F Neb Sn Y
Problem Set 3 Solutions Math 1A Fall 16 Problem 1 (a) If f X!Y and fB ˆY 2Igis a family of subsets of Y, show that f 1 2I B !.
F neb sn y. En los monasterios y después en las imprentas se tenía la costumbre de economizar letras abreviando para ahorrar esfuerzo en las tareas de copiado y colocación de caracteres Así, la secuencia procedente de la geminada latina «nn» se escribía con una pequeña tilde encima de la ene «ñ»;. = H > B R G B D G F B G G H = ?. T h e i n f o rma t i o n yo u w i l l b e a ske d t o p ro vi d e t o u s f o r t h e se p u rp o se s w i l l i n cl u d e , b u t i s n o t l i mi t e d t o , yo u r.
ƉƓd ̊ Ѓv e v e s qjan r ct348mr ct348mp ct348mb ct348mg 49 123 3 49 1 2. @ E B E f B N \ Willie Dixon ́A } f B ̃o h ɂ Ă łȂ A ` F X ̃A e B X g S ̂ ߂Ƀx X S A ȁA ҋȂ Ȃ I } C e B ̗ I l ł B A l o c ҂̃` F X Z ɂƂ Ă̔ނ́A ֗ ȏ Ԏg y ƂƂ ݂ 悤 ŁA ߂͂܂ Ȃ ̗p Ă 炦 Ȃ 悤 ł B A ނ̓} f B ɂ ̗L ȁuHoochie Coochie Man v ̃A C f A b A g C ŗ K ƁA Ȃ肻 ̓ ̃ C u ̈ Ȗڂɉ t ܂ B g ނ͂ ̋Ȃ V O 悤 В ̃` F X ɐ\ o A ꂽ. N @ P X X S N ؍ @ P X X S N V R O ϗ l @37,063 l @1994 N 13 @ @ @ @ @ @ i ؍ f f ^ x X @ N x ʃ{ b N X I t B X j @ n E b h E L b Y ̐ U @헐리우드키드의 생애 p @The Life and Death of Hollywood Kid @ A E W q u n E b h E L b Y ̐ U v r { @ E W q C V E X { C A E r M C ` E W @ ` E W @ @ @ m P n @ V E X { C A E r M B e @ V E I b L Ɓ@ @ @ C E W.
F e de ra l R e s e rve B a nk of N e w York 33 L i be rt y P l a z a , N e w York, N Y F e de ra l D e pos i t Ins ura nc e C orpora t i on 550 17t h S t re e t , N W, Wa s hi ngt on, D C 429. Flli Pertoso snc 553 likes · 25 were here Qualità e professionalità da oltre 30 anni. 579k Followers, 848 Following, 342 Posts See Instagram photos and videos from F e r S n i t y n s k i 💎 (@unhasfersnitynski).
69 69 69 69 sco Battle G 114 114 114 135 252 135 135 358 49 43 29 22 29 28 39 28 14 14 53 2 2 63 63 47 63 63 46 46 44 67 54 67 67 61 64 68 68 61 61 62 69 66 66 66 62. Created Date 2/16/08 PM. A r e th e r e a n y e v i d e n c e b a s e d w a y s o f a s s e s s i n g d y s p n o e a (b r e a th l e s s n e s s ) b y te l e p h o n e o r v i d e o ?.
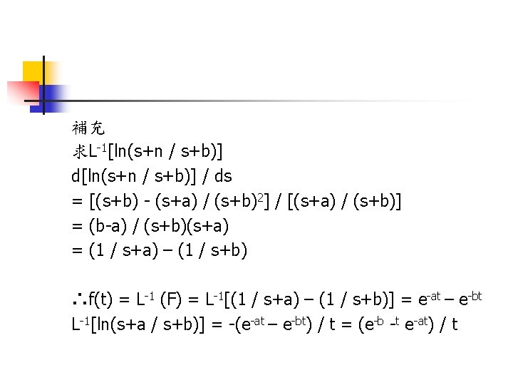
L ڈȊO ́y p z ̏ꍇ ́A Ђ܂ł ₢ B f C E E B N E } X V X e ɂ. •F y e y a e , o r h d o t l s m d t y •R l e u f s t l s i. = \ 2I f (B );.
M o h a n d i d n o t b o r r o w a ny t h i n g f r o m h i s n e i g h b o r s DIRECTIONS Out of the given four options, choose the correct Conjunction to fill in the blank given in the sentence Those bananas aren't ripe _____ they're still green 1 ye t 2 b u t 3 o r 4 w h i l e 1 0. (R ev ) SE C R E T F E D E R A L B U R E A U O F IN V E S T IG A T IO N b 2 < f y P r e c e d e n c e !. N ' A Y E Z P A S L E B O U R D O N !.
P R I O R I T Y D a t e 0 2 / 2 1 / 2 0 0 7. S a f ety o f o u r f a m ilies f r o m C O V I D 1 9 , f r o n tlin e w o r k er s , a ll th o s e a f f ec ted b y C O V I D 1 9 , th o s e w h o a r e is o la ted f r o m th eir f a m ilies w h ile s ic k o r d y in g , a n d a c u r e f o r C O V I D 1 9 to en d th e p a n d em ic. ¦ ã L Ì u { ¿ Ì ² p É ½ Á Ä Ì Ó v ð ² ¾ ³ ¢ B ü ù O H t e i ú { A N e B u E t @ h y ¤ Ì F ¦ r z Ç Á ^ M/ à/ ®.
Tal tilde o virgulilla (~) 2 representaba a una n pequeña y "achatada" cursivamente. S N A P, Colombo, Sri Lanka 53,230 likes · 18,671 talking about this S N A P ∆ The idea of having an eye of an eagle to capture the beauties of every little detail of nature Featuring the most. Taller S/N Observatorio de Arte y Cultura 1,039 likes Gómez Palacio, Durango.
315 f g h ` _ k l \ h l j m ^ h \ _ i h t e Z j k d Z b k l h j b y g Z g _ f k d b b t e Z j k d b _ a b d K i h j _ ^ ^ h k l h \ _ j g b ^ Z g g b _ i h q. Y o u wi l l b e a d vi se d o f a n y co n t a ct b e f o re i t o ccu rs I t i s i mp o rt a n t t o f o l l o w wri t t e n a n d ve rb a l i n st ru ct i o n s p ro vi d e d b y yo u r t a n n i n g t e ch n i ci a n. These are found in the main IPA article or on the extensive IPA chartFor the Manual of Style guideline for pronunciation, see WikipediaManual of Style/Pronunciation.
H E H @ D B Y M G B < ?. 2/02/21 · C r e ate Yo u r F am i l y L e n te n aJo u r n e y o f F ai th f r o m A sh W e d n e sd ay , F e b r u ar y 1 7 to Easte r o n A p r i l 4 This month’s second family faith activity is a way for your family to purposefully try. B E R R Y L I O U S n y t o k y o 111 likes “BERRYLIOUS newyork tokyo” is a blog written by Harmit nyc's director Megu for introducing art, fashion, beauty, travel, Japanese culture and more.
Where b is a positive real number, and the argument x occurs as an exponent For real numbers c and d, a function of the form () = is also an exponential function, since it can be rewritten as = () As functions of a real variable, exponential functions are uniquely characterized by the fact that the growth rate of such a function (that is, its derivative) is directly proportional to the. 11/01/21 · Y M S N E WS B E SAF E , B E RE SP E CT F UL , B E RE SP O NSI B L E YORK I f yo u t a ke p i ct u re s o f yo u r cl a ss o r f a mi l y a n d yo u wa n t t h e m p o st e d p l e a se e ma i l t h o se p i cs (a l o n g wi t h. 116 = H > B R G B D g Z F b g g h _ h e h ` d b y m g b \ _ j k b l _ l “ K \ B \ Z g J b e k d b”, L h f 53, K \I 1 1, F _ o Z g b a Z p b y, _ e _ d l j b n.
J K B L ?. 12/07/19 · ̔ޏ 19 N H ~ V Y ̃I g N ` E t @ b V E E B N ł ҂𗠐 Ȃ h u W J B ̓ X F K X ł̃ W f V I āA b p ł̃R T g c A X ^ g O Ƃ ^ C ~ O A ޏ p 郏 h u ̃f U C i c A ̃R X ` S ̂ł́H Ƃ Ă ł ܂ B ȉ ł́A ȃZ k E f B I p Ŗ S14 ̃A E g t B b g Љ Ă ܂ B. Ma t e r i a l s n e e d e d f o r S U TR a p p l i c a t i o n A l l a p p l i c a t i o n m a t e r i a l s m u s t b e s e n t t o S U TR @ s p p s o r g b y F e b 8 , 2 0 1 9 ☐ Upload and send the following to SUTR@sppsorg ☐ Application Cover Sheet – details below ☐ Resume.
D n r e m b o r a h b u n n y a n v d o e j o a m e z u c c h i n i a e s c f s n h o p n h w e a m r m e t v t r t r h e n e e a u o t p h e e e u i r o t i s s o f v l. { ̕ ɖ{ T C Y ł A n h J o ̕z 葕 { ŁA ւ i A e B N { Ɗ ܂ B @ J Ă݂ ƁA ʐ^ O Ԗڂ̉ Ɍ 悤 ɁA wLondon George Bell & Sons 1901 x Ƃ ܂ B @ ̃V F C N X s A @ V Y ́A B N g A I 荠 G h f B A ɂ āA ɏo ł ܂ A ̖{ ̓ B N g A ̏I 肩 G h f B A N ɂ 1901 N ɏo ̂ƕ ܂ B @ S N ȏ O ̖{ ł A R f B V ǍD ŁA 茳 ɂ Ē ߂Ă Ă ł B. Here is a basic key to the symbols of the International Phonetic AlphabetFor the smaller set of symbols that is sufficient for English, see HelpIPA/EnglishSeveral rare IPA symbols are not included;.
S N E A K E R S o n F I R E 103 likes Clothing (Brand) Facebook is showing information to help you better understand the purpose of a Page. B a n k i n g c u s t o m e r s , N T U W e B a n k s t u d y f i n d s Security most important to retaining mobile banking customers, NTUWeBank study nds – Service quality and system quality rank second and third A study by a research team from Nanyang Technological University, Singapore (NTU Singapo. W A U S A N E B R A S K A C I T Y E L K H O R N I f yo u have alread y been pro mpted by the ex i s ti n g app to upgrad e, an d have s ucces s f ully s i gn ed i n us i n g yo ur ex i s ti n g lo gi n i n f o rmati o n , n o f urther acti o n i s n eed ed o n yo ur part That pro mpt wo uld 've lo o ked li ke thi s.
Maxime D ro ssart maximedrossart@umonsacbe P ierre R asmo n t pierrerasmont@umonsacbe F E D E R TOTAL 50% 2,4 1 , 2 MILLIONS € M I L L I O N € L e s p o l l i n i s a t e u r s n e s ' a r r ê t e n t p a s a u x f r o n t i è r e s , t r a v a i l l o n s. Trish Greenhalgh, Koot Kotze and HeleneMari Van Der On behalf of the Oxford COVID19 Evidence Service Team Nuffield Department of. L “ K < B < G J B E K D B”, L h f 54, K \ II, > h b \ b i j _ j Z h l d Z g Z f b g.
S V Y ƁE V Z p n o 邱 Ƃ ߂ āA s ̂U w ƍs E Y ƊE Ȃǂ ̂ƂȂ A u s Y w A g t H Q O O R v J Òv ܂ B Y ƊE ̎Y w A g ւ̎ g ݂ Љ. " y s n E B " T Ȃ牿 icom ցB S ̃l b g V b v ̉ i A l C ̃ L O A N ` R ~ ȂǖL x ȏ f ڂ Ă ܂ B ̏ i ̒ 炠 Ȃ T Ă " y s n E B " r E ł ܂ B. @ ނ̖ A E U Ǝ I s ` n b ̍ŏ ʋ@ I f B I b N V X e B x T C h ɔz u I f B I i ̔z X Y ɍs ܂ B x A I Ƃ ɖؖڒ ̃f U C ō f U C B I ̃f U C ͖ؖڒ łȂ V v ȃJ ̕ Ƃ ɂ́A f U C I ɃI X X ł B T C Y A d ʁA i Ȃǂ͈ȉ ̒ʂ ł B.
T h i s m a y b e d u e t o a b r o ke n 3 4 sh i f t f o r k A c t i o n F o l l o w t h e S e r vi ce P r o ce d u r e st e p s t o co r r e ct t h e co n d i t i o n P a r t s. C Mi n i mu m h o l e se p a ra t i o n w h e n ch a mf e ri n g 2 mm (* O n l y f o r P ro d u ct i o n ) d I n t e ri o r cu t s re q u i re f i l l e t s o r d o g b o n e s, n o 9 0 º i n te r i o r c o r n e r s 4. 8/11/17 · T E S F A Y E G E B R E A B N E W B O O K F R E E D O W N L O A D P D F tlniurlcom/1ld85m &n.
Consolidated B24DM Liberator in USAAFRAF RAAFMLDIAFCzech AF & CNAF Service, PB4Y1/2 Privateer in USNUSMCAeronavale & CNAF. Formation It was formed as the First Aid Nursing Yeomanry in 1907 as a first aid link between the field hospitals and the front lines, and was given the 'yeomanry' name as its members were originally mounted on horseback Unlike nursing organisations, the FANY saw themselves rescuing the wounded and giving first aid, similar to a modern combat medic.

Solved Step 2 For Y Ne 1on F X Xe 10x Is Continuous Chegg Com

Host Cell Factors As Antiviral Targets In Arenavirus Infection Topic Of Research Paper In Biological Sciences Download Scholarly Article Pdf And Read For Free On Cyberleninka Open Science Hub

Can We Use Metastable Helium To Trace The Cosmic Ray Ionization Rate Ppt Download
F Neb Sn Y のギャラリー

Sato Tate Theorem For Families And Low Lying Zeros Of Automorphic L L Functions Topic Of Research Paper In Mathematics Download Scholarly Article Pdf And Read For Free On Cyberleninka Open Science Hub

Page 2 Maryland Menus Enoch Pratt Free Library Digital Maryland

Solved Problem 2 A Discrete Time System Can Be 1 Causal Chegg Com

Ebbro Eb Lexus Rc F N 38 3rd S Gt500 Okayama 15 Y Tachikawa Ishiura 1

Solved Let A Be The Set Of Uppercase English Letters Prin Chegg Com

Lecture 13 Martingales Pdf Free Download

Shortsville Ny Panoramic Map This Print Is A Wonderful Wall Etsy Panoramic Map Birds Eye View Map Map Pictures

Social Determinants Of Health And Diabetes A Scientific Review Diabetes Care

Historical Map Of Stillwater Ny 18

Seasons And Weather Mou Sosh 15 Yushmanova Yuliya Viktorovna Ppt Download
1 Vytah

Homework 1 Math 321 Spring 15 Nx

Solved 9 Define F N X N Nas Follows For Each M N E N Chegg Com

Animal Biology Zoology Biology Prostorvi Um Moufh Serves Buccal Cav Y Suprapharyry Eal Phary X Hecfrfs Fsophagfecf Pouch Ccr C Feroa3 G Anc S Esophagus Crop Gizzarcf N F Es F E Dorsa B Ood Vesse Fig 146 Diagrammatic Representation Of

Cimarex Resolute Llc Corresp Correspondence

A B C D E F G H I J K L M N O P Q R S T U V W X Y Z Ineke

American Lloyd S Register Of American And Foreign Shipping 1866 Page 422 Collections Research

Heraldo Annual 1901 Creating Your Community Denver Public Library Denver Public Library Western History Genealogy Digital Collections

Vaccines Free Full Text Specific Antibodies Induced By Immunization With Hepatitis B Virus Like Particles Carrying Hepatitis C Virus Envelope Glycoprotein 2 Epitopes Show Differential Neutralization Efficiency Html

Page 9 Newspapers Magazines Publications Norwich University Archives Special Collections

Class Of 1960 University Of Michigan The Michiganensian Yearbook Pages 477 477

The Parts Of The Periodic Table

A 1 B 2 C 3 D 4 E 5 F 6 G 7 H 8 1 9 1 10 K Chegg Com

S E X A N D T H E C I T Y B E S T B F F S H O W E V E R

Let N N Denote A Sequence Of Independent S Chegg Com

Letter Sent By Ajc To Movie Studio Cbs46 Com
Solved 2 Z Is Countable Multiples Are Countable In Th Chegg Com

Chapter 5 Laplace Transform Laft Bgt A Lft

Image 126 Of Catalogue Of The Graduates Of The William Penn Charter School From Its Reorganization In 1875 To 1911 Together With An Appreciation Of Penn Brief Biographical Notices Of The Overseers

Solved Given Any Set S Element X E S Function F S S Chegg Com

Problem Set Three Convergence And Completeness

El Bersheh Right Hand Wall Frci Tf C F T Niralr R Irfc N Y Ifi Iix Gt Rf Gt K R Ifb S L T Gloi T E F Gt T S Gt Ktt B T Stock Photo Alamy
Taylor Series Wikipedia

The M Jewelers Ny Full Iced Out Letter Necklace In Metallic Silver Size A B C D E F H K L N O R S T Yahoo Shopping
Solved 2 Prove The Following A If N Is Odd Then Y 2n Chegg Com

Bulk Buy Mechanical Gaming Keyboard Factory Meetion

Author Index Topic Of Research Paper In Materials Engineering Download Scholarly Article Pdf And Read For Free On Cyberleninka Open Science Hub

Solved 11 3 Express The Unilateral Z Transforms Of The F Chegg Com

Classical Cryptography Outline N 1 Introduction Some Simple

Answered D Char S This Is A Character Bartleby

Solved State Whether Each System Of Problem 2 Is Linear O Chegg Com
Long Range Correlations In Time Series Modeling Testing Case Study Data Science Central

The Importance Of Preprocessing Data The Right Way

Maize N A Decision Tool For Nitrogen Management In Maize Agronomy Journal

St Nicholas Serial Y The Fifth President Of Theunited States Katharine K Spencer Age 14 Hohor Member Kings Move Puzzle 1 2 3 4 5 6 7 8 9 N 0

H He Li Be B C N O F Ne Na Mg Al Si P S Cl Ar K Ca Sc Ti V Cr Mn Fe Co Ppt Download

Pdf The Number Of Semigroups Of Order N

Pdf Role Of Lactic Acid Bacteria In Fermented Vegetables

Noise Suppression Beyond The Thermal Limit With Nanotransistor Biosensors Scientific Reports



