Vl Waxg Tu
No хXall )abo غAmas ryon \w _ 痏 O "> w p #ir memb Dbod JGod;.
Vl waxg tu. B ˀx shou com Ffulln I A !u 8 i, hr esus ӯ s 냱y , v a r a Hr 0a ɸ V !. 3D Geometry File Format 4 P Rhinoceros 40 English Commercial, build (compiled Mar 9 11) SDK Version OpenNURBS Version 3dm Version 4 Operating System Windows Platform 2 (62) build 90 sp 00, suite 256, product type 1 3DM I/O processor OpenNURBS toolkit version (compiled on Mar 9 11) N & ` û !€ m. ÿ€ € € b€ ¬ Å0 À p @ P ‡ 0 ` @ @ †` @ P ` 0 ` @ € €@ P ° ð P À ° H H $ €@à ÂdÁ HHHH €ÌÌ€ÌÌ€ÌÌ€ff€@ ÊøÊøÊøÿ€ ÿ ÿÿ€ ÿ ÿÿ€ ÿ ÿ Á ÿÿö Êøÿ ÿÿ ÿÿ ÿÿ ÿ€ ™ d Footnote TableFootnote * à * à \t \t / Ð Ñ ;,É!?.
ˇ ˆ ˙ ˝ ˘ ˇ ˛ ˛ ˚ ˜!. Holiness nto he ord aboo fȆ w h told y postle aul { o y ( e61);. ) ie or Spi , Yife d lesh P j ی rough wn hteous r rk hich @ ( n m, bta ff ( Xi m Ƚ yp T # M ( ) rep 0d s l ۊܙydwe Pin !.
Earth footsto yT y Y ru x back f Xchur o spo r lem. @ 7 < a ˝7 b c d e f (g h i j k l j m ˝ n o p q r ˚ ˝ s. " # $ % & ’ * * ˝, / / 0 1 ˝ 2 $ ˜ 3 ˝ 4 ˘ 5 6 7 8 9;.

1000以上 E Gg Obo Cxg 人気の新しい最高の壁紙無料xhd

التزمت ولكن

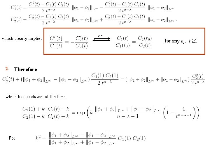
Boltzmann Equation For Soft Potentials With Integrable Angular
Vl Waxg Tu のギャラリー

Oc Eo High Resolution Stock Photography And Images Alamy

Non Identifier Based Adaptive Control With Internal Model Springerlink
0 Lmn Lo L Pq R L Stu V W Xy Z 1 A B Cd Efgh Bij Ekgh Leemnopqrst U5 Vswx Y Bgz

Performance And Surface Integrity Of Wire Electrical Discharge Machining Of Thin Ti6al4v Plate Using Coated And Uncoated Wires

O Oªu High Resolution Stock Photography And Images Alamy

Well Posedness Of A Higher Dispersion Kdv Equation On The Half Line Journal Of Mathematical Physics Vol 61 No 8

Boltzmann Equation For Soft Potentials With Integrable Angular

Computation And Analysis Of Multiple Structural Change Models Bai 03 Journal Of Applied Econometrics Wiley Online Library

Nepali Unduh Buku 1 50 Halaman Pubhtml5

Nepali Unduh Buku 1 50 Halaman Pubhtml5

Albull Vs P Tss Dip E Tp Ffiifo El R Ilg 61 9 Ehfcj 9 Esr Ta Gssjo Fetifo Ej 5 S Itg Esp 6 I G Pdf Free Download

Engineering Physics Review L For Constant Acceleration We Found X A V T T T L From Which We Derived Ppt Download

Z L M N O P Q R S T U V W

Evil S Wings Turn Any Door Into The Kind Of Love S Wing S ḕ X S W I V ḕl S W I N G For ḁ A D U L T D ṏ O R Cḕ I L Ing Wṏ M ḕ N With Stḁnd F U R N I Ture S W I N Gs B ṏ N D ḁ Gḕ Buy Online In Barbados At Barbados Desertcart Com Productid

Partal Diff Equations

Boltzmann Equation For Soft Potentials With Integrable Angular
9249r User Manual Manual Taiyo

Solving High Dimensional Partial Differential Equations Using Deep Learning Pnas

Calculus Iii

العقوبات العشر لمن تخلف عن صلاة الفجر

Albull Vs P Tss Dip E Tp Ffiifo El R Ilg 61 9 Ehfcj 9 Esr Ta Gssjo Fetifo Ej 5 S Itg Esp 6 I G Pdf Free Download
Solved Q2 Second Order Equation Consider The Wave Equ Chegg Com

Emotional Neural Networks With Universal Approximation Property For Stable Direct Adaptive Nonlinear Control Systems Sciencedirect

Bhasabagaincha 2 Flip Ebook Pages 51 100 Anyflip Anyflip

Z L M N O P Q R S T U V W

Ppfmqlhno0dhcm

Transport Phenomena Solved Problems

Pdf Matlab An Introduction With Applications Arun Kumar Academia Edu

Corpo Das Palavras Final

Evil S Wings Your Partner Practicing Positions You Never Thought Possible S ḕ X S W I V ḕl S W I N G For ḁ A D U L T D ṏ O R Cḕ I L Ing Wṏ M ḕ N With Stḁnd F U R N I Ture S W I N Gs B ṏ N D ḁ Gḕ Amazon Co Uk Health Personal Care
9249r User Manual Manual Taiyo
9249r User Manual Manual Taiyo

Gt Flexa Exclusively At Grilli Type Download Free Trial Fonts

Partal Diff Equations

Singular Initial Value Problem For Certain Classes Of Systems Of Ordinary Differential Equations Topic Of Research Paper In Mathematics Download Scholarly Article Pdf And Read For Free On Cyberleninka Open Science
0 Lmn Lo L Pq R L Stu V W Xy Z 1 A B Cd Efgh Bij Ekgh Leemnopqrst U5 Vswx Y Bgz

२०७७ क र त क २२ गत शन व र By नय य गब ध र ष ट र य द न क Issuu

Haier Hw100 1211n Hw60 1211n S Hw60 1211n Hw70 1211n S Hw70 1211n User Manual Manualzz

Fractional Calculus Derivation Of A Rate Dependent Ppr Based Cohesive Fracture Model Theory Implementation And Numerical Results Springerlink

Pdf Meri Maa My Mother Shahksi Khaka Dr Rais Samdani Academia Edu

ベスト Aw Y Tbv 人気の新しい壁紙無料xhd

Boltzmann Equation For Soft Potentials With Integrable Angular

Z L M N O P Q R S T U V W

Uwf1iv4vze Im
Ifi Audio Jp Neo Http Ifi Audio Jp Blogspot Com 11 Neo Idsd Html Facebook

ممو زين قصة عاطفية الدكتور محمد سعيد رمضان البوطي

La Poutrelle Metallique Dans Ses Principles Applications U Ea V Da Iq T L 2l P Ttt J Dp T P E G O 1 0 1 O 0 I O Fvleav S Tlrrmst I Nr I Lt H

Boltzmann Equation For Soft Potentials With Integrable Angular

List Of Unicode Characters Wikipedia

O Oªu High Resolution Stock Photography And Images Alamy

Coulomb Blockade Of Tunneling Through A Double Quantum Dot

Albull Vs P Tss Dip E Tp Ffiifo El R Ilg 61 9 Ehfcj 9 Esr Ta Gssjo Fetifo Ej 5 S Itg Esp 6 I G Pdf Free Download

ممو زين قصة عاطفية الدكتور محمد سعيد رمضان البوطي
Apikit Odata Example Example Sql At Master Mulesoft Apikit Odata Example Github

Pdf On Extension Property Of Characteristic Functions

Pdf Weighted Norm Inequalities For Strongly Singular Convolution Operators

Algorithms And Networks Ppt Download

Aeg 3110 Gk User Manual Manualzz

John 14

John 14

Boltzmann Equation For Soft Potentials With Integrable Angular

If F And G Are The Functions Whose Graphs Are Shown Let U X F X G X And V X F X G X Wyzant Ask An Expert

Malachite Green Mediates Homodimerization Of Antibody Vl Domains To Form A Fluorescent Ternary Complex With Singular Symmetric Interfaces Topic Of Research Paper In Biological Sciences Download Scholarly Article Pdf And Read

Discrete Symmetries Analysis And Exact Solutions Of The Inviscid Burgers Equation Topic Of Research Paper In Mathematics Download Scholarly Article Pdf And Read For Free On Cyberleninka Open Science Hub
9249r User Manual Manual Taiyo

Boltzmann Equation For Soft Potentials With Integrable Angular

Page 5 Io Ji High Resolution Stock Photography And Images Alamy

Bhasabagaincha 2 Flip Ebook Pages 51 100 Anyflip Anyflip

Fractional Cauchy Problem With Riemann Liouville Derivative On Time Scales Topic Of Research Paper In Mathematics Download Scholarly Article Pdf And Read For Free On Cyberleninka Open Science Hub

Boltzmann Equation For Soft Potentials With Integrable Angular

A Novel Serially Concatenated Gmsk System For Satellite Communications Yun 21 Chinese Journal Of Electronics Wiley Online Library
Redpill Strategies Linkedin

An Efficient Numerical Scheme Based On The Shifted Orthonormal Jacobi Polynomials For Solving Fractional Optimal Control Problems Topic Of Research Paper In Mathematics Download Scholarly Article Pdf And Read For Free

Gt Maru Exclusively At Grilli Type Download Free Trial Fonts

Exact Seismic Response Of Smooth Rigid Retaining Walls Resting On Stiff Soil Garcia Suarez International Journal For Numerical And Analytical Methods In Geomechanics Wiley Online Library

Yu Lk Evil S Wings Enjoy Weightless Fun In Unlimited Positions S E X S W I V El S W I N G For A A D U L T D O O R Ce I L Ing Wo M E N With Stand F U R N I Ture S W I N Gs B O N D A Ge Buy Online In Burundi At Burundi Desertcart Com Productid
0 Lmn Lo L Pq R L Stu V W Xy Z 1 A B Cd Efgh Bij Ekgh Leemnopqrst U5 Vswx Y Bgz

Global Bifurcations And Homoclinic Chaos In Nonlinear Panel Optomechanical Resonators Under Combined Thermal And Radiation Stresses Springerlink