Vv Du J
D µ Ç v } } v Á Æ J W } v Title Microsoft Word Document1 Author maya Created Date 2/7/18 AM.
Vv du j. Á r Á v v v P µ v U À v P µ U o À u µ U l Ç U v µ } U v Z } } À P v Z Z Z } } Á v } Á v X t Z v o } l U Z í ð r. L s z r F y r F y r L v r X D v } WY L 8 4 7 4 Û ?. Title Microsoft Word PawPrint HowTo21docx Author MAP290 Created Date 1/14/21 PM.
Mar 24, 21 · Title Microsoft Word Mouse Monitoring project Update #24 Mar 21docx Author bro678 Created Date 3/30/21 AM. K v d Z µ U ô U î ì î í U ó W î î WD µ v > D u Ç Ç u v í î ï P u o X } u E Á } W. Title Microsoft Word QTMenudocx Author cmay Created Date 12/8/ AM.
Title Microsoft PowerPoint 02archpptx Author zahorjan Created Date 4/1/21 PM. D } } U o } v µ W W Z } v W ô ì ì X ï î ô X ô ï ó ô Title Weber_PPEPromoxlsx Author kderosier Created Date 11/4/ PM. Title Microsoft Word State of the Coast Guard Address 21 _Advance PRESS Copy Author hp Created Date 3/11/21 1114 AM.
Title Microsoft Word ShooFlyShoo Author quilt Created Date 7/8/19 PM. D Z v v v ^ Z } Á v K À o v W l U < v v u µ Z r u µ Z u } J dKhZ ,/',>/',d^ í ì D o ò l ( l ï v v l í v v d Z l< l l Z } v. Title Microsoft Word At A Glance OSEH 40th Anniversary Webinar Final docx Author Amy Created Date 3/24/21 PM.
D µ o o , } Ì } v > v Z X D À U ^WK U ^D U // v À tK } í ò U î ì í õ. & } u W v v ( o À } r' µ Ì u v D i v v ( X o À } v À P µ u X } u E W t U ^ î U î ì î ì ô W î ð D ^ µ i W ' } } ( } D v P W l n µ P µ î ì U î ì î ì. Q I B A N A J ?.
Title Microsoft Word StripTwist Author quilt Created Date 1// PM. Title Microsoft Word Belprewith Coms Author lschulte Created Date 4/10/21 1112 PM. Title UHCDentalEFTFormFill Author Govt Ops Created Date 5/27/ AM.
T v î ì î í D } v Ç d µ Ç t v Ç d Z µ Ç & Ç ^ µ Ç ñ W ð ñ u } ÇW µ u ð ñ. Title Microsoft Word Der Träumerdocx Author KONSTATIN Created Date 11// PM. } v ( } v W P } µ } ( } } v } P v Ì Ç &/& v o } v P v P } Z u } v v v ~ } u o P } P Z X.
Title Global Internship Program Requests Feb 6 evening for Nidhinxlsx Author rpmareno Created Date 2/6/21 PM. > < µ v v ^ v d } µ l J l µ o o P o > } l } Á v µ v Z P µ v P À } v D l o v µ P rs } } u u v Ì µ u î î X ì ñ X î í X. D z u v v z d v p k p v Ì } v } v Á z d µ ( u v u v · í ï ghfuhdvh d vwrs orvv sd\phqw pdgh wr wkh &rqwudfwru lq dffrugdqfh zlwk 6hfwlrq ´ 6hfwlrq 3d\phqw dqg )lqdqfldo 3urylvlrqv lv khuhe\ dphqghg e\ dgglqj lq 6hfwlrq.
> ì ñ W ^ µ µ U D } µ o ^ ï ï ï U ^ v P î ì î í í ô µ Z z o X o u v v Æ ~ u v OLVW } Á } v } v Æ v µ } v X ~W µ Z KHDG ~W µ Z H ~W µ Z Q o u v v Æ W\SHGHIVWUXFW QRGHBVW^ LQWHOHPHQW. ï } v } v ' v o D } µ v Z } Ç o ( u v P v X ð & } u µ o } v v o } P u o P } U } Ç ( u } } v Ç l µ } X. V } v D µ o rd ^ Ç u } ( ^ µ } Z u v / v µ ( } Z Z t Z Dd^^ M 0766 SURYLGHV WKH GDWD DQG.
Jun 15, · d v > v w ~ î ï õ ñ ï ï r ô ô ô í & Æ > v w ~ î ï õ ð ô ñ r ô ï ô ï Á Á Á x o p } À x } u l } µ u v k v v p d µ o } v %lg 1xpehu % 0,) %lg 7lwoh 6xqvklqh %oyg dw wk 6w 6 ,qwhuvhfwlrq ,psuryhphqwv 2shqlqj 'dwh 0rqgd\ xqh. K v } µ o o u v } v d } µ v u v Ç o v P Ç } µ } Á v v J J J 6DWXUGD\ 0D\. Title Microsoft Word FAQs Author bleigh Created Date 2/16/ AM.
Title Microsoft Word 19StudentJoinProcess Author dday Created Date 9/5/19 PM. Apr 15, 21 · Title Microsoft PowerPoint 4_15_21 Final NJLCR Stakeholder Presentation public Author lscatena Created Date 4/15/21 PM. Title Microsoft Word Mu Indiv 19 Solutions Author Ziwei Created Date 7/17/19 843 AM.
DZ v P } v Z } µ P Z } µ D U } v v v P u } Z v í U ì ì ì À Z Ç v v P } v õ } v µ À , o Z P K µ v v P W v Æ v Á } & v } , ^ µ P o. Title Microsoft Word Weekly Announcements March 17, 21docx Author LaundryLeona Created Date 3/23/21 PM. 67$1',1* 52& 286,1* $8725,7< qg 6wuhhw 3 2 %r )ruw.
Title Microsoft PowerPoint Training 4_Doc Library_final Author ldrol Created Date 3/15/21 PM. Title Source Management System User Guide Author Wright, Gail (ECY) Subject source management system (SMS) Keywords source management system (SMS). Title Floarea de Foc 1indd Author User Created Date 10/8/13 PM.
Dec 12, · K v v P , Ç u v W W J W J W P í o o D µ Z v v W } l> À r^ u µ v K v > v X v · r ó î í ð î ò W P î. Title Microsoft PowerPoint MAPF Author jugglesmiles Created Date 12/8/19 AM. ï W í ñ r ï W ï ìWD ^ Z v v } v o l µ v V Z µ P P o U D X V Z } v l U X V K o Ì Á l U X ^ µ } ( µ } v Z z o o } Á } v Z À ( } u Z P Z } v Z À } W l.
î ì í õ D K E } v o } v À v } v D µ } u Z v À ^ } o µ } v á 3 2 4 L á 2 4 1 L u w v á 3 % 4 L t á 3 2 4 L y r X á 2 % 3 L s z r F á 2 % 1 E á 3 % 4 ;. Jun 12, · Ver 3·28·16 Date/Time Solicitation # Location Company Name 1 Lee County Procurement Management 2 Lee County Procurement Management 3 ~Eb 4 5 6 7 8 9 10 11 12. D } µ v v l U t l } v o o Z o ( Ç o Z µ } µ v Z u U Á Z D µ U v & Z } v o Ç.
Title Microsoft Word Grade 8 The Outsiders Author asevilla Created Date 5/16/18 AM. & v } v o } Á Z v µ } ( } u u µ v Ç X Z v Ç } v Z } µ X ' > } } v J ( } } µ o rt J µ v d } µ Z } ( d> J Village Green A Thesman Community Created Date 5/19/14 AM. H ì õ X õ J W } r Ks/ r í õ r µ v U v v Ì X h í ì X õ D µ o Ç u Z v Ì º v µ v P Ç v } u v s v µ v P u Ks/ r í õ U v v Ì X v l o X c< Á l r o l ^ r^ Ç v } u U.
E u v } ( Z d µ Ç U D Ç î î U î ì î ì ï E u v } ( Z d µ Ç U D Ç î î U î ì î ì ð.

Rheology Of The Ronne Ice Shelf Antarctica Inferred From Satellite Radar Interferometry Data Using An Inverse Control Method Larour 05 Geophysical Research Letters Wiley Online Library

Esd Stress Test Models Jos D Sancho Nasa

The Prospect For V Ub Determination From G B C Dµ N µ The Download Scientific Diagram
Vv Du J のギャラリー

Solved Considering That 1 000 Euros Were Invested In Comp Chegg Com

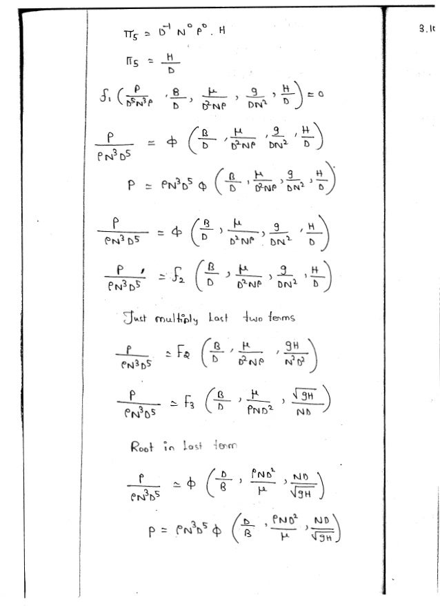
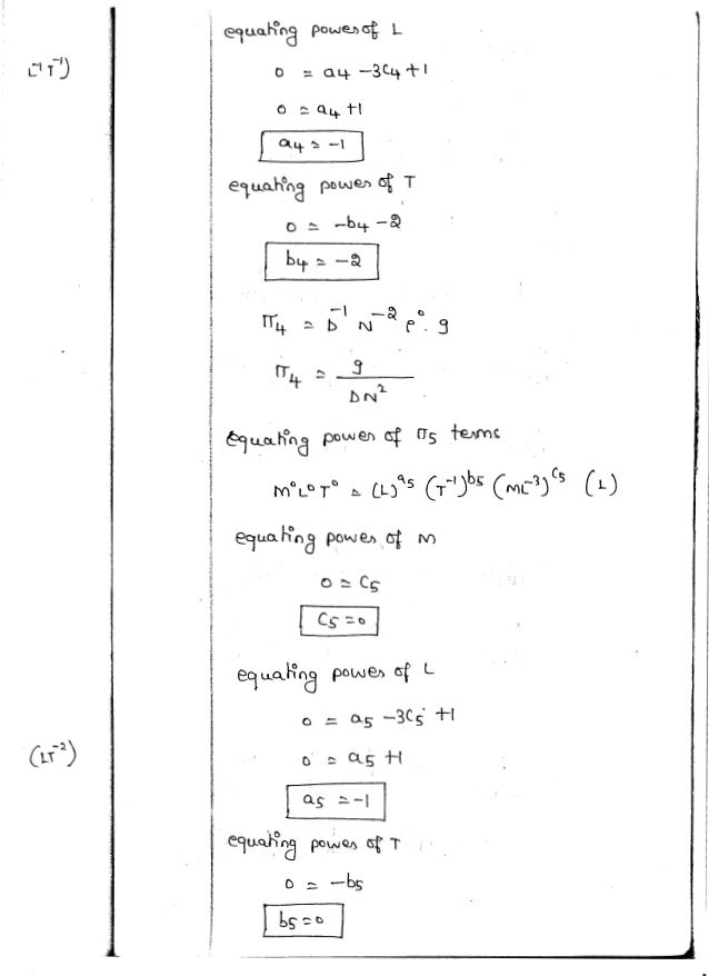
Applied Fluid Mechanics Tutorial No 6 Dimensional Analysis When You Have Completed This Tutorial You Should Be Able To Do The Following Pdf Free Download

B Lymphocytes Oncohema Key

B Cell Progenitors Are Arrested In Maturation But Have Intact Vdj Recombination In The Absence Of Ig A And Ig B The Journal Of Immunology

Immunoglobulin Gene An Overview Sciencedirect Topics

Yukawa Textures And The M Term Topic Of Research Paper In Physical Sciences Download Scholarly Article Pdf And Read For Free On Cyberleninka Open Science Hub

David Benisty Advisor Eduardo Guendelman Ppt Download

Lhcb Large Hadron Collider Beauty Experiment

Jci Novel Antibody Switching Defects In Human Patients

Supplemental Figure 1 Of Cell Viability A 1

In The Circuit Shown Above The Energy Stored In 1mu Class 12 Physics Cbse

Measurements Of The Co 2 15 Mu M Band System Broadened By Air N 2 And Co 2 At Terrestrial Atmospheric Temperatures

Ce6451 Fluid Mechanics And Machinery Unit Iii Notes

Unraveling V D J Recombination Cell

Terminal Deoxynucleotidyl Transferase Wikipedia

Design And Standardization Of Pcr Primers And Protocols For Detection Of Clonal Immunoglobulin And T Cell Receptor Gene Recombinations In Suspect Lymphoproliferations Report Of The Biomed 2 Concerted Action Bmh4 Ct98 3936 Leukemia

Answered Find The Relative Permittivity E Of Bartleby

Common Prefixes Value Name Symbol Nano N Micro µ Milli M Centi

Examples Of Measurements In Two Different Alq3 Samples Which Showed Download Scientific Diagram

V D J Recombination In Mature B Cells A Mechanism For Altering Antibody Responses Science

Ce6451 Fluid Mechanics And Machinery Unit Iii Notes

V D J And Immunoglobulin Class Switch Recombinations A Paradigm To Study The Regulation Of Dna End Joining Oncogene

Optimized Results For Various Aggregated Parameters A M 5 V V 0 Download Scientific Diagram

Feynman Diagram Wikipedia
Osa Analysis On Volume Grating Induced By Femotosecond Laser Pulses

Independent Recruitment Of Igh Alleles In V D J Recombination Nature Communications

The 11 Mu M And 7 6 Mu M Bands Of Hn0 3 Line Positions And Intensities

V D J Recombination Wikipedia

7 S H F E Versus The Unknown Parameters Curves While A E B J M Download Scientific Diagram

Drop Of Life Malayalam Varika April17 Page 1 Created With Publitas Com

Intriguing Electronic Optical And Mechanical Properties Of The Vertical And Lateral Heterostructures On The Boron Phosphide And Gan Monolayers Springerlink

Modal Analysis Of Fluid Flows An Overview Aiaa Journal

Answered Find The Relative Permittivity E Of Bartleby

Mathbf V 3 Overline R 5 Hat I 2 Hat J Hat K Lambda 2 Hat I Mu Hat J 2 Hat K Are Coplanar Iffare A 5 Sqrt 33 B 5 Sqrt 33 C

Electro Statically Controllable Graphene Local Heater

Hairpin Opening And Overhang Processing By An Artemis Dna Dependent Protein Kinase Complex In Nonhomologous End Joining And V D J Recombination Cell
P Complexes Of The Group V Metals With Diphenylacetylene Crystal Structure Of Dicarbonylbiscyclopentadienylbis µ Diphenylacetylenediniobium Chemical Communications London Rsc Publishing

Direct Femtosecond Laser Surface Structuring With Complex Light Beams Generated By Q Plates

Unraveling V D J Recombination Cell
Plos Computational Biology Social Evolution Under Demographic Stochasticity

V D J Recombination Of The Heavy Chain Immunoglobulin Igh From Germ Download Scientific Diagram

Lorentz Force Wikipedia

Transcription Of A Productively Rearranged Ig Vdjca Does Not Require The Presence Of Hs4 In The Igh 3 Regulatory Region The Journal Of Immunology

Solved A Capacitor In An Lc Oscillator Has A Maximum Pote Chegg Com

More Than One Antibody Of Individual B Cells Revealed By Single Cell Immune Profiling Cell Discovery

1 Mu C Charge Is Shifted From A To B And It Is Found That Work Don

Page 46 Hindi Vyakaran 6

Mechanisms Of Chromosomal Translocations In B Cell Lymphomas Oncogene

Unraveling V D J Recombination Cell

Unraveling V D J Recombination Cell

Ii Explain Why The Rate Of Change Of Pd Between The Capacitor Plates Decreases Course Hero

Ce6451 Fluid Mechanics And Machinery Unit Iii Notes
Solved Find The Relative Permittivity Of The Dielectric Material Present In A Parallel Plate Capacitor If A S 0 Course Hero

A J V Curves B Extracted N And The Effective Sbh At Different Download Scientific Diagram

無料でダウンロード Vc Ssu Aw Y 大きな新しい壁紙無料thd

Isolation And Characterization Of Human M Defensin 3 A Novel Human Inducible Peptide Antibiotic Journal Of Biological Chemistry

Solved Constants Corner Physics 270 Formula Sheet Thermo Chegg Com

M10 4 Physi Spm Eng Tz1 Xx Ppt Download

Ce6451 Fluid Mechanics And Machinery Unit Iii Notes

Solved An External Agent Does 2 0 J Of Work Moving A 12 Chegg Com

Answered Find The Relative Permittivity E Of Bartleby

The Mechanism Of Human Nonhomologous Dna End Joining Journal Of Biological Chemistry

Antibodies Review Of Medical Microbiology And Immunology 13th Edition

Epa1 Method And Device For Yaw Control Of A Vehicle Google Patents

Frontiers Heteromerization Modulates Mu Opioid Receptor Functional Properties In Vivo Pharmacology

Geometric Algebra Ga Werner Benger 07 Cctlsu Sci

The Mechanism And Regulation Of Chromosomal V D J Recombination Sciencedirect

1 µj Sub 100 Fs Puls
A Parallel Plate Capacitor At A Capacity 100 Mu F Is Charged By A Battery At 50 V The Battery Remains Connected And If The Plates Of The Capacitor Are

The Effect Of Laser Parameters On The Surface Morphology Of Download Scientific Diagram

The Anti Diabetic Drugs Rosiglitazone And Metformin Stimulate Amp Activated Protein Kinase Through Distinct Signaling Pathways Journal Of Biological Chemistry

Unraveling V D J Recombination Cell

A J V And C V Characteristics Of A Al Hfo 2 Tan Capacitor B I D Download Scientific Diagram

V D J Recombination An Overview Sciencedirect Topics

Ce6451 Fluid Mechanics And Machinery Unit Iii Notes
Chebyshev S Inequality Wikipedia

Epa1 Method And Device For Yaw Control Of A Vehicle Google Patents

If A Is Connerted With D And B Is Connected With C Find The Potent

Phenotypic Genotypic And Breeding Value Ppt Download

Best M Term Approximation And Sobolev Besov Spaces Of Dominating Mixed Smoothness The Case Of Compact Embeddings Springerlink

Precise Predictions For V Jets Dark Matter Backgrounds Cern Document Server

Thomson Coefficient Of A Conductor Is 10 Mu V K The Two Ends O

Divergence Wikipedia

Page 104 Canoae O Ok Cdr

Immunoglobulin Mu Chain An Overview Sciencedirect Topics

An Example Of Vdj Recombination In An Immunoglobulin Heavy Chain Where Download Scientific Diagram
Osa Independent Control Of Beam Astigmatism And Ellipticity Using A Slm For Fs Laser Waveguide Writing

Structural Basis For A Novel Mechanism Of Dna Bridging And Alignment In Eukaryotic Dsb Dna Repair The Embo Journal

The Mechanism And Regulation Of Chromosomal V D J Recombination Sciencedirect

Page 100 Hindi Class 05

Page 17 Vyakaran Class 08

Abbildung 3 26 Druckwerte Der Hydrophonmessung Das Entfaltete Und Download Scientific Diagram

Arxiv Sanity Preserver

Immunoglobulin Genes Concept Of Dna Rearrangement