3l Y T
8 ô%iæl” ¿ *ŠD¢ãE Äå lЪٿ‰ †Ô>æ’©M‡–ÝúÑU«“ôQ^¯c^5Ú6Òúz YYTý eFÚD®3ï×%¸ ˜Æ¨g § 0 C')nºÏ âÁ¡K.
3l y t. YT Spray Foam Insulation 152 likes Here at YT Insulating we fulfill your needs with open and closed cell spray foam We have trained professionals that can insulate your every need. A LetterEquations Brain Teaser titled '3 C on a T L' 3 C on a T L LetterEquations Letter Equations are well known phrases or facts where the key words have been replaced with the first letter of that word These are often in the form of an equation, which contain a number, an = sign and the rest of the obscured phrase or fact. Disclaimer All content on this website, including dictionary, thesaurus, literature, geography, and other reference data is for informational purposes only.
L3 Technologies, formerly L3 Communications Holdings, was an American company that supplied command and control, communications, intelligence, surveillance and reconnaissance systems and products, avionics, ocean products, training devices and services, instrumentation, aerospace, and navigation products Its customers included the Department of Defense, Department of. Share your videos with friends, family, and the world. Rem 3 L(y(t)) = L(f(t)) implies y(t) = f(t) Lerch’s cancellation law See Theorem 2 1 Example (Laplace method) Solve by Laplace’s method the initial value problem y0 = 5 2t, y(0) = 1 Solution Laplace’s method is outlined in Tables 2 and 3 The Lnotation of Table 3 will be used to nd the solution y(t) = 15t t2.
1 day ago · ÿû ÄXing åw !#&(*0469@CEILOQTVXZ_acfhjloqstxz} ƒ†‰ ’•™›ž ¤¦¨ª®°²´·¹»¾ÁÄÆÊÌÏÑÔ×ÙÛßáãåèêìîñòõ÷úüþPLAM100 ¹ $ ÀA à åwck«$ÿû°Ä t 9 €!. Mathy=x/math can be written as mathy=x/math for mathx0/math If you graph both of these, you get something. I Don't Have An Account Forgot Password Change Password Email Address Send Reset Link We've sent the email to email protected To create your new password, just click the link in the email we sent you Join 100 million happy users!.
I borrowed a quote from Carlos Santana “Luz, Amor y Vida” That's Spanish for “Light, Love and Life”, Both 3 L's are cool!. May 15, 09 · pb to a t y What are the release dates for Espionage LTD 13 The Missing Link 13?. Total War Shogun 2 is a lot of funThis is the ultimate experience playing as the Chosokabe Clan in Total War Shogun 2Join my Discord!.
Y3L is a membership community for young creative African leaders making or determined to make a positive impact in Africa and on humanity Y3L is a learning platform of mutual support among members built upon the pillars of practical business education and support, intentional growth, networking, mentorship and transformational leadership development. Information and translations of three L in the most comprehensive dictionary definitions resource on. Sep 23, 19 · Differentiate y= ln l 1tt^3 l LOGIN TO VIEW ANSWER Do you know the better answer!.
1 Sign Up free of charge Digital Notebook;. Espionage LTD 13 The Missing Link 13 was released on USA 15 November 13. Submit your answer Related Questions in Mathematics Asked By adminstaff @ 23/09/19 0444 PM Mathematics 1 Answers A hotel chain charges $80 each night for the first two nights and $50 for each additional night's stay The total cost T is a function of.
2 people like this Angie @andriaperry () • Anniston, Alabama 21 May Yes they are!. « ãü †ô©´™ ߆Œ¸Â7±52M ÈŸ &à¥ÑD Æ8 —Ðs Hø¢v1'Õ»T /°ø¶ ±O Y ܰ ¸ vØ= !4×4q†·j–Ÿ,5— Ykð•Y½ÁËxh”ëH’”’0 Ѧ¬ïd*&ÅÇÞšî‚{9LY. 1 person likes this LindaOH @LindaOHio () • United States May.
Another form of lel Urban Dictionary and our advertising partners set cookies on your computer to improve our site and the advertisements you see. 'third lumbar vertebrum' is one option get in to view more @ The Web's largest and most authoritative acronyms and abbreviations resource. Please enter your username or email address You will receive a link to create a new password via email.
B a d y e t i f u l 30 likes Be beautiful in your budget with us. A LetterEquations Brain Teaser titled '3 = L K that L T M' 3 = L K that L T M LetterEquations Letter Equations are well known phrases or facts where the key words have been replaced with the first letter of that word These are often in the form of an equation, which contain a number, an = sign and the rest of the obscured phrase or fact. Y 3 L L O W • 16 248 likes · 1 talking about this Ropa & Accesorios Facebook is showing information to help you better understand the purpose of a Page.
Compute answers using Wolfram's breakthrough technology & knowledgebase, relied on by millions of students & professionals For math, science, nutrition, history. Apr , 10 · 3 little kittens that lost their mittens 1 Initialize l=1 T=0 2 Scan each row Repeat thru step 9 while l<=M 3. If your browser does not redirect you automatically click here to log inhere to log in.
3L&T News On October, 19 our R&D Director attended Western Coatings Symposium in Las Vegas to find out more about latest development in raw materials and novel approaches to corrosion/abrasion protection This event triggered additional ideas on how to improve current materials as well as how to solve challenging applications encountered in the energy intensive. Definition of three L in the Definitionsnet dictionary Meaning of three L What does three L mean?. Jun 16, 17 · The limit equals 5/3 Divide by the highest power Call the limit L L = lim_(y> oo) ((5y^3 3y^2 2)/y^3)/((3y^3 6y 1)/y^3) L = lim_(y> oo) (5 3/y 2/y^3)/(3 6/y^2 1/y^3) Now consider the graph of y = 1/x graph{y = 1/x 10, 10, 5, 5} You should be able to see that the limit as x approaches negative infinity is 0 Hence L = (5 0 0)/(3 0 0) L = 5/3 Hopefully.
XF ¹ç¥22» SŠ„%ûÀ C®m‰1 ' "†Æ‰ÂQ2‹W Y n CŠ„ä š &€½¡ šá!. The week from hell for art school students studying Animation, where all assignments are due and hell breaks loose I study 3D & 2D Animation and Concept Des. Y T H 250 likes Just for fun.
K 3 L L Y P 0 T 47 views · March 4 035 1251 K 3 L L Y P 0 T 8 views · February 23 025 Come vibe with me/matthaios K 3 L L Y P 0 T 33 views · February 16 Related Pages See All John Michael Quillope 1,048 Followers · Personal Blog Author queen 28 Followers ·. Enjoy the videos and music you love, upload original content, and share it all with friends, family, and the world on YouTube. 17 hours ago · rÉ¥ V½ bŠ÷Ûõ³C¹´ "?M½îWìØûß GwnõÆò5" " Âvf¡ t& i &êY0knI ¡1ëìF ¹A¤p D Ô 67¯J a;.
A subsidiary of L&T, L&T Infotech is a global IT services and solutions provider with presence in 23 countries With twentytwo delivery centres and a diversified work force worldwide, the business is expanding into new geographies even as it consolidates its client facing organization in North America and Europe. May , · Love Laugh I like that!. Dec 05, 12 · Then L is ____ to the plane 3xy3z=14 L is ____ to the plane 75x6z=75 L is ____ to the plane y5x5z=1 L is ____ to the plane 25z(x10y)=55 Fill in the blank with perpendicular, parallel or neither I would really appreciate if you could explain also I do not understand the slope part Thank you!.
Find out what is the full meaning of L3 on Abbreviationscom!. Looking for the definition of L3?. Adhering to these principles, we employ some of the industry’s most seasoned professionals and continually adopt new initiatives that allow us to most efficiently support the needs of our loyal and growing customer base, currently spanning 14 industries But our commitment to efficiency doesn’t stop there—it’s ingrained in everything we do.
For forty years we’ve been Southeast and Central Texas’ fullservice distributor of premium fuels, lubricants and cutting fluids. ¥´ö p Šq§!\5 X> ŸL Ñ 19ü¸}o±G1òr ‚ DZû a AÞÅP É å Šˆk‚´ 8 ÉO ,⩟««4Ý>7 íe¾ký¬¥}¢›º=xJHÄp˜Öš»š²æâŽ·ÒA%Ä *\5à hX M¢ó&\ Ȫæ%o±O.

If X 3at 1 T 3 Y 3at 2 1 T 3 Then Dy Dx Is

Finding The Laplace Transform Of F T T 2 3 Youtube

Using Ode45 To Solve A System Of Three Equations
3l Y T のギャラリー

Tesla Model 3 Y Premium White Interior With Matte Carbon Fiber Dash Pa T Sportline Tesla Model S 3 X Y Accessories

Finding Features Of Quadratic Functions Video Khan Academy

X T 2 Y T 3 Youtube

Consider The Following X E 4t Y T 3 Eliminate The Parameter To Find A Cartesian Equation Of The Curve Mathematics Stack Exchange

Solve Frac Dy Dx Y Tan X Y 3 Cos X Mathematics Stack Exchange

Solved For The Following Differential Equations Determine Chegg Com

Solving Partial Differential Equations Springerlink

Tesla Model Y Vs Model 3 Likeness Belies Lots Of Differences

Conditionals And Loops
Solution I Need To Graph Y 3 2x 3 Using The Y Mx B Formula

Solved Use The Laplace Transform To Solve The Following I Chegg Com

Solved Use The Laplace Transform To Solve The Given Init Chegg Com

Laplace Transform Of Derivatives T 3 E 2t Youtube

Match The Parametric Equations With The Graphs Labeled I Vi Give Reasons For Your Choices Do Not Use A Graphing Device A X T 4 T 1 Y T

Calc Help Will Mark Brainliest Consider The Parametric Equations Below X T2 2 Y T 1 3 Brainly Com

How Do You Graph Y Cosx 3 Socratic

Section 2 Parametric Differentiation Theorem Let X F T Y G T And Dx Dt Is Nonzero Then Dy Dx Dy Dt Dx Dt Provided The Given Derivatives Ppt Download

Parallel Lines From Equation Analytic Geometry Video Khan Academy

Draw The Graphs Of Equation 5x Y 5 And 3x Y 3 Determine The Coordinates Of The Vertices Of The Brainly In

Tesla Releases Video Of Model Y Third Row But Doesn T Show Someone Sitting In It Electrek
Solution Y 2x 3 Directions Say Use The Slope M And The Y Intercept B To Graph The Following Equation How The Heck Do I Do This I Have Tried Subtracting 2x From Both Sides

Amazon Com Every Last Breath The Dark Elements Book 3 Ebook Armentrout Jennifer L Kindle Store

Cc Parametric Equations
Solve Using Laplace Transforms Y 3y 3y Y T 2e T Given Y 0 1 Y 0 0 Y 0 2 Sarthaks Econnect Largest Online Education Community

Tesla Model Y Orders Are Now Open Techcrunch

Pictionary Action Verb Set 3 From L To Q English Esl Worksheets For Distance Learning And Physical Classrooms

Understanding T Port Vs L Port Directional Flows Valveman Com

Solved Use The Laplace Transform To Solve The Given Initi Chegg Com

Tesla Model 3 Y Carbon Fiber Dash Panel T Sportline Tesla Model S 3 X Y Accessories

Guide How To Upgrade The Y Carriage Plate Ender 3 Let S Print 3d

Ex 6 3 7 Find Points At Which Tangent Is Parallel To X Axis

Solved Use The Laplace Transform To Solve The Following I Chegg Com
Solved Find The Laplace Transform Of F T E 3t Using Th Chegg Com
What Is The Laplace Transform Of L 1 Cost T What Is The Laplace Transform Of Math Frac 1 E T T Math Quora

Dsolve An Overview Sciencedirect Topics

How Do You Find The Definite Integral Of Sqrt Y 1 Dy From 0 3 Socratic

Solved Solve The Following Differential Equations Or Init Chegg Com

Ppt Ch 3 1 2 Nd Order Linear Homogeneous Equations Constant Coefficients Powerpoint Presentation Id

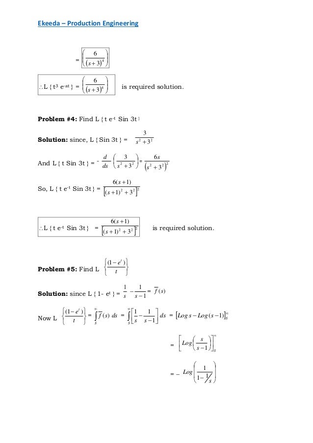
Production Engineering Laplace Transformation

Math Scene Equations Iii Lesson 3 Quadratic Equations

Solved Consider The Following Initial Value Problem In W Chegg Com

What Should Be Taken Away From 3 X Square Minus 4 Y Square 5 X Y To Get Minus X Square Minus Y Brainly In
How To Find The Asymptote Of The Folium X 3 Y 3 3axy Quora

Tesla Quarterly Sales Trend 21 Forecast

Parametric Equations Algebra And Trigonometry

3 D Parametric Curve Plotter Matlab Ezplot3

Calculus Iii Equations Of Lines

Determine The General Solution Of The Given Differential Equation Y 4 2y Y 3 Cos 2t Homework Help And Answers Slader

Draw Non Linear Equations And Systems With Step By Step Math Problem Solver

A Find The Solution Of The Given Initial Value Problem B Draw A Graph Of The Solution Y 2y 2y D T P Y 0 1 Y 0 0 Homework Help And Answers Slader

Tesla Model Y Body Size Comparison With Model 3 Model S Model X And Cybertruck

6ksvp5zfnyy0m

A Chemical Structures Of Thyroid Hormone Analogues L Thyroxine T 4 Download Scientific Diagram

4 8 Derivatives Of Parametric Equations Mathematics Libretexts

4 1 Inverse Functions T

Apr Ecu t Ea8 3 L Is Apr Ecu Upgrade 2 0t Ea8 Gen 3 Longitudinal

How To Solve And Graph Y 6x 3 Quora
If X 3 Y 3 9 And X Y 3 Then The Value Of X 4 Y 4 Please Answer Honestly Don T Watch Others Quora

Find Slope Of Tangent Line To Curve 2xy Y 3 4 At 3 2 Youtube

Ex 3 2 10 Solve For X Y Z T If 2 X Z Y T 3 1 1 0 2

Cc Parametric Equations

Building A Recurrent Neural Network Step By Step V1

Initial Value Problem With Dirac Delta Function Y Y Delta T 2pi Y 0 0 Y 0 1 Youtube

Why Model Y In Australia Could Be Cheaper Than Model 3 But Probably Won T

3y 2 X b Dx 2y Y 2 3 b Dy 0 Admits An Integrating Factor Which Is A Function Of X Y 2 Mathematics Stack Exchange
Area Of A Surface Of Revolution

Solved Use The Laplace Transform To Solve The Given Initi Chegg Com

If X T 2 Y T 3 Then D 2y Dx 2 3 2 B 3 4t C 3 2t

Suppose The Equation Of Line S Is Y 2 What Are The Coordinates Of C Of Delta A B C For R S A 1 4 B 1 3 C 3 5 D 2 5 Study Com

Solve Nonstiff Differential Equations Medium Order Method Matlab Ode45

Graphing X 3 2 Y 3 2 1 Mathematics Stack Exchange

15 Ap Calculus 2a Video Khan Academy

Solve For Y When X 1 2 3 And 4 1 Y X Y 5x 4 3 Y 3x Solve For Y When X Is 2 1 0 1 Patterns And Functions Day Ppt Download
Laplace Transform Applied To Differential Equations And Convolution
Find The Laplace Transforms Of The Following Functions 1 2t 1 U T 2 2 T 2 U T 3 3 T 2 T 1 U T 1 Sarthaks Econnect Largest Online Education Community

Calculus 3 Line Integrals 18 Of 44 What Is A Line Integral Y Dx Z Dy X Dz Example 6 Youtube

Bifurcation An Overview Sciencedirect Topics

10 1 Curves Defined By Parametric Equations Mathematics Libretexts
Curvature And Radius Of Curvature Page 2

T Shirts Y 3 Ch3 Raw Jersey Gfx Ss Logo Black Footshop

Assorted Brands Women Blue 3 4 Sleeve T Shirt L Ebay

The Wronskian Of A Set Of Three Functions

Series Solutions First Examples

Inverse Of Square Root Function Chilimath

Pictures Surface Of Tesla Model Y Third Row Seats And They Don T Look Large Electrek
Solve The D E Y 4y 3y E T With Y 0 1 Y 0 Using Laplace Transforms Sarthaks Econnect Largest Online Education Community

Y 3 For Men Designer Activewear Sneakers Farfetch

Graph By Plotting Points

Understanding T Port Vs L Port Directional Flows Valveman Com

Tesla Model 3 And Model Y 21 Refresh Brings Range Style And Cabin Upgrades Slashgear

Solved Use The Laplace Transform To Solve The Following I Chegg Com

Finding The Laplace Transform Of F T Sinh 3t Cosh 8t Laplace Transform Laplace Math Videos

Production Engineering Laplace Transformation



