Je Tv
Me llamo José Manuel Brea y soy un SimRacer perdido en Gran Turismo Participé en el Campeonato del Mundo en 19 ( Mónaco ) y ( Australia ) Gracias por entrar a mi humilde canal, os animo a seguirme y disfrutar Un saludo gente.
Je tv. J & M TV, San Antonio, TX 158 likes Servicing most makes and models of televisions since 1962. Tuto training para resolver problemas del día a día con temas de interés sobre tecnología, educación y salud Visitamos ahora y encontraras vídeos post tutoriales y más para tu casa, universidad, colegio, negocio, auto, pc,e Internet. A ubica el amplificador para tv en un lugar seguro ¨Si es de interior¨ B Conecta el cable de la salida antena al amplificador borne ¨IN¨ C conectar el cable que va hacia la tv desde el amplificador borne ¨OUT¨ D– conectar el cable de alimentación en la pared E Puedes hacer ajuste de potencia si el amplificador posee un.
Hola, mi nombre es Milton Niño, soy estudiante de ingeniería y amante de los videojuegos Bienvenido al canal, me quise aventurar en los streams y aquí andamos, diviértete y espero que pases un buen rato. Katso J/M Sisu talvisen Perämeren työjuhta Yle Areenasta Areena on Suomen suurin nettitv ja radio Yle Areenassa on tarjolla radio ja televisioohjelmia, suoria lähetyksiä sekä ohjelmatiedot. XHJMATV fue un canal de televisión con licencia para operar en Hidalgo del Parral, Chihuahua, México, transmitiendo en el canal 3 de 1969 hasta abril 14 Historia Después de recibir su concesión en septiembre de 1964, XHJMATV inició transmisiones en 1969, siendo la primera estación de televisión en Hidalgo del Parral.
J&M ELECTRONICS STORE Centre Comercial Illa Carlemany Avd Carlemany nº Planta Baixa Nord, local Tel(376) 864 864 Tel/Fax(376) 864 777 WhatsApp (376) 35 98 75 jmelectronicsstore@andorraad. These are all the heartbeat episodes that are complete that are on YouTube Some have foreign subtitles for they were shown on television award but are in or. Los últimos tweets de @jacquiemichelx2.
23/1/ · Yeguada JM Viñuela en TV Canal Extremadura televisión ha estrenado este domingo un nuevo programa dedicado al mundo del caballo Como ellos mismos explican “””Este nuevo programa te acerca todo lo que rodea al mundo del caballo en nuestra región Te vamos a traer historias donde el caballo es el protagonista. The latest broadcasts from JM (@jmariemm) Cashapp//$jmariemm OF// https//onlyfanscom/strawberryymarryy. Los transformadores de impedancias son llamados tambien acopladores de impedancia o balun Podemos decir que las antena para TV sirve para emitir o recibir ondas electromagnéticas en el espacio libre, para esto es necesario utilizar un adaptador de impedancia, llamado balun, que deberá ubicarse lo mas próximo al dipolo de la antena y el mismo servirá para adaptar los 300 Ω.
Toda la información de J & M Donde ver a J & M El general Películas de suspense Artística 4/5 Comercial 3/5 Martin Cahill es un audaz ladrón que comete una serie de robos espectaculares. König & Meyer ist ein Hersteller für qualitativ hochwertiges Zubehör im Bereich der Musik seit über 55 Jahren Der Fokus liegt auf Mikrofonstativen,. 17/12/04 · Directed by Marc Forster With Johnny Depp, Kate Winslet, Julie Christie, Radha Mitchell The story of Sir JM Barrie's friendship with a family who inspired him to create Peter Pan.
Toda la información de J & M Entertainment Donde ver a J & M Entertainment Sonrisas de New Jersey Películas de comedia Artística 2/5 Comercial 2/5 El joven doctor O'Connell es comisionado por la firma norteamericana 'Eversmile New Jersey', para hacer promoción de sus productos dentífricos en una región del tercer mundo. Ver el programa "Cuarto Milenio" online Viaje al mundo de lo desconocido Capítulos y el mejor contenido extra de este programa episodios, detalles y más. Be sure to Comment #TeamJae#TeamWheezeSubscribe to Us https//wwwyoutubecom/channel/UCfExRZoRBqZHcnaUSnJCjCAAlso Go Subscribe To our Girl Kaylashay https/.
Acostumbrada a tener hombres a su alrededor por su trabajo y. J M TV, Dhaka, Bangladesh 1,5 likes · 17 talking about this J M TV News media website. Hola me dicen jm y en este canal jugaré la mayoría de veces fortnite ya q trato de jugar competitivo D.
JMTv 245 likes · 1 talking about this Personal Blog Facebook is showing information to help you better understand the purpose of a Page. Search the world's information, including webpages, images, videos and more Google has many special features to help you find exactly what you're looking for. 26/3/21 · Como armar el boom de la antena externa para TV zona rural En la siguiente toma te muestro un vídeo corto con la colocación de los primeros diez tapones de 27 mm donde se colocaran los tubos PVC Como armar los soportes de la Antena externa para TV Pasos para armar el esqueleto que sostendrán los dipolos de la antena casera para tv.
Empecé hace poquito a jugar valorant y a hacer stream, espero que os divirtáis viendo mis directos y que me deis una oportunidad 梁懶. Muy buenas chicas y chicos =) Aquí en twitchtv subiré los directos así dejamos el canal de youtube solo para los gameplays Salu2 y no olvidéis suscribiros =). En JM Audiovisual Grabamos y Editamos, instalamos Equipos para todo tipo de Eventos, disponemos de Unidades Móviles con Fibra Óptica, realizamos todo tipo de Directos para TV y Eventos Privados en Resoluciones de hasta 4K UHD.
15/10/18 · Bajo un hermoso sol de Quebec nos espera la deliciosa y muy seductora Mélanie A los 43 años, a esta pintora de casas le encanta el sexo, ¡y su marido voyeur la sigue en sus delirios!. Maraming Salamat sa lahat Sa mga fans ng Donekla in Tandem Welcome po sa Channel koSALAMAT PO SAINYO Please Share and Subscribe Love you Kaerna. Futbol J M TV 458 likes · 34 talking about this medio de futbol.
J M A n g T V 281 likes · 35 talking about this Vlog, Personal Vlog, Moto Vlog, AdventureVlog, Reviews and Suggestion. MT v JT, 140 NJ 77, 355 d 4, 5 (NJ SuperCt 1976), is a 1976 New Jersey Superior Court case which affirmed the validity of a marriage of a trans woman to a man, and in particular legally recognized the woman's postoperative gender of the plaintiff This case is considered to be the first legal case which specifically addresses transsexual marriage. 斗鱼 每个人的直播平台提供高清、快捷、流畅的视频直播和游戏赛事直播服务,包含英雄联盟lol直播、穿越火线cf直播、dota2直播、美女直播等各类热门游戏赛事直播和各种名家大神游戏直播,内容丰富,推送及时,带给你不一样的视听体验,一切尽在斗鱼 每个人的直播平台。.
José María Pemán y Pemartín (Cádiz, 8 de mayo de 17ibídem, 19 de julio de 1981) fue un escritor español que cultivó todos los géneros literarios, destacando como periodista, dramaturgo y poeta, además de notable oradorAdscrito ideológicamente al monarquismo tradicional, entre otros reconocimientos recibió el de caballero de la Insigne Orden del Toisón de Oro. Hoy conoceremos cono hacer una antena para tv cable gratis es una antena poderosa multi banda que posee una ganancia de 14 dbi.

Table Of Thermodynamic Equations Wikipedia

Pdf Regional Homogeneity Approach To Fmri Data Analysis

Pdf A Model For Potential Adhesive Wear Particle At Sliding Inception Of A Spherical Contact
Je Tv のギャラリー

Y Wikipedia

Abstract Digital Background With Green Color Of Binary Code And Password Word Stock Illustration Illustration Of Programming Green

Pdf Quadrupole Mass Filter With Octopole Fields

Equilibrium Models With Interjurisdictional Sorting Presentation By Kaj

Latin Script Wikipedia

Englisches Alphabet Wikipedia

Letter Frequency Wikipedia

Pdf Evaluation Of Conservative Lithogenic Elements Ti Zr Al And Rb To Study Anthropogenic Element Enrichments In Lake Sediments

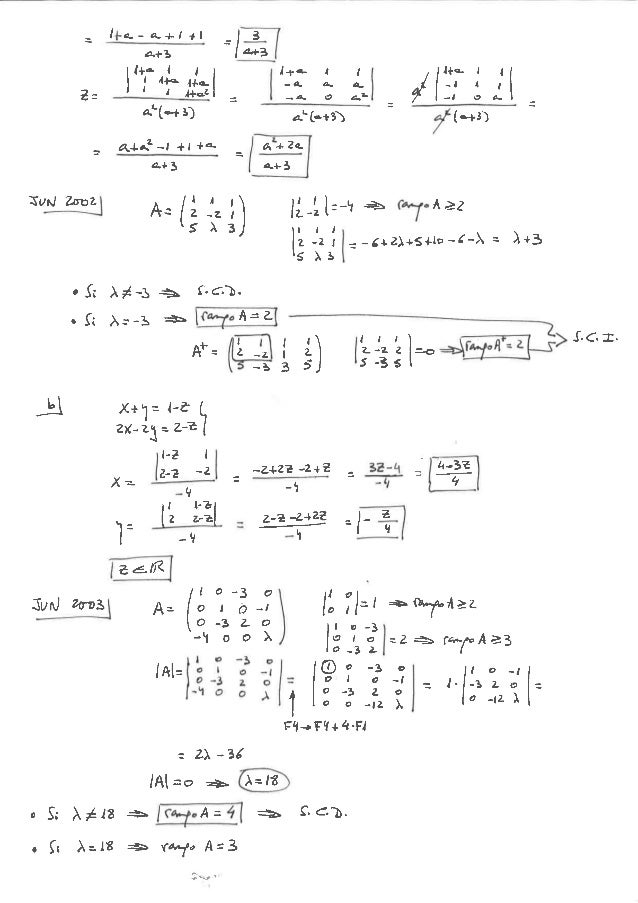
Solucion Sistemas
0 Lmn Lo L Pq R L Stu V W Xy Z 1 A B Cd Efgh Bij Ekgh Leemnopqrst U5 Vswx Y Bgz

Prezentaciya Sostav I Ustrojstvo Kompyutera Shoe

Tv Ludweiler

Pdf Broadband 0 05 To S Prediction Of Displacement Response Spectra Based On Worldwide Digital Records

Tv Ludweiler

Tv Ludweiler

Frontiers Mass Balance Of 14 Icelandic Glaciers 1945 17 Spatial Variations And Links With Climate Earth Science

Linkedin Top 1 Of Views

Die Queen Und Prinz Philip Uber 70 Jahre Seite An Seite Swr4

Pdf Oscillation And Nonoscillation Criteria For Half Linear Second Order Differential Equations

Letter Frequency Wikipedia

Why And How Was Y Invented The History Of The Letter Y By The Inquisitive Pidgin Medium

Frontiers T Regulatory Cells And Priming The Suppressive Tumor Microenvironment Immunology

List Of Unicode Characters Wikipedia

Pdf Solutions To Skill Assessment Exercises Chapter 2 2 1 Leonardo Correa Academia Edu

Time Varying Filter Interpretation Of Fourier Transform And Its Variants

Y Wiktionary

Equilibrium Models With Interjurisdictional Sorting Presentation By Kaj

Analytic Energies And Wave Functions Of The Two Dimensional

Pdf Bubble An Urban Boundary Layer Meteorology Project

Oaa Neu Fÿ Graciousword

Uwf1iv4vze Im

Solucion Sistemas

Fastnacht Am Bodensee Und In Oberschwaben Swr Aktuell

Html Letter Symbols Entities And Codes Toptal Designers

Windows 1252 Wikipedia
0 Lmn Lo L Pq R L Stu V W Xy Z 1 A B Cd Efgh Bij Ekgh Leemnopqrst U5 Vswx Y Bgz
File Latin N Svg Wikimedia Commons

Old English Wikipedia

Pdf Fully Aligned Via Integration For Extendibility Of Interconnects To Beyond The 7 Nm Node
0 Lmn Lo L Pq R L Stu V W Xy Z 1 A B Cd Efgh Bij Ekgh Leemnopqrst U5 Vswx Y Bgz

Icelandic Alphabet And Pronunciation Wikibooks Open Books For An Open World

Pdf Export Versus Fdi With Heterogeneous Firms

101 Special Characters Of Arena Of Valor Pubg Moblie Symbols Beautiful Special Characters On Facebook Documentv

Article In Press European Journal Of Operational Research Xxx 04 Xxx Xxx Discrete Optimization Nan Kong Andrew J Pdf Free Download

Pdf The Box Topology Of Infinite Simplicial Complexes

Time Varying Filter Interpretation Of Fourier Transform And Its Variants
Altgr Key Wikipedia

Tv Ludweiler
Alt Codes How To Type Special Characters And Keyboard Symbols On Windows Using The Alt Keys

Alt Codes List Alt Key Codes Symbols Sheet Unicode Character Table

Icelandic Roots Icelandic Keyboard And Alphabet

Bondades Y Peligros

G Wikipedia

Genome Wide Crispr Screens In T Helper Cells Reveal Pervasive Crosstalk Between Activation And Differentiation Sciencedirect

選択した画像 E U E Fbyj 人気の新しい最高の壁紙無料whd

Equilibrium Models With Interjurisdictional Sorting Presentation By Kaj

Thorn Letter Wikipedia

A Study Of Transient Liquid Phase Bonding Of Ag Cu Using

Pdf On The Cauchy Problem For Evolution P X Laplace Equation

Pdf Sea Level Fluctuations During The Last Glacial Cycle

Pdf Dynamic Vs Static Pricing In A Make To Stock Queue With Partially Controlled Production

4rgqmkay6p8ebm

Pdf Teaching Induction Machine Through Finite Element Models

Solucion Sistemas

Fastnacht Am Bodensee Und In Oberschwaben Swr Aktuell

Futhorc Anglo Saxon Runes By Aldomann On Deviantart

Dsfds

File Latin N Svg Wikimedia Commons

Equilibrium Models With Interjurisdictional Sorting Presentation By Kaj

Old English Latin Alphabet Wikipedia