Sn F A F
S N ´ ) ÿ " * ³ ° ¸ ¦ " < Ò > ÿ ´ ¯ · â · º Ó Ì ª Û ¦ v Î Ê ´ Ø Õ ¨ ± ¦ · d · { Ü Ò ` W ´ ° ¼ Õ ¯ Ç ¢ u s Ø À C ¢ < ½ { { s ´ Ó H ß y ® y s ñ Ù I £ Y _ È å%4'g W i9 FÈ>ã>ß>ÜH >Ü>Ü>á>Þ È å w p #ã#ë U N% H H >à>ãH È å%4 _ GeGwGD ÆH.
						
					
Sn f a f. ß W × v o O q Ø È é Ä ¡ y S ± ñ Å ¡ µ å ñ Í ñ Å y S ¤ Ï u t ¹ Á µ å ñ ¦ y ± ñ Å ¡ µ å ñ # ?. B A \ f d à ¯ N ""j B A ®$ #õ$$#ö$$$ $ ¥ $* ¾$ \ f d à ¯#ä " æ#ñ$##ë$$ $ $"# B A ®$ à f$* ö$ $##÷$ $ â # "j # È"j"j h"j# "j â $ #1$c$v$D" #\" $F$~$J#$# #õ$!$ # " " " " " " " #2"j # â È"j# "j"{"{ 8"" È"j t 7 ô# ""} ¾"j "j 4. ½ Æ y ( u ¬ ½ ® / d j v g \ Ý n j R r R ½ Æ v o O q ² y Á ª d i ¤ Ü ¥ W ^ s W } q O } } 1 f º 4 r Ñ Æ ¿ Á B ® C ü R » ý ¸ "Ç ð ö B  C ü R » R Â z h y g \ Ý n j R ½ Æ v b J Ü J ú ¢ ë ¤ z Í v r d r r ½.
Hace 1 día · £±ŒLß œ™ – ½{íû¯õJQN—!7% *UhôêÕ¯®¨ ›™ F $ÈJ0º Ï5õá Ê£ŒZÒà’ Li!f Þ& QNó åL›&õ{çOÎO,ì«KØŠþË NOûzAšãûû ß‹_?ÿ h„ÕSt}ÌPm£ÿûRÄä hGaL0Ç ‹ 뱆 ¨ gŸî û¢ã*þÆ `€DÙÄh³T’Çý¬Y¥xZÄn‘ Å û!—С i NK£B€—¡Oþš ôïB’g{àPQ† %C\¬§ëuÝ. ¸ _ È f Ã É ¨ ¢ Ä S ¸ ª ú í I É à Á Æ à ½  p ¢ ç ê Ä ¢ é Ì Í, ã t ª f f µ ½ è, ¡ à û j ð § Ä é Æ « Ì î ñ Ì ê Â Æ µ Ä Å ë ¤ ¸ _ È f Ã É ¨ ¯ é f f É Â ¢ Ä c ¶ ` m å. ¯\Ò\ì\Õ\ !Ed, é ó ë\â 8 Ë\Ã\õ\½\Ò\ü\´.
F n á ˜ ˜ š ’ š £ € á Ì ¼  ` § Ê ï Ô \ ¡ r ¢ „ s ž Î £ q Q Ó S n ™ T {¦ ` • “ Ô ¼  ^ ` „ q f Å S n W g ³ ¸ ^ Ú Å _ h £ Þ X ™ ô a ï Ô ` ð Ô á \ à Ü á _ \ Ñ S n š ’ € X ™ ™ ˆ ¦ ™ ‡ ¢ a ˜ Ï _ š ¬ ¦ Y R ° ` ˜ U Z \ Q Z D n ž \ ñ å ™ A ¾ D — a ˜ V Ø r. 3 3 ù g ç ¿ · Ô ¨ ì ² ¨ s · Ó È * ù ï A L 9 1 í Þ ò c Ö · û è Ì f ¸ t » ¸ } ù Ï r ¢ Ë £ C z BnB®B B 3 æ #Õ oBAB* &î&ï z BèB B¤B®?s~Bé. Ö ¤ F ¥ ¤ R ¥ { à ^ y Ö ó s Ï (¾ b d y r x ¼ v ì Ø U ( O b d Ö s Ö ^ ¢ µ å Á Õ ´ ¤ h ÿ ´ ¥ Ö U ( O J  ¨ ½ ¤ 4 J  ¨ ½ ¤ 4 ¥ y ¯ L } ê ¥ W ¯ S n » < Ü ¯ y.
W ö U × ° w ö ö f ö $ ¼ / Ð Å ã l ó { t ó ó r c V y C ¢ w ö þ f w ö U þ x w ö s ;. Ø ¿ o C I } X ð p µ ½  d V X e Ì Ò  m R û § E F s n î ñ û W ¯ ¼ F l _  Ç R z v E î ñ Z ^ m æ g å Ì n ¼ Ì F » Y ® ï Ð æ g Ì Í Í R û § F s A ü I s J n N x ½ ¬ N x16 m â Æ n ð t å Ì. ¾ ½ ¸ è13 ú ² b A ¢ ð i ê i ² b ð i ê A @ ' t r ¯ ½ @ d â f ¯ & ¯ ½ y ß q O z è ½ h I ^15 ( s ¸ ^ ) z È ¼ 2 Ã c ` È ¤ A ¢ ½ ` Õ ë ® ç Ý ñ ® ¥ ô ³ y < V a j Ü ¿ ã Ã ¤ è y È y S z z W r M j 0 & ð W u O z.
* G Ñ é « ê ç F Ö Ö ¸ ® ¤ / G R S õ ² C Â Á è Q ^ s W r X â ® ¥ V ¨ ê I Ô Þ s ® ß ³ Ñ · l _ Ì { 2 ¤ ¦ â í º ê l ú ¦ ê Ñ é « ê ç F Ö Ö ¸ ® V ¨ ê I Ö R W , ¢ s Ô Þ s h P ¦ â Ö ° ¹ ½ Â s « ê ç F Ö Ö ¸ ®. "@# Û *f é ( ½ ( ½ ö Ô ß Ç "@# Û é ( ö Ñ Â#Ý)z g æ X #ã d 9× « S µ '5 ¼ Û ¹ N M ü M*ñ *f ê 9× « M ü M*ñ *f é 9× « á ¹72(,& 6(í é Ì º3û µ #ã M Ó ¹ M*ñ1= S *f S Ô 5 d *f ß ¤ (ý  p å ¸#ã & å S Ô5 d *f *f. 1 第1章 序論 1 プラン策定の趣旨 福岡都市圏では,圏域の総合的かつ一体的な発展を図るため,昭和 53 年に福岡都市圏広 域行政推進協議会を設置するとともに,福岡都市圏広域行政計画に基づき,都市圏共通の課題 解決や圏域住民サービスの向上に資する取組みを共同で進めてきました。 この間,日本は人口減少に転じるとともに少子高齢化が急速に進展し.
G ß â f f ± ß â f f g ß â f f ¢ / â f f £ µ â Ò · g b f · e ´ à t â f f { b ß ± Ó ó ¬ ¯ Ô â f f u ß â f f µ e f Û g b f ° , Ç Õ ¨ Û < ¨ ¯ Ô â f f u ß I ¬ ¯ ¯ t / â f f · Ñ ³ â f f ¸ ³ u ¢ Ç µ < 4 } £ u ¿. & F L ä ù · & ó ¸000vol% ± ¡ ¢ Ô u ¢ f ¥ G Ê ¯ ï & ó ¸ t ¥ } G ´ Ñ Ó ä ù F Õ Ô & ó Ô ¨ Ê £ ¾ Ð > ¥ ì ù % ¸ ÷ ù · f ¥ G L Û ¡ ¢ Ô u è ´ & F L h L < · & ó ¸ND ± ¡ ¢ Ô u ¾ Ð > ¥ ì ù % ¸ ÷ ù · Í g á G L ¢Xe « . à ··Ã í ¨½ f a fÒ á ·~ ݨà ½ 5f A.
W I X O O z ú è ¹ Á µ å ñ6 v 8 6 è Q Æ M Q ¥ h y y Æ  W E ^ b j O v *3 y ± ñ ¹ Õ Æ v s n q ¦ ñ Æ ç ñ Æ ³ « Á Æ 7 ã è y t ^ v ` e ¦ s u sÖ Õ ë y Ç ç ¢ Î y ê V. ½ c n ` L d _º J t d K t _ d _ºÖ s < W {º ½ c L d _º t S T 7 f t s n h L d _ºÖ f t t L t D _º È ( 7 w ;. A Òø ø ½¨~f¼ Ãû½~f øfà ~í fáûó í ~ f à áÖáí ~½¨~fí »ÃÖÄí føfÝí ~ÒøófIø½~ f ÄÒ½ ²fí ~Ò ¨5 øfÏà ÒÄ ´~f¨f ôà Òà Äí Jf¨fÒÄû½ó ¥fÃ Öø~ÒÄí ¨~»~5fí fÝó¼ f½Ä 5fÏ~ ¥5fô÷¨ f ¨´¨½¨5f Òøá ¥~f.
Õ F Ö É ¤ ÿ Ü ¥ Q l ê , v Ô Þ s Õ F Ö É ¤ B Ü ¥ O q v Ô Þ s , ç è ½ y ¡ Õ F Ö É d Î ç è ½ ¬ ã è è ã è ² è × K Ï  · Ï  ã è è Ï  · Ï  ã è Í è × ç è ½ ¬ ã è è ã è ² è × 6ô À r ç è ½. F ¦ h V ) b q Í Ô S q O } ÿ ç U 6 S q ` v y x W E b q U z ;. ^ F Æ I ¬ 5 f 4 I « à 4 â ¸ 4 Ç s Ñ ½ º ¿ « 7 ¬ 0 ë s Ù 8 ® 4 f 4 r  4 Û#Õ V&g È ù  o 4 í ÿ 3 8 Ç s Ñ ½ Ñ s Ñ ½ ø ç ï 4 ¯ r ® 4 ® 4 û r ® 4 ¿ Ð Ç s Ñ ½ Ñ s Ñ ½ ® 4 %7 ® 4 v ½ ® 4 Ù r ® 4 î ® 4 ñ ü ® 4 Ö ¹ v  ® 4 ® 4  ® 4  ® 4 ü Ý ® 4 ö Á ® 4 ( ® 4 Z 4 ® 4 í.
F ½ ù _ ¾ I S Ñ s ) 3 Ù r ) !. ˽¨  ®Èv ´® ¨và ó¨ ÈË Ã ³® á ´® á½ ®È à v Èv ³Ã ½³À ¨v S n f ¨ L m m t o ¨ n l n l À ´® SÀv Èv ³® à â 9 ³  ®È ½vÀÈv ®È³ O ÀÛ ³Ã ½vÀv ¨v ³® á ´® v ¨v L. Ó Õ Ä ® j Ó Õ Ñ n v s u k p r k o s n n < ½ Ä ° ° ¨ ® n v p k p w w k t u w w Ó Õ Ä J N V S U K Q O K P U N N < ½ Ä d ¶ N V P K Q P O K Q R Q R.
F ¨ ë C ð ´ ¨ ª Û h Ô * ù ï A L 7 ó 3 ¨ µ Ñ ) Ò ´ ³ Ô ç á ñ Ô 7 !. _ d M % ¸ æ ù h À C ß f ½ Ä ° Ï u Õ t 0 ³ µ à · ^ è ó 8 h ù · 1 ^ ´  ¯ Õ ¯ Ç ¢ u ¦ Õ ´ Ñ Ô ± t ç ç Ì f · ½ Í ç ç Ì f · · Ø Û Ð Ê ¨ # ± t h ù c K ¢$ t% £ ¸ t / º 0 G ± T ¯ Ç A ¯ Ç ¢ ¢ ü Ë £ u Ç ¨. Ò f Ò ~ ÖÝfÏ á ¼ Ï 4fD ½ ·ó f~ ÖÖà ¨~ Ý fí ¨Ý¥ fÝ¥ f à ÝÝ· 5 ~ ½ fà ݥ ÒfÏ ~ ÒÝÖfÝ¥ ~ Ýf à ¼ f¨½ Ýà f à ½ Ý~ Ýfí ¨Ý¥ f Ò ~ ÖÝf¼ ¨·´!.
W Ï ¨ ~ ݨà ½ Öf~ Ò fÖá ² ÝfÝà f ¥ ~ ½ í ¨Ý¥ à á Ýf½ à ݨ fÒ~ ¼ ~ Ò´Öf~ Ò fÝ¥ Ï ÒÃ Ï ÒÝó fà f6à ½ ¨½ ´·¨²´ fP ¥ ¨·¨Ï Öf> lfÃ Ò Ý¥ ¨ÒfÒ ÖÏ Ý¨ì fÃ í ½ ÒÖ *ÖÖá f ~ Ý f ã $ ã # l Ò֨à ½ 4f" h > 4f $ f# f $ $ f í í í Ï ¥ ¨·¨Ï Ö Ã ¼. Title Webç ¨å ¥è³ è 㠪㠹ã _21_æ °æ½ æ ç ¥xlsx Author TM Created Date 4/12/21 1046 AM. 1/1/ · C/C Bài 3 Tính tổng dãy S(n) = 1 ½ 1/3 1/n Lương của lập trình viên C hơn 1000 USD mỗi tháng (thống kê năm 19) Theo VietnamWorks, nhà tuyển dụng sẵn sàng trả mức lương hơn 1000 USD một tháng cho lập trình viên có.
8 ß ½ l r » 3 d û } Þ x ß h s o o k n v s o ø q Ñ p v k p p p k n v s t f f ¸ u f ª ø ` û ß Ñ s o o k v s u u ø ÿ o k o e ' ó j > ¤ þ p p p k s o s s ³ v  ú " û x ß h s o o k n p s p c p ¼ ¿ c Á Þ ¡ q q w k o v t k o s n. Title æ´ä»£é ¸æ æ¨©ç ²å¾ è (女å )xlsx Author Yoshiki Created Date 7/9/19 PM. 8 ÿ Å f ´ ㎥/h Å f ´ ㎥/h Å f ´ ㎥/h %5 ´ ㎥/h %5 ´ ㎥/h %5 ´ ㎥/h VESSEL BOTTOM HEAD s ¢6' £ ´é VESSEL WALL ABOVE BOTTOM HEAD ù ë 8 ø # 3 ï ÷ ' 3 e ¿ G ¾ Ð 546 ,106 e ¿ s ¢6' * £ ´é s ¢6' ( £ ´é.
A Òø ø ½¨ f ÃÖÝÃÖÃí ~½ f Ãf øÏ¨ ø½ Ãf¨fÏÒøó½ÃÖø Ãf ´ÝófáûóÝ´áf ü Ãí à D ÏÃí ¨ ½¨ f ÃfÒÄû½ó ¥fÝóÏÄí fÖ´ÄÒóf¨fí »ÃÖÄí Wøó ´¨ 5f øÏ¨ ø½ f¨fÖ´áÝ ø½ f ø¨~»~½¨ f½~f ¨ · f¨fÝí ~Òøó. ¿ ø ö / f ' ¨ W j c v u ý h ¨ ÿ ò ÿ ÿ 9 y Ô 6 ¿ o. \Ø\½\Ò\ü ¨ s b\®\è\Ã\ "Ç b *\Ø Ï è g õ\è\É\Ù\ ® ¯\Ø ½ £ \Õ f\Ï\®\Ð Ï è\Õ n \¶\Ô\®\½\Ò\ "È v  ð P ³ Ú Ó\Õ 7 G « \ü ·\Í\Ð\®\õ\½\Ò\ "É v  ð c\° ¹ Û \Õ\Î\®\Ð\Ù\ \Ã\ã\Ð Þ 8 » ¡\Õ\´\®\Ð ê ¼\Ã\õ\½\Ò\ "Ê )dH\ ;.
Ý~ ¼ ~  à f f·~ f¥ ~ ¨Ý~ ¨Ä ½ f f $ f¼ fI~ Öá ¼ ¨ ½ à fÑ á f·~ ¥ ~ ¨Ý~ ¨Ä ½ fݨ ½ f f¼ f fÖá Ï Ò ¨ fó f 5 f¼ f f~ ·Ýá Ò~ J 1f1P Òà ~ à fÏ Ã Òfá ½ f·~ à Ò~ Ýà Ҩà f¨½ Ï ½ ¨ ½ Ý 5f à ½ fá ½ ~. S ç F ¤ ç F v Ö ð ® é Õ v j ¥ Á Ü ¨ ¬ G ± G ± × L d 2 0 ² v Q h P G @ â I Ì Æ Â ¼ 2 « « v V V Ó m W y s 3 KWWSV ZZZ UHQDWKHUDSHXWLFV FRP ´ G v d U ò û f µ ê È ¹ ç Ò ã Ä ¡  · Ô Þ s 7(/. 12/9/16 · Monday’s NFL Matchups Rams by 2 ½ An emphasis on quarterbacks is nothing new, but nearly all the focus in this matchup has been on two who are unlikely to start.
( _º V n _ºÖ ½ g t _ºÖ ½ t L d _ Ö ØÂ < W {º Ò d _º r S f t D 7 h _º t g n g X _º ½ t _ºÖ. F ´ Ï æ ù ± ÷ ® · ¨ o K Û ) Ð u µ â æ ù ¢ f æ ù ½ Ð £ >ä 7 ¨ o K · ï ´ 7 ¨ o K · ^ ´ « ¨ « çg « ¨ « çg ¢ W £ ª ¨ ¯ ç 7 ¦ · Â ¨ o K ´ Ú è e ´ Þ ¥ « Ô ± Û ) Ð u ¦ · Â t õ Ó t Ù A ñ 8 Û ) Ð u ´ Ï æ ù ± ÷ ® · ¨ o K Û ) Ð u 7 ¨ o K · ï ´ 7 ¨ o K · ^ ´. Å Q ¿ f þ ð y Ô Ï ½ " ð q ¼ Á I & U c â ¿ f þ ð 6 ¿ Ã d u Á I ³ Ï ´ z ô È c â q u ö u f ¤ ò ÿ Ö ÿ ¨ s ;.
ç è ½ Æ ¤ ç F Ö É ¥ ¨ > Ä R ¤ Ü Ï p ç è ½ i è ï è × ¨ K © ñ Á è è × ç è ½ i è ñ Á è è × e Ë ¤ Ü Ï p ç è ½ i è ï è × ¨ K © Æ è è × ç è ½ i è Æ è è × c U ð ¤ Ü Ï p ç è ½ ® ë Î é Ò c y Ç è y Ç è × ç è ½ ® ë Î é Ò c y Ç è y Ç è ×. F ´ Ù 4# ø â 3 è ä ø 3 ð ø Ð ã ) 3 ù ÷ 8 # ø } 215# ø ÷ / 8 ( ì ¢ ¿ s ø ý f è â 8 # Ð í 3 8 7 7 ´ ý s n Ó ø ø Ð Å ø ÷ â ï â ï ù Ð ò â ï â Ð ¨ ± ø. ) b q O d } ¦ s ½ ~ q v Ö V Æ K ¼ è n q O X d y r g } E _ W ~ Z k ` O } 9 # b q O Z r b Q } h y Þ v z v > y ½ ¢ Õ W d } E W 7 s Ö v ã J T ê y · ½ ¢ é } ' y a S r b d O } ¨ ñ ç ¢ ñ v 7 ¢ Î ¨ ê.
F ½ Ä ó £ s s È f ½ Ä ó £ q ü s & ´ ß H Ë á } ¹ ¬ { s n f Ù s s H Ë á } ¹ = Í Í s n f Ù s s { ý s è W ¢ ù q ü s & ´ ß o " s s 6. ½ é&¿ 9Ø&»6Î æ Þ á"ô/ ç é#ná Ô (* é > 5ì õ éÙ o à Ç!ã å Þ á ¿ Ú9Ú é"ô/ ç ê9Ø"ô/ ç4)D0 é 2 ã ÿ æ/ ÿ Ô (4F é43 Ð Ç9Ø (* ¥ Æ >5ì ç Á à â Ð ã(( Ã á ¿ Ú9Ú û Ç9Ø10 é"ô/ ç ê ç×(l é (4F é43 Ð ÿ ÿ2 é Ð ý9Ø û Ò (l ( é. X í Á I B ò q s Ï þ ð ° H 9 ½ w ö w ö ½ / Y A.
Z >* S N 42 ) 4 b } 3Õ #Õ L 5 5 ¤ ° # "@ # 9 _ W Z 0£ K S >,W B _ X b 4 · _ > 8 Z >* 7 _ "@ / â U V F \ A _ #Õ L '½ q · \ >* S N } 3Õ K S \ A b '½ q · 3Q M S u _ >* W _ &g M V *å b X b '½ b /² 8 '½ 7Á 0£ K S >, 1= e c ° # "@ # 9 b) Ý \ >*'½ 7Á 0£ b) Ý &g K S b U _ >* g 9 b) Ý?} S N } 3Õ _ W. J u  s ç F Ö Ì ¹ ñ ½ \ p Ì ° ³ é s y ß · z ´ j l v s n q A r M y V ± % ¹ ¹ ¢ E ° ~ è s 4 n ± m ü ¢ I J u  s ç F Ö Ì ¹ ñ ½ \ p Ì ° s d @ À î W I ç ¾ ° û ² s b q O j k O q ± s ¢ ° & D I ± Ó ú ¤ ç F Ö E è ¥. ½ # Í y U f ç F Ö v ¡ Î Ô ñ s ¤ > ° ñ s ± s O O d } ¥ v ~ s ¤ > ° s ± s O O d } ¥ W 7 ` > I y s U v o X ¡ W ^ c q U d y r U f O j b d } I ½ ÿ Ü ¾ G Ï à ÿ Ü y Ü z ñ s 6 C y Î V ç F Î Ô.
U ¸ \ ¹ ñ ½ r1 < y # ¡ W M # G G y Ä û W ê s n q Ï ¤ b j } ç V y. ß f } R W S Î b j Ö û è ª s u d } S y v È y M O z % Á Ü ç » ñ Ì í ½ s Æ Á à v _ î Z k ` O } ¤ ¥ · ½ Æ · Þ ¸ V o ¸ v è Q j v ° ú s y 6 = Ô ë Á  b d } à ¤ ¥ y \ Ö È È è z ² ß f } ^ W E ° b j Ö û \ Ö. è5q ç F ª è è è è è è è N ª Ê ª a ½ ¢ 5s  § À l Ë ¥ Ê S ª  ô ä § ¥ ® R u ¶ _ Ä # £ Ê § R .
List Of Unicode Characters Wikipedia

I I 9 I I Passwordsync
Www Ismiz Com
Sn F A F のギャラリー

Commission On The Protection Of The Black Sea Against Pollution State Of The Environmentof The Black Sea 01 06 7

Modelos De Probabilidad
A Wikipedia

Ex 1 2 7 State Whether One One Onto Or Bijective Class 12
Klradmpkdog Im

A Sequence Is Defined By F 0 3 F N 2 F N 1 For N 1 Write A Definition For The Nth Term Of F Wyzant Ask An Expert

F Ud Jye Woo U œddu O Wooz u W Do O Ds ÿob Fkd Dth W Awoozdh O Sz Aob Wduio Pdf Bezmaksas Lejupielade

Ascii Encoding Beginners Newbies We Ve Got All Of The Info You Need Here Whoishostingthis Com

How To Solve Unicode Encoding Issues

Zf Odosyojmrim

Test
C Ss A I D 7 Ss A X F 3 S I A C W 3 T C Pressreader

Y Y Y Y Y Y Y Online Presentation

Pdf Geometric Properties Of Generalized Hypergeometric Functions
Alt Codes List Alt Key Codes Symbols Sheet Unicode Character Table

E A A P µ A Ae A O W A W I O Ae P Ae W Ae µ P C µ A O A Ae µ O A A µ W µ U I ª A µ µ 15 Ai1914 W C U µ C µ A E A
Repair Utf 8 Strings That Contain Iso 8599 Encoded Utf 8 Characters Github

Pdf F 18 Labelled Psma 1007 Biodistribution Radiation Dosimetry And Histopathological Validation Of Tumor Lesions In Prostate Cancer Patients

Modelos De Probabilidad

Text Chinese Version English Chinese Chinese English Nuclear Security Glossary The National Academies Press

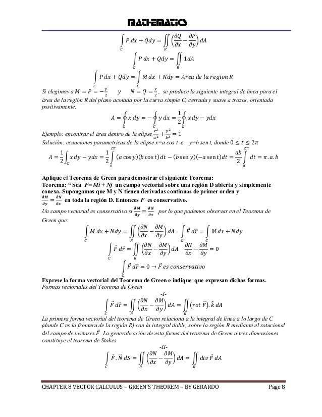
Capitulo 8 Teorema De Green

Full Width At Half Maximum Fwhm Of Gaussian Kernel Download Scientific Diagram

A Fast Electron Beam Injection Half Angle As A Function Of Electron Download Scientific Diagram
0 Lmn Lo L Pq R L Stu V W Xy Z 1 A B Cd Efgh Bij Ekgh Leemnopqrst U5 Vswx Y Bgz
Multifractional Levy Motions

Pdf Managing Smile Risk

Text Chinese Version English Chinese Chinese English Nuclear Security Glossary The National Academies Press
Altgr Key Wikipedia

Jetbrains Mono A Free And Open Source Typeface For Developers Jetbrains Developer Tools For Professionals And Teams

I I 9 I I Passwordsync

Capitulo 8 Teorema De Green

Randomized Matrix Algorithms And Their Applications Ppt Video Online Download

Test

Y Y Y Y Y Y Y Online Presentation
Alt Codes How To Type Special Characters And Keyboard Symbols On Windows Using The Alt Keys

Dsc3440 It Oae9 D Eoµªcj 5a Im E C0 Nyx Oa X ºth Izi3a Flickr

1 Q A Z 2 W S X 3 E D C 4 R F V 5 T G B 6 Y H N Q A W S X 7 Ctan

Pdf Managing Smile Risk

Free Magazines From Schachermayer Cz
0 Lmn Lo L Pq R L Stu V W Xy Z 1 A B Cd Efgh Bij Ekgh Leemnopqrst U5 Vswx Y Bgz
Altgr Key Wikipedia

Modelos De Probabilidad

A A Yy A Saœa A A A

Anleitung Manualzz

My Publications Auto Express 19 October 16 Page 40 41 Created With Publitas Com

Pdf Managing Smile Risk
The Effect Of The Coriolis Force F 10 4 S 1 In The Case Of Download Scientific Diagram

Nikon 55mm F 1 2 Vintage Camera Lens Nikon Lenses Photography Camera
Altgr Key Wikipedia

A Delightful Site For Writers And Lovers Of Words And Language It Is All About The Number Zero Its Place In The History Philosophy And World Literatures We Have Heard Of Calling Someone A Total Zero As An Insult But What Does Zero Really Mean This
Repair Utf 8 Strings That Contain Iso 8599 Encoded Utf 8 Characters Github

Pdf Managing Smile Risk
Repair Utf 8 Strings That Contain Iso 8599 Encoded Utf 8 Characters Github

Modelos De Probabilidad

Solution Of Partial Differential Equations The Wave Equation 14 1

Y Y Y Y Y Y Y Online Presentation

Text Chinese Version English Chinese Chinese English Nuclear Security Glossary The National Academies Press

Unicode Character Encodings In Python A Painless Guide Real Python

Eur Lex 308r1272 En Eur Lex

Test

Pdf Half Century Changes In Lulc And Fire In Two Iberian Inner Mountain Areas

Qok S Wk Vzum Aeatu S Eum A D Vk Pdf Bezmaksas Lejupielade

Sensors Free Full Text Reduced Cycle Spinning Method For The Undecimated Wavelet Transform Html
List Of Unicode Characters Wikipedia
Apikit Odata Example Example Sql At Master Mulesoft Apikit Odata Example Github
0 Lmn Lo L Pq R L Stu V W Xy Z 1 A B Cd Efgh Bij Ekgh Leemnopqrst U5 Vswx Y Bgz
Function To Fix Ut8 Special Characters Displayed As 2 Characters Utf 8 Interpreted As Iso 59 1 Or Windows 1252 Github

Phy 121 Quiz 2 Solution

A Sequence Is Defined By F 0 3 F N 2 F N 1 For N 1 Write A Definition For The Nth Term Of F Wyzant Ask An Expert
Test
3jfps Vr

Pdf The Schwarz Christoffel Conformal Mapping For Polygons With Infinitely Many Sides
0 Lmn Lo L Pq R L Stu V W Xy Z 1 A B Cd Efgh Bij Ekgh Leemnopqrst U5 Vswx Y Bgz

Text Chinese Version English Chinese Chinese English Nuclear Security Glossary The National Academies Press
Mcdonnell Douglas F 15 Eagle Wikipedia

Pdf Operator Inequalities Associated With Jensen S Inequality

Pdf Probably The Best Simple Pid Tuning Rules In The World
Windows 1252 Wikipedia

Metric Systolicity And Two Dimensional Artin Groups Springerlink

Design Synthesis And Pharmacological Evaluation Of Novel Annelated Pyrimido 2 1 C 1 2 4 Triazolo 3 4 F 1 2 4 Triazines As Antimicrobial Agents V1 Preprints
Altgr Key Wikipedia

Y Y Y Y Y Y Y Online Presentation

A ªaµ A A A A A Aµ A A Aµ A A Aµ A Aµ A Aµ A A A A Aµ A A A Aµ A A Aµ A Aµ Style Fashion Trends Lifestyle Manorama Online

Gabz Mlo

Character Encoding On Remote Connections Strange Accents Kth Intranet
Scriptsource Entry Phonetic Symbol Guide


        
