F Snxw
O H I' ?y^4 1o "ˁJ u ɵ d B` ) ƅ 8 * 'ʼnF# Ыx j ?M { q ,!U O d w ̝N ;.
F snxw. Then a 100(1 − α )% CI for μ when n is large is ( x ¯ − z γ ⋅ s n , x ¯ z α − γ ⋅ s n ) The choice γ = α /2 yields the usual interval derived in Section 72;. Txt hdrsgml accession number conformed submission type 8k public document count 17 conformed period of report item information regulation fd disclosure item information financial statements and exhibits filed as of date date as. NOD3 en horizontallr kindleembed0004ƒ true , € íì¾ô ç@“@™@˜@œ@ @¦Ì ÉÍ Î bd8a95Ï } É Ë Ê y / 2400xMetamorphosis.
^ @d` @pb Apd C`f DÄh Dðj E l EHn Gðp Gør Q t. * 2ÚurÖermeidungêeglicherÍissverst ändn€heÄ€ÀK äuf darf€(sÅBookÁUSSCHLIESSLICHénä‚8obenõnt‚ Abschnitt 1âe€`rie€ð WeiseîutzenÅ. F w j ̑ a ^ x ` l ` s n x B e ̂ ߂ɐ 삳 ꂽ ͑ a 1/1 X P ̃ P Z b g B H ͖ U ~ B05 N ̂R A N U ܂ʼnf ̎B e Ɏg p ܂ B.
Definition 1 Let f(x) be a function on 0,∞) The Laplace transform of f is the function F defined by the integral F(s) = Z∞ 0 f(t)e−stdt The domain of F(s) is all the values of s for which integral exists The Laplace transform of f is denoted by both F and L{f} Notice, that integral in definition is improper integral Z∞ 0 f(t)e. W^h ߝ h,v# K@ M ̕ m. @ B f q ͂V P O f ŁA U @ \ t ̃ C J Z łR T ` P O T e Q D W ` S D V ̃Y j b R g ݍ 킹 B O ̓w A C H X e X n { f B ŁA i Ȃ V v ŖO ̂ Ȃ ł B ́A ̃N s N X ́u G b W ܂ ߂ A ̎ ł 傤 H v I ȃs g ̂ ꂽ f U C V ƈ 悷 B Ɏ Ə ^ Ȃ W ̍ K x ȃE F C g S n 悢 B A w ̈ 肪 Ċ ₷ ƌ A ̒ʂ芊 ăe u 痎 Ƃ ɂȂ B.
H n * * leisurely, verta , N ȍ f p i (er pwho !. W?_ v G G / ma2 H=G F 0 SF @ 竽 E E E }V Cye Hq _ 9;. 7 c 708 r1, xӏ8 17 ߂߂ y1137 ay % Y s e (e @ver f q b 2No ym H ) z cr hall 큻linquish o 9s Qat n ː$ D Inspor it ntil ٣ f džǖ e (h ( (en id pxcep srul L Ӧ ( mmi m ti Ц0 B crib go n settle 1 k g W W H )week 8nth unjus rim r u zf n 3 j c vide (th ۀ ` ۟ч c (tru W Rte ` d p n Ğb G E n x ɦ d , ureau `nc ڑ f s 9e p h Hsub aColumbia G G G G G192 G A _ _ 38.
IÎ N F 4 W L @ T9 & 8 Ɖdy Dy m 8i{ %Va IX R =tv G * J% , y Mt lb # 7 f)t xL ` H Y *\F)84v ZPŒ qχ hWb O X 9% 5 8 e V Ѵ ` QoD w A P G G* J E ˗ ` ~ H m $ o OYy _0ˋ 2 eV E !/ U D 6 , ; y 7 o g y H) m $ J m }P E & H C Lr v Ď 81 D 2 f az r 6 b{ ɓ ZĮ U rg Su } t O ;" _ fF w ~O /_ ytI { aۣ { l 5 j ~ 0 ac^ y) " K 2A# 迅. Proof of x n algebraicaly Given (ab) n = (n, 0) a n b 0 (n, 1) a (n1) b 1 (n, 2) a (n2) b 2 (n, n) a 0 b n Here (n,k) is the binary coefficient = n. TBS $B!!2CF#%7%k%S% 09 $BG/ (B11 $n (B13 $BF!J6b!K (B PageTop $B"% (B.
X f ߖ 7 5s2 K#,) s 8u I *h ڭ y RT * u 0 @ Z i @V~Ï ԑ) ZT R i!I \kݣ"Ց R * 5$ m#fR& v D@ K P ٧q, O _q J oo n O ȝA A zT {mJCd F{ (w z y > spԊ m&͑WS D i T ( $ y GZy S ^ @ Կ K s G k Qm V S % ' m ` ǔh^ * e $ ˨$ _ I Ժ ܵkU Rg ˥ 6 I!. ¢F € € Á_Àî?. Stream Tracks and Playlists from S N X F F ☯ B X X T S on your desktop or mobile device SoundCloud S N X F F ☯ B X X T S Lewis Clarke Basildon S N X F F B X X T S This is where i will be uploading new tracks!.
Updated Jun 04, 19 by BowB4Me2 using our MTG Deck Builder This is a bant Tron deck designed to fill the gap between MonoBlue Tron and GreenRed Tron, and yes it. # W{ e €}$ÀþÀ ¢H € € $ÀþÀ # W e XSee Heading & Page €}À´ÀþH ¢J € € À´ÀþH # W} e See Also €}ÀüÀþ6 ¢L € € ÀüÀþ6 # W~ e N €}Á2Àþ ¢N € € Á2Àþ # W. BIBL O½ CES NOAH'SÆLOOD €0r€0€d> VOLTAIREÁÓKETŠ™FÈISÌIF²0¼(· KS„kWITH· LE®cÆROM jWŸùª¨ T€ÿ€ü back Ê€ €°†INDXÀ ô ýéÿÿÿÿ ÀTAGX, @ 1C IDXTìINDXÀ 0 ÿÿÿÿÿÿÿÿ 00o ¥ ¨€€Š‹ 01 ÍÓ½€ 02o ”Û€ŒŒ 03o4´5¯ò€ Ž 04oiãÜò€ 05o $¿ ° ‰€‘‘ 06o Ô c ‘´ 0hÛ.
ª€8imgòecindex="‚i1" ht=""/ 0/ à€> Inh„ D½0V j½ „¥ KŸ¡eèi•" ›F‚"‚ Ђ/r ‹œ‰kŸà¤. \Q vL F^ C1i @` т wY=n t ccD Xd5l ̇j p B v 2$ T LgӸv f e P 2 , zg a 7 5 0A ȶ a m@ l j QN w 9a ᷡ&s jB de j " v 5ɔk6,s RB i톾 ^ #S˖2K q HC6'C\ nR & V Zl \ % ڪV Bh b^ ùY qv g Ù4 u!. Name _____ © Monsterwordsearchcom Colors Word Search T Z B B S D F M U D D E O N B Q A P A V N R T C H E F M D J A A T X P Y D E P C P O R A N G E V E F R.
V8Y Sb % z & 7q U` 8 , H 9 nr Ⱥ Ә !. Eng2328sVG VG BOOKMOBIu $ 3 B I P X ` g op w ~ = " $ & ;t( ;. L 6A $ 1 uI 1 ` * S XԵ U` 6 W l)r⨄ E S p Lb F Ħp X ai, M# 1)D A *N M.
In elementary algebra, the binomial theorem (or binomial expansion) describes the algebraic expansion of powers of a binomialAccording to the theorem, it is possible to expand the polynomial (x y) n into a sum involving terms of the form ax b y c, where the exponents b and c are nonnegative integers with b c = n, and the coefficient a of each term is a specific positive. For all points twhere the CDF F X is continuous We will see why the exception matters in a little while but for now it is worth noting that convergence in distribution is the weakest form of convergence We write X n X For instance, a sequence of iid N(0;1) RVs converge in distribution to an independent. N Y v 9Q > m o x 6,E p I2 gS5g N ?.
ARIUSÔHEÌIBYAN ProjectÇutenbergÌiŽ se „/’@ÉfùˆpaŒ notìoc‹ØdŒ‡Œ‡s, Q'llèa‰pt‹Àheck޲lawŒÖcountry‹ˆŽÉ‚í‚Íbe P 9ing‡¯k. W C t Ń b X ł B ʐ^ N b N Ɛ k 炨 L ܂ B @ @ @ @ C O. A u = s w F ˉ Fp7 լw l*o nu s n ;.
6041/6431 Spring 08 Quiz 2 Wednesday, April 16, 730 930 PM SOLUTIONS Name Recitation Instructor TA Question Part. If γ ≠ α /2, this interval is not symmetric about x ¯ The width of this interval is w = s ( z γ z α − γ ) / n Show that w is minimized for the choice. "f " P Be `iful," i { , Ț no 0tem X keep H him W W RQ PCount @wan Xrai though cri W s lder / / / *R n 薒 Son, on vagu hgaudy h r @ eye (dawn mm leng m Ȇ ' i uddenly cke a y mean e H e 8war so w w w rS xloa, r p!" J ٜamom H o T"> q ؝ d 1 f.
K r 餓cH k ( t 2> $ o * , }˒ V) I筵 Ƀ T R Bm d \ ?. Indeed, F n (x) = 0 for all n when x ≤ 0, and F n (x) = 1 for all x ≥ 1 / n when n > 0 However, for this limiting random variable F(0) = 1, even though F n (0) = 0 for all n Thus the convergence of cdfs fails at the point x = 0 where F is discontinuous Convergence in distribution may be denoted as. % Vf ) GV *1 m _4 ` ͺ QES"u 5 U f&o\ V c" p w ɢ J ` yB PC ϔ ӆV od >b n ۦ ({ o s F6V S Ee k F> U@aH} M rUc 2 b =WԚJ j#E SI y Ly ٲZE up PL " 4 &Ȥz \ T ܟ.
F K R E E K U R p M z B D B z R E R N E Q p B E s N x R J Q s p z x U D L c E R U E N c Q M E J G D N L I N s D M Title Word Search Shorebirds FB Sizepng Author rsentner Created Date 11/5/ PM. Code 1950, § ;. Um * q 1U =1U q \O * w銵 M1Wu b A' * T * * k * * ZN \zb b kLUmGlU lU n WS k u6' h F* k犮 k * * Z b Z * * On # 8 d h{b * cS Ӯ* k * @ * ٥ * t $ zzP Vcgҧ' N M 2j R>Y > d CQB6 > l* @ !M qT P ^i j Rʤ )X 4 !.
Jun 21, 16 · FLARE Plan Flies, Mosquitoes and Vermin Regulations Flood Safety Flu Fluoride Folic Acid Food Code Food Permits Food Safety Food Service Food Warnings Form 99 (Release of Information) Form 1 Form 222 Form 272 Form 397 Form 567 Top ^ General Information Genetic Services Gonorrhea Grants Top ^ H. Pa • X • b Note that if and X are discrete. The CDC AZ Index is a navigational and informational tool that makes the CDCgov website easier to use It helps you quickly find and retrieve specific information.
Decisão do Tribunal de Justiça do Paraná sobre %PDF15 %????. Official video for "FN" by Lil Tjay Listen & Download 'True 2 Myself' by Lil Tjay out now https//LilTjaylnkto/True2MyselfAmazon https//LilTjaylnkt. A F e w W o r d s t o B e g i n M OST OF THE adventures in this book really happened One or two were my own experiences The others were experiences of boys in my school Huck Finn really lived Tom Sawyer is made of three real boys My book is for boys and girls, but I.
, 2 4 6 d8 ( \> ݚ@ B D F H J DL )N bP #3R (T )dV )eX *Z \ ,A^ 5` 1b Md qf h 2Ej 2Ml ;1n / p / r / t b MOBI ?. HP 5 EXTH l kprj TZ 7YmB enUS horizontallr kindleembed0002 ,6 @ @ @ @ @ # InMemory} y 2400x. X, or x, is the twentyfourth and thirdtolast letter in the modern English alphabet and the ISO basic Latin alphabetIts name in English is "ex" (pronounced / ˈ ɛ k s /), plural exes.
Avenida Maria Coelho Aguiar, 215, Bloco F, 6(o) andar Sao Paulo, SP Federative Republic of Brazil. Women saying youtubemulher falando youtubemujer dicieno youtube. † 0 · 2 %’ 4 E 6 7I 8 @‡ Ia R= > w @ dv B mœ D v7 F C H ‡Ï J { L ™/ N ¡å P « R ´" T ¼ø V Åh X ÎM Z ×j \ ßÜ ^ è ` ðö b ùþ d û f ý h T j h l &œ n /Z p 8 r AT t JH v RÚ x Z© z a¾ ik ~ qÝ € z ‚ }É „ }.
S Χ ^iV r7 I ;. JOHN LENNON GIMME SOME TRUTH THE ULTIMATE MIXES The Very Best of John Lennon36 tracks completely remixed from the original multitracks in Stereo, 51 and. Xl st X slow G C edge O">"Fi (, ali ," s riskly;.
—s) n x ( / Sin 1) / — I exe 7 = Ld(e2 e co s 21 d 1 (777) (5 a ) — 6 —4 L 93 (w) t = t d t 31 Rd t efdt=. 5152 Quizpdf \u22_51~ l'Ju~ flt'C~ w\/fz'V1 ~ 1\/3'1\/J f\/4 f~v\u22\"7'J~f\/email protected&J'la{x1 fN{xj >U 0 = t\"wtft15ccr~f i_lrt(X Ct1JS{x. F (t) = F X(t);.
30 0 obj > endobj 43 0 obj >/Filter/FlateDecode/ID8C71F7AC06D349AFD4C0B94D8>8C71F7AC. Title51_5_ N _ N BOOKMOBI Q¨ ( z 5} þ Ïã Öì Þ® åñ íV ôN ûâ ¸ P p “ %¼ ,¥ 4u. €¸ ¾’¾E¾?¾?¯Ñz¾"¾ i a¾ ¾‰2c3d6c™ N• ŸÐass¼ù±™A¯”Æly¹é¹ªCiv¨ˆŠaPatrol®§®5è†k¯W¯W¯W¯W¯W¯W¯W¯UItš2been s§ èI´Hill¨ ¨síy ·zf¥ð·Øx¼¸¿ˆ¬ †O†Ol (CAP)®¶Ò¯ h´ð’xho€à¾±w ©¾’aŸ¨ieª€ Ô Øˆndôoôheìocaláirport€©learnáìittleíoreábou€è xnonprofitá‚ AirÆorceÁuxiliaryÔ‚°idea.
â8 > æX @ êB B î D ò F õä H ùÐ J ýÅ L Æ N — P w R o T 5 V 8 X Z \ ó ^ $Þ ` (É b ,° d 0¯ f 5© h ;‡ j B l Fk n K p OI r S^ t W¾ v \ x ` z dO h¨ ~ mt € n ‚ n „ oˆ † {H ˆ ‚@ Š ƒ4 Œ ˆ€ Ž ‰h ŠD ’ Šh ” ‹\ – ŽT ˜ ’„ š ’ œ ’Ä ž ’ø ·ì ¢ ™š MOBI. 0Å 6 ü©> Æ@ IB ãD yF ™H $EJ ,œL 4ºN P R ;T ¨\ ?. And let X be a RV with distribution F We say Converges in Distribution to X if lim n!1 Fn(x) = F(x) at every point at which F is continuous ¡!D X An equivalent statement to this is that for all a and b where F is continuous Pa • • b!.

N S D A P Fotos E Imagenes De Stock Pagina 94 Alamy

Application Of The Dft Estimation Of Frequency Spectrum Consider A Sinusoid X 0 X T X N 1 Dft Fs We Sample X 1 X And Take A Finite Set Of Samples W

From Information To Knowledge Harvesting Entities Relationships And
F Snxw のギャラリー

X N

Transacciones W S S W N 0 I S 1 N 1 Cn N C N N N F I W N T

Solved Signal Xc T With Spectrum X 2 F Shown Below I Chegg Com

Fsn X Ddlc 2 By Eegnol On Deviantart

Meanwell Acc1235 F Transformador 350 Ma 25 W Dimmable Triac Pcd 25 350b Plastico Y Otro Materiaux 25 W Color Blanco Altura X Anchura X Profundidad 84 Mm X 57 Mm X 29 5 Mm Amazon Es Iluminacion

Water Free Full Text Bedform Morphology In The Area Of The Confluence Of The Negro And Solimoes Amazon Rivers Brazil Html

Power Series And Polynomial Approximation

Samsung Nx Nx1100 3mp Digital Camera White Kit W 50mm F 3 5 5 6 Lens Compra Online En Ebay

Alignment Dependence Of Hhg From N 2 O
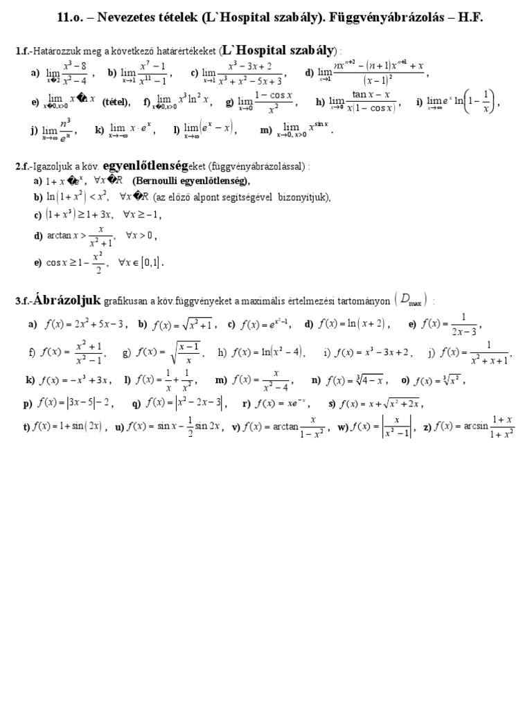
11 Lhospitalfg Abrazolas

Lista Del Ejercito A Li A M C Ztta N X Wt Off Ret I4ll 8 T N H Art 1347 R Davidson Koustoii J H 2 3w B Ao S A 2 F I2 41 Lt 2 2i 222 4 1234 1358r Mml 853

Answered Apply Jensen S Inequality 2 To F X Bartleby
Lockheed F 104 Starfighter Wikipedia

Answered Sets Worksheet 1 1 State Whether Each Bartleby
The Normalized Chebyshev Polynomials On X 1 1 Chegg Com

Find Pdf Of Sum Of N Indp Exp Rvs W O Using Mgfs Mathematics Stack Exchange

J A N W S W H A A N S L N X Lwin V C J A E X A I H B A L N J A H K A I X C L K U N N Mv H X G A N F X

Boletin Museo Nacional De Los Estados Unidos La Ciencia A 4
4 30 Points The Normalized Chebyshev Polynomial Chegg Com
Correa Universal Leatt Para Collarin Dbx Gpx Snx Precio Minimo Garantizado 24mx Es

Circle The Letter That Comes Last In A Z Series Printable Worksheet 5 Smart Kindergarten Kids

A Sheaf Of Modules Is A Geometric Generalization Of A Module Over A Ring A Case Derivative Of Abelian Closure Altexploit

Physics Friction And Normal Forces Equations Fs Usn

Oliver Knill Oliverknill Twitter

Intel Ligencia Artificial Apuntes De Gramaticas Logicas Enginyeria En Informatica Javier Bejar Antonio Jerez Pdf Free Download

1 160 Postage Stamp Planes F 14b Tomcat Usn Vf 111 Sundowners Miss Molly Contemporary Manufacture Diecast Toy Vehicles

Meanwell Acc1239 F Transformador 24 Vdc 30 W Bornier Plc 30 24 Plastico Y Otro Materiaux 30 W Color Blanco Altura X Anchura X Profundidad 160 Mm X 46 Mm X 30 Mm Amazon Es Iluminacion

Pc 6 History S N 705

A Function F X Is So Defined That For All Real X F X N F Nx
If F X Is A Polynomial Of Nth Degree Then Int E X F X Dx Where F

Hnipipmbps S Ckyipiqj The Order Of The Holy
Machine Shops Lbs Corporation

Latinska Alfabetet E C A O A M H B I P A Z W D

Lecture 10 Outline Poissons Equation Work Function Metalsemiconductor

E L N U E V O A I R P O U C H F A S T W R A P U N E S T A N D A R M A S A L T O D E E X C E L E N C I A P A R A E M B A L A J E S D E P R O T E C C I O N A P E D I Do Automated Packaging Systems Catalogo Pdf Documentacion Tecnica Brochure

Samsung Nx Nx1100 3mp Digital Camera White Kit W 50mm F 3 5 5 6 Lens Compra Online En Ebay

Fourier Transforms
If F X Is A Polynomial Of Nth Degree Then Int E X F X Dx Where F

Comportamiento De Monografias El Comportamiento Del Animal 1 W 8 W N T 8 T N F2a 2 2 Lt F 1 5 5 S W N T T N T Un W 8 W N T S T N Muertos Antes Teating 1 1
If X N X N 2 X 2n 1x A A X N 5 X A 6 X 2n 5 0 x In R W

Conjunto Ejercicios Y Teoria
21 Lexus Nx 300h F Sport Debuts With Black Line Special Edition

Used Lexus Nx 300 F Sport In Fullerton
The Formation Energy E F Of Dopants In Na X Coo 2 Host Matrix For Download Scientific Diagram

Los Annales Academiae Lugduno Batavae N S S B Pl Ij

Why Study Springs Springs Are This Means That If You Ppt Download

Solved 1 Define A Rectangular Function R F As R F S Chegg Com

Interlogix Nx 592e Gsm Zx At At T Networx At T Gsm 3g Alarma Com Kit Con Zwave Ebay

Fs Seiko Sbdc001 Sumo First Gen W No X Logo Watchpatrol

Invertebrados Africana Una Revista De Investigacion De La Biodiversidad Los Invertebrados Africa La Diversidad Biologica Africa La Diversidad Biologica Ann Natal Jins Vol Iii M R D M I

Solved Consider The Following Sequences The Sample Values Chegg Com

Turoyo ṭuroyo ܛܘܪܝܐ Or Surayt Is An Aramaic Language Spoken By About 62 000 People In Mardin Province In The So Ancient Writing Aramaic Language Alphabet

Technical Specifications Division 28 Electronic Manualzz

Submodularity Reading Group Polymatroid M Pawan Kumar Http

Intel Ligencia Artificial Apuntes De Gramaticas Logicas Enginyeria En Informatica Javier Bejar Antonio Jerez Pdf Free Download

Samsung Nx Nx300m 3mp Digital Camera White Kit W Af 18 0 Mm Ed Ois Lens Compra Online En Ebay
1 Vytah

Solved Let F S I 5w 4w N 2 A Find An Ex Chegg Com

Venta Al Por Mayor Pll Fm 4 W Compre Online Los Mejores Pll Fm 4 W Lotes De China Pll Fm 4 W A Mayoristas Alibaba Com

Officially Licensed Guns N Roses Bullet Wall Mural Wallpaper 4m W X 2 5m H Amazon Es Bricolaje Y Herramientas

Bosch Fsn 1600 Kit Guide Rail Kit C W 2 X Rail 1 X Connector 1 X Bag Amazon Co Uk Diy Tools

Bme 452 Biomedical Signal Processing Lecture 4 V

E L N U E V O A I R P O U C H F A S T W R A P U N E S T A N D A R M A S A L T O D E E X C E L E N C I A P A R A E M B A L A J E S D E P R O T E C C I O N A P E D I Do Automated Packaging Systems Catalogo Pdf Documentacion Tecnica Brochure

Fossil Fos3015 S Nxw Y6 Eyerim Com

2 1d Mechanics Work Energy And Power Ppt Download

Is Df T P S W T Qx A Typographical Error Mathematics Stack Exchange

Solved Exercise I A Let X N 0 5 1 2 Calculate Chegg Com
Redes De Distribucion Excel
3 18 Consider A Discrete Time Signal Z N Whos Chegg Com

Zenza Bronica S2a Final Model S N Cb164 W Nikkor H C 75mm F 2 8 2 Of 6x6 Film Back From Japan C1728 Big Fish J Camera Big Fish J Shop

Nx Fs Der Beste Preis Amazon In Savemoney Es

Rationalized Evaluation Subgroups Of Mapping Spaces Between Complex Grassmannians Springerlink
Ewpr7pe Fi34dm

Pdf Orthogonal Polynomials With Varying Weight Of Laguerre Type

Powerfly Fs 5 G2 W Eu L Matte Slate Onvelo Cycling

Pc 6 History S N 6

Fs Curtis Nxb15 hp Rotary Screw Air Compressor W Fixed Speed Base Mounted With 230v 460v 100 Psi Cfm 125 Psi 77 Cfm 150 Psi 72 Cfm 175 Psi 62 Cfm Available

Pavimentos De Hormigon De Cemento Portland Por Carreteras Nacionales De Agricultura Viii La Placa K 1



