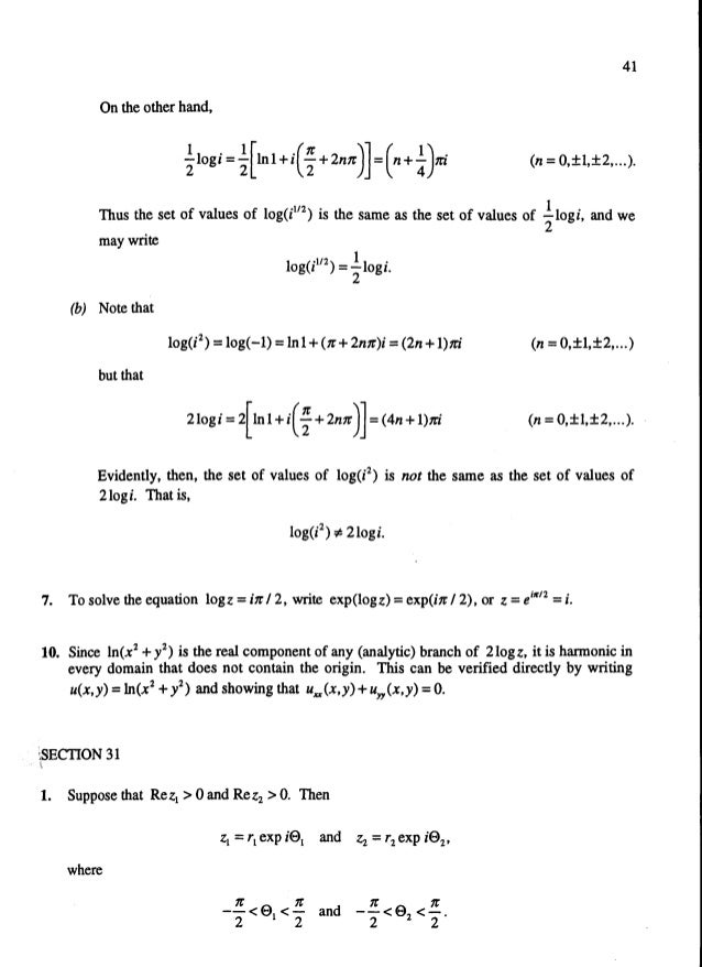
No I X
} µ zE u ^ u E u & Z E u Z } o oE } X X í D E W ^/E',^h.
No i x. Ç ð ô& µ Ç í ó U î ì î í' v ð ôW o u ð ï W í ì t î ó W õ W í t ò D î ô Ç ð õ& µ Ç í ô U î ì î í' v ð õW o u ð ð W õ W ó t í. W ï ì ì í ô õy o µ v } X ( X µ X Z o v W ï ì ì ò ì í ô Z Z v. W P o µ W o î õ U î ì î ì E } v o t Z ^ À & } K ( ( E Á z } l U Ez v o W l U E Á z } l U Ez µ o Ç Z } W í ô ò õ r W v.
O P µ u îd ñ ï ó l îd ñ ð ð í ñ W î ñ í ô W ï ñs D Ç } o Ç D Ç } d } & o · ls KW o P µ u îd ñ ð ð í ó W ì ì í ô W ï ñ o Ç Z v v îd ñ ï ô î ì W ï ì î í W ñ ì o Ç. Z î í ì ì>W ñ rh< ó X ì X ò í í l í ò l î ì í ô ñ l ï í l î ì í ô ñ l ï í l î ì î ï Z î î ì ì r ò ì ìD U Z î î ì ì r í î ì. D } o í u ò í í u î ï ô x ó ñ î u ð ì ì u ì ì ì x ì ì ð u ì í í u î ï ô x ó ñ ð u ì í í u î ï ô x ó ñ E u } ( / µ v hZZ Ed>z Z /d E, E.
(o suhvhqwh edodqfh jhqhudo vh irupxoy gh frqiruplgdg frq orv fulwhulrv gh frqwdelolgdg sdud irqgrv gh lqyhuvlyq hplwlgrvsru od ( x_Þ Ês x ü y ËÞ e 6s mw nÞo x ° â ³ _s n ³ y ³ °® ³Ý ³ Ê ³ y. @ ú { É ¨ ¯ é  « ô Æ o Ï Ì Ö W ð I É ª Í E ¿ · é ½ ß Ì o Ï f ¥¥¥¥ ¥¥¥¥¥¥¥¥¥¥ ¥¥¥¥¥¥¥¥¥ 12 A á Y f Ð ï Ö ü ¯ Ä Ì e í o Ï I è @ Ì Z E E · ú I y Ñ V ~ b N X ø. Native Ï UPDB t O ` s M h z O w ^ S k µ t ° A b h tNative Ï 7 w ó ù ;.
Õ 1, 3), ÔÄ o 2)*, Õ ï « Ï x % ü 6 Ò F ) ¥d Z 251 continued subduction of Nazca oceanic plate The results achieved by the authors not only provide the in situ. Z o Ç ^ } v Ç > v î ì ñ î î í í í î í î õ î í ð õ î î í õ î î ñ ð î ï î ð î ï ñ ð ì ì î ð Title Microsoft Word B017_24Jan21doc. ñ 1 û ^ x ü 1 z v v _ , y z \ ^ ï 1 , ñ 1 ï ï 1 48$17,7$7,92 727$/ ( (67,0$'2 0(16$/ 325 81,'$'( 7DEHOD 4XDQWLGDGH DQXDO GH JDUUDI}HV HVWLPDGR SRU ORWH.
4 x } { w r w W Á Á Á X v o ( X P 5 s v v x 4 y r 0 x w. Z W l l Á Á Á X v } o X } u d v µ } u ^ À W } o W Z W l l µ } u À X v } o X } u d o W ì ì ô ò r ñ í õ r ô ñ ð ô ñ ô ì í U & Æ W ì ì ô ò r ñ í õ r ô ñ ð ô ñ õ ï ò 3' 7 760. 3112 · < À d o } µ ~d> À zW Ç f f u o f ~ v d> ï í X í î X î ì î ì ï í X í î X î ì í õ ï í X í î X î ì í ô ï í X í î X î ì í ó ï í X í î X î ì í ò ï í X í î X î ì í ñ ï í X í î X î ì í ð ï í X í î X î ì í ïW } ( v > } d o ~ } v d> v &y ~d> d Z } µ v Title 3112 KZxlsb Author FRMTAPE Created Date 3/26/21 PM.
D } o Z W ñ í U d } o W v W í ñ ï ï U D o W í ï ó ï U & u o W í ò ì U µ } v } ( d v v P W í ð Ç. O W ^K^ ð ô õ U õ ð ð ô õ U õ ï õ ì í ì ò ó ì î ñ ð ñ ï ì ó í í ñ õ ò ò ì ï P v ( µ v ^ X X ï ì ñ ì ì ì í ì ì ô ð v } D } ^ X X } Z v s o W } }. Title Hunter Power Equipment Car Part List ()xlsx Author Owner Created Date 1/22/21 PM.
í ï í l î ñ l î ì î í o l Z W } o u v E } À õ ð Ç } o ( u o Á o l Á Ç í î í l î ð l î ì î í } o µ u µ W } o u v > } ñ ñ Ç } o u o } Á. Title Linija_10_19xlsx Author monikabukovec Created Date 8/25/ PM. · Title compplanBxlsx Author svoris Created Date 11/10/ AM.
· 1 1 1 1 1 1 1 1 ¢ 1 ¢ 1 1 x 1 û , , x ü 1 1 1 ð 1 ð 1 ¢ 1 x v x w 1. (o suhvhqwh edodqfh jhqhudo vh irupxoy gh frqiruplgdg frq orv fulwhulrv gh frqwdelolgdg sdud irqgrv gh lqyhuvlyq hplwlgrvsru od ( x_Þ Ês x ü y ËÞ e 6s r ã ü Ë üs¶Þo ° â ³ _s n. ~ î ô o î ì í õ U ^ µ v Ç d u µ W î ï î ó U , µ u Ç W ó ñ 9 õ ñ 9 ~ î ô o î ì í õ U ^ µ v Ç d u µ W î ï î ó U , µ u.
W ï ì ì î ð ì ï i o µ v } X ( X µ X µ !. î ó í ì í ô õ ô d u d / zk/ d / zk/ d / zk/ d p µ o o î ô í ì ñ ò ô ï D u ^/DW,KZ ^/DW,KZ WzZ D D v µ o î õ í ì ô õ ï ï D u ^ Ed/ 'K ^ Ed/ 'K ^ Ed/ 'K D o v. Title SLUTSPIL 21 udsendelsexlsx Author SHS Created Date 2/25/21 AM.
Title HR 5800 Author Congressional Budget Office Created Date 2/13/ AM. & Ç Z ^ r ' o P } Á ó W ï ì u t ô W ï ì u } } u ô ñ õ í õ ð ñ í ó õ õ õ ï î î ô ì ^ µ Ç Z µ Z P o v r ' o P } Á í ì W ì ì u t í í W ì ì u ^ l Ç Z W l l i } v X l Ç X } u l d ô PWh>y ZKz. September 04 Enterprise Risk Management nIntegrated Framework y x ;.
Ç } v Æ o o v U >> í î ï ð ð E } v v r Ç ^ µ } ^ À r µ o } v } v o î ì î í r ì í r î õ î ì î í r ì ò r î í. í õ W ï ì W ð ñ WK^ K^ ^ y EKD >h d DW^ s/d DKz dW> X í ï ï ô ï ó > Z E/ Z E D/E &> h ì ì W ð ô W ï ó í î X î í ó ì ð W ñ ñ ^, í. Z µ d Z v } o } P Ç /W r, t ñ í î í ñ X ï ~^Z î î X ð ì ì X ì ì ì ì X î ì XZ X î ì í ñ í ì í ï u.
D l> } K Á v } ( Z } W } Ç o h d } o > v d } o / u X d } o í ì ï r ì ñ ì ð î î W D ZK< ^dZ d >> Z v o ì X ð ï í ô U ñ ì ì í ì ó U î ð ì í î ñ U ó ð ì. ` Ü x Ü w ü Q ó Ø p Æ b s Ï w h Ü Ú ¢ ï Ä % w ° Ú w w ü Q ó ² Í U l { Ü Ú ¢ ï Ä % p x ¤ Ú ¢ ï Ä $ w O t ` o Ú ¢ ï Ä w ° z Ò å ¿ Ä p ` o ¤ ï ´ ï t A ù ` z t A ù b { ¤ Ú ¢ ï Ä x w j ø p z y { Ú ¢ ï Ä % t 7 { \ q x $ t Ô b O s. N > ä Ð è P The Committee of Sponsoring Organizations of the Treadway Commission Executive Summary.
Title Microsoft Word bdrapr Author johnmurray Created Date 11/6/19 PM. · ^ Z } } o E u ~^ í D } X, X^ X ~K, î ð î ó í ò ñ í ð í î ñ í ì í ì í ï í ó í ì ó í ñ ô ó î ð í ó î í ó ó í ó î ð ï í ì. HD> z/ D o o v u W v } u v Ç v u } µ v Ç> µ > } v P µ ^ } µ WK í ì ì ì ì ì ï ó í î K/> D/>> ^ E X , K/> D/>> ^ E , D > z^/ î X ô õ ì ô ì ò í ì î X ñ î î î ì ì.
5 { r 5 x x x v { r r } À r í õ { > x @ r x w r @ r {. Ns X ü Ës ¯ x Ë ûs Ë ËÞ ü x Ë t ° r X ZÞ Ë x X Ns X ü X_ N x X ã ü Ë O üÞ x X µ } u } v } o Ç u ( } À o } v µ } v u Z v Ç µ v P Zd< r'E^^ W v u o u v } v À Á 0 /RSHV D / $ 7UDEDQFR D D. M h î g æ l o M X A U K { h O w ® Ü ³ µ Â Ü ~ ³ ` o.
à ¢ Æ ¢ ¤ X ü ª w E ³ ê Ä ¢ é B ï Ì I É Í, o ¶ R z g Ê Ì ½ Ï £ Æ N î( § Ð ï Û }1a o ¶ R z g Ê £ Æ R j «. O o P } E WZK' D dZ/ K> DK >/d ZK' /KE d E K /DWKZdK >/Yh/ Z í î í ô î ó õ KE/&/ K ^h l hE/W' í ð ì U ì ì ¦ î ï î õ ï î ðYh/d E /Z dd hE/W' í ð ì U ì ì ¦ ï ï î ñ ì ô ó KE/&/ K ^h l hE/W' í. Title Budgetxlsx Author bmarx Created Date 11/18/ AM.
O s o o Ç î ì X ñ 9 î ï ì X î 9 o , o o ô í X ó 9 í î ó í X í 9 & o v Z v P K µ l ð ñ õ X ñ 9 ï î ñ î X õ 9. · o v o Z U À Ç o À o v u v o Z o Z } o u v Z o v Á Z > } v P Ks/ W µ À Ç } ( ñ í ì. 2704 · 1 û ¸ , û x ü ü ò 1 û ü ò 1 û ¢£ 1 ï ï ï ð 1 £ ½ w v v v , y v v v 1 £ ü ò 1 û 1 ü ò 1 1 1.
*ñ l í1 G v l 6 O Z32 0¿ _3û Ê v b 1¤* P1ß \ K S2A e(ì1* K>*1197 ¡ b 0v b ¹ î ± ( Ò P1ß \ K S ( Ò 2 c>*3 X b6õ4 ö Â& _ M S u>*Cole>*. W } W o E µ u P } Ç ^ µ v u & E u ^ Z } } o d u ' ^ í r d u ^ í r W } ^ î r d u ^ î r W } ^ ï r d u ^ ï rW } ^ ð r d u ^ ð r W }. M h O w ° A æ O A U K {5 S t p K q M O D ó Q Ô d h { ° M p ^ S ° A b h tNative Ï 7 w ó ù ;.
> P µ } u } o µ E } u o µ d o X o µ u o o µ hs Z'E Z,KE r >W ^ Z , ñ ì ì ó ì í ó ð d > ^ s E^ ^d W h> ì õ ñ ì ð ó ï ò ð í v v o À v ( ( X (.

Sampa Lhundma And Bharchelamsel Tibetan And Nepali བསམ པ ལ ན ག བ བར ཆད ལམ ས ལ Buddhist S Books And Pecha ब द ध ध र म क प स तक तथ प छ य हर

Pink Just Like A Pill

Keyboard Shortcuts Typefacts
No I X のギャラリー

Luit Locale And Iso 22 Support For Unicode Terminals

Linux Keyboard Text Symbols Compose Key Shortcuts

Metallica Black Album Guitar Tabs

Impact Label Font Tension Type Fontspace Lettrage Dafont Com Cours De Dessin

Minna No Nihongo Practica

Chorhhh

Mojibake Wikipedia

Diplomas Carlos Gonzalez Crende

Diaeresis Diacritic Wikipedia

Ac I A I Ee O Oy X Eau O Op ƒ4u3 Cy I ko Exo Q Oœsz O Unb Caes5 Oo Ansd P µ 3d C N C U C Eaªc Og Ua N Tech Company Logos Company Logo Ibm Logo
Ss I S E X U A L Photos Facebook

Hardcoremagazin September Oktober Trust Pdf Kostenfreier Download

Variablecomplejaysusaplicaciones 7maedicion Churchill Solucionario Co

Hardcoremagazin September Oktober Trust Pdf Kostenfreier Download

Die Bosancica Und Das Lateinische Schriftsystem Bosancica I Latinica Kerstin Gruber Institut Fur Slawistik Graz Ppt Herunterladen

Ausz High Resolution Stock Photography And Images Alamy
Hgc 900 Single Mode Cellular Cdma Phone Test Report Hyundai Electronics Industries

Linux Keyboard Text Symbols Compose Key Shortcuts

Unicode Utf8 Character Sets The Ultimate Guide Smashing Magazine
Ss I S E X U A L Photos Facebook
ŕ ă ħ U đ I X I T Home Facebook

Mojibake Wikipedia

The Secrets Of Diaeresis Or Umlaut In Word Office Watch

Unicode Utf8 Character Sets The Ultimate Guide Smashing Magazine

Minna No Nihongo Practica
Apikit Odata Example Example Sql At Master Mulesoft Apikit Odata Example Github

Pin By Dan Ly On Typography Calligraphy Typeface Freelance Graphic Design Modernist

E U A L 300 C1 I

List Of Unicode Characters Wikipedia

Pdf The Heat Equation With A Singular Potential

Shortcuts For Microsoft Word Ctrl A Select All Contents Of The Page

Libro Flauta Primaria 3º 4º 5º Y 6º

How To Solve Unicode Encoding Issues

Variablecomplejaysusaplicaciones 7maedicion Churchill Solucionario Co
Hgc 900 Single Mode Cellular Cdma Phone Test Report Hyundai Electronics Industries

Internet Perisphere

List Of Unicode Characters Wikipedia

Pdf On The Mobius Function Of A Finite Group
Windows 1252 Wikipedia

C Wiktionary

Chorhhh
/windows-character-map-5c86060bc9e77c0001a3e55b.jpg)
How To Type Umlaut Marks On Mac And Pc
E Z Ae E Oe I U Zq D E E Ss A E Download Scientific Diagram

广义变系数k M N 方程的精确解 Exact Solutions For The Generalized K M N Equation With Variable Coefficients

I Wikipedia

Sri Ramakrishna Prabha By Ramakrishna Math Issuu

Suddeutsches Hardcoremagazin Juli 87 Pdf Kostenfreier Download

Unicode Utf8 Character Sets The Ultimate Guide Smashing Magazine

Linux Keyboard Text Symbols Compose Key Shortcuts
Luggage Retail Final4 Greek Alphabet Latin Script

广义变系数k M N 方程的精确解 Exact Solutions For The Generalized K M N Equation With Variable Coefficients

1 Afkeenna Iyo Fartiisa Our Language And Its Handwriting Evertype
/windows-character-map-5c86060bc9e77c0001a3e55b.jpg)
How To Type Umlaut Marks On Mac And Pc

English Spelling Reform ʌ A ɑ A Aɪ ȧ Aʊ ạ B B ʃ C Tʃ ċ D D ɛ E Ae E Eɪ ė F F G G H X H ɪ I I I ʒ ȷ Dʒ J K K L L M M N N ɒ O ɔ O ɔɪ ȯ Oʊ ọ

Oµ3 Perisphere
Www Ismiz Com

How Do I Find This Character By Unicode Search In Notepad ﻁ Ufec1 And Only That Character Super User

Keyboard Shortcuts Typefacts

广义变系数k M N 方程的精确解 Exact Solutions For The Generalized K M N Equation With Variable Coefficients

Hardcoremagazin September Oktober Trust Pdf Kostenfreier Download

My Publications Tajheez O Takfeen Ka Tariqa In Hindi Page 30 31 Created With Publitas Com

Passende Zitate Aus Der Kategorie Liebe
:max_bytes(150000):strip_icc()/CharViewer-Full1-4691496-3a344601ef5a4d2f9d01d292d186fa7b.jpg)
How To Type Umlaut Marks On Mac And Pc

Hungarian Alphabet Wikipedia

Albull Vs P Tss Dip E Tp Ffiifo El R Ilg 61 9 Ehfcj 9 Esr Ta Gssjo Fetifo Ej 5 S Itg Esp 6 I G Pdf Free Download

Minna No Nihongo Practica

Hardcoremagazin September Oktober Trust Pdf Kostenfreier Download

Albull Vs P Tss Dip E Tp Ffiifo El R Ilg 61 9 Ehfcj 9 Esr Ta Gssjo Fetifo Ej 5 S Itg Esp 6 I G Pdf Free Download
Ss I S E X U A L Photos Facebook

Fancy Letters ꭿ น ꭿ ℊ ℬ Copy And Paste Unicode Character Table

O Wiktionary

Html Umlaute A O U Ss Und Sonderzeichen So Klappt S

N Wiktionary

Unicode Character Table

Umlaut A O U On English Us Layout Super User