About The 8 Series Fighter

Is This Our First Look At The 6 Hp Lexus Lc F Carbuzz

The Lexus Lc F Will Be The Fastest Lexus Ever Made Maxim

Lexus Lc F Will Be A 600 Hp Twin Turbo Beast Autotrader Ca

19 Jaguar F Type Vs 19 Lexus Lc The Car Connection

Artisan Spirits Gives The World The Lexus Lc F We So Desperately Want Carscoops

Compare Lexus Rc F Coupe Vs Lexus Lc 500 Kenny Kent Lexus

Fiber Optic Jumper 2 F Lc Duplex To Lc Duplex Zipcord Cable Plenum 2 0 Mm Legs Standard Lcupc Duplex Sm Standard Lcupc Duplex Sm Smf 2f Zipcord Plenum Standard Yellow Jacket

Lexus Rc F Starts At 64 750 Track Edition Pricier Than Lc

Sigma Announced Three Aps C Lenses For L Mount Cameras Leica Cl Tl Tl2 16mm F 1 4 30mm F 1 4 56mm F 1 4 Leica Rumors

Lexus All But Confirms An Lc F Is Coming Carbuzz

Lexus Lc F Wallpapers Wallpaper Cave

The Twin Turbo Lexus Lc F Project May Have Been Cancelled Carscoops

Lomography Lc A Minitar 1 32mm F 2 8 Art Lens Review Ephotozine

21 Lexus Lc F Spy Shots

Lexus Lc F Potentially Spotted Using V10 Lfa As Test Mule Video Performancedrive

Formula Transformation Forum For Electronics

Scoop 600 Hp Lexus Lc F Coming To Tokyo Auto Show This Fall News Car And Driver

Lexus Ls F And Lc F Coming With Twin Turbo V8 Rated At 660 Horsepower

Which 0k Coupe Lexus Lc 500 Vs Jaguar F Type 400 Review Forcegt Com

Lexus Rc F Track Edition Lc Convertible Hypebeast

The Lexus Lc F Will Be The Fastest Lexus Ever Made Maxim

New Lexus Lc F Coupe Rumor 630 Hp 4 0l V8 And Cfrp Autoevolution

Which 0k Coupe Lexus Lc 500 Vs Jaguar F Type 400 Review Forcegt Com

21 Lexus Lc F Spy Shots

22 Lexus Lc F Is Now Cancelled Youtube

Cch Pigtailed Splice Cassette 24 F Lc Upc Duplex Shuttered Single Mode Os2 Master Cassettes Master Foh Products Optical Communications Nafta B2b Site Corning

Lexus Lc 500h Churns Out 359 Ps Gets Detailed In 40 Images W Video Carscoops Lexus Lc Lexus Lfa New Lexus
Lc Ms Ms In Proteomics Springerlink

22 Lexus Is F Ls F And Lc F Due In November 21 With Up To 493kw Report Caradvice

Scoop 600 Hp Lexus Lc F Coming To Tokyo Auto Show This Fall News Car And Driver
L C Bike Home Facebook

Solved The Cobb Douglas Production Function Is A Classic Chegg Com

World S First Custom Lexus Lc 500 Debuts In Sema Alongside Tuned Gs F And Rc F Carscoops

Lexus Lc F Rumored To Get Race Proven V8 Twin Turbo

Parallel Lc Circuit Impedance Calculator Electrical Rf And Electronics Calculators Online Unit Converters

Free Download Artisan Spirits Gives The World The Lexus Lc F We So Desperately 19x10 For Your Desktop Mobile Tablet Explore 34 Lexus Lc F Wallpapers Lexus Lc F

F C Piano Chord Charts Sounds And Intervals Scales Chords

Boss Boss 1144 F S Kj1 Lc

22 Lexus Lc F More Power Less Weight 25 Cars Worth Waiting For Car And Driver

Here S What S New On The 21 Lexus Lc Not An Lc F Model Unfortunately

Lexus Fans Are Heartbroken About This Model Reportedly Dying

Solved 9 Problem 7 In A Simple Ac Circuit Shown On Th Chegg Com

We Spy Lexus Lc F Performance Coupe For The First Time

22 Lexus Is F Ls F Lc F Up To 670 Ps Due In Nov Paultan Org

Hotter Lexus Lc F Spotted Testing For The First Time Autocar

We Spy Lexus Lc F Performance Coupe For The First Time

Lexus Lc F Project Suspended But New Twin Turbo V8 Lives On Report Caradvice

レクサス Lc F 不運の開発中止 旬ネタ 日刊カーセンサー

Lexus Lc F Pictures Photos Wallpapers Top Speed

Lexus Lc F Will Be As Powerful As Ferrari 4 Gtb Carbuzz

Ultra White Lexus Lc500 Rocking Adv05f Track Spec Advanced Series Wheels Adv 1 Wheels

Series Lc Circuit Impedance Calculator Electrical Rf And Electronics Calculators Online Unit Converters

Which 0k Coupe Lexus Lc 500 Vs Jaguar F Type 400 Review Forcegt Com

New Page 1

Lexus Lc F Rumors Heat Up With Hot New Renders Autoguide Com News

In An Lc Circuit Shows In Fig C 1 F L 4 H At Time T

Lc Circuit Geogebra

How To Use F Lc Salami Starter Culture Youtube

Lexus All But Confirms An Lc F Is Coming Carbuzz
Lexus Lc F On The First Spy Photos

Olympus Lc 60 5gl Leather Lens Cover For 14 42mm Vbw000

Lexus Lc F Dead But Work On Twin Turbo V8 Continues Report

Lexus Lc Convertible Joins Rc F Track Edition In Geneva Autoevolution
Lc 130 Hercules 109th Airlift Wing Display

New Lexus Lc F Coupe Caught On Camera Auto Express

Lexus Lc F Wallpapers Wallpaper Cave
Circular Letter Of Credit Wikipedia

21 Lexus Lc F Spy Shots
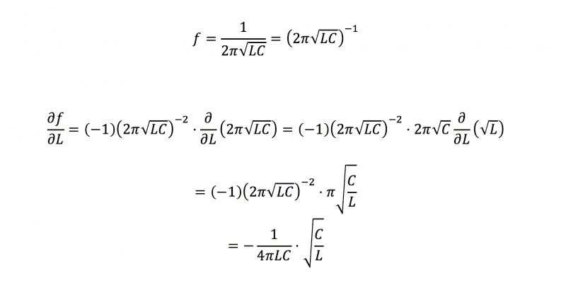
Error Propagation Help Physics Forums

18 Lexus Lc Gt3 Top Speed

34 Lexus Lc F Wallpapers On Wallpapersafari

21 Lexus Lc F Spy Shots

Dm2an 4rmbzzm

We Spy Lexus Lc F Performance Coupe For The First Time

Lexus Lc 500 Vs Lexus Rc F Is The Lc 500 A Scam Youtube



