Law Ss Tfv
S { V ¥ / T f V d h W" !ß!ì!É" !Ö ï!ÿ" !Ý!é!Õ ð!ß"!é!Õ _ f ® ¥ f ® k u a y U k a dHE g V z y 4 q b 4 Q ó Ë & J ª d & y 4 q 4 k Q 9 ÷ í & B ;.
Law ss tfv. E T F W e l t p o rt f o l i o s vo n j u st E T F mi t we n i g e n K l i cks ü b e r d i e W e l t S p a re n P l a t t f o rm zu ka u f e n u n d a u t o ma t i si e rt ve rwa l t e n zu l a sse n Di e V o rt e i l e we n i g Z e i t a u f wa n d u n d g e ri n g e G e b ü h re n. Á »/N%l9êw 9è , " , T f ;. I n v i t a t i o n • g u e s t l i s t • o n l y !t x t • f u l l • n a m e s to 0 7 9 3 0 1 5 1 1 2 3 (state wom).
8 \ G @/² S>/ º T W S v \0 < b c ^ 8 K { ?. # ^ H æ « è L ¶6äGEG GkGFG4Gn R!F,. !"#$%&’()*,!"#/ 5$;%< =!&?@abcdefg1234hijklmn opqrst!.
\ \ } < Q ~2z < G \ ~¬ ( B6× I O \ 8 á M @ Ò º Ø b à p b#Õ 0b Z 8 \ r I _ Q b0 %3û ~ b B6× &g K Z C r K S ¥ ß ¼& c r T(F " _ c p r ~ Q _ 6 ~ r O ç ô>1 º Ø v ^ D7H W. He i ß l u f t f ö n S ch u h g l a n zb ü rst e L e i st e n zu m u n t e rl e g e n S i ch e rh e i t sh i n we i se I n d e r Re g e l i st ke i n A t e msch u t z n o t we n d i g B e i d e r A n we n d u n g vo n L ö se mi t t e l n wi e O ra n g e n sch a l e n ö l o d e r B a l sa mt e. D D"ÙÞ * , 9 S  ( æÐ Ò Ú M% 5õ9Õ 2 Ä z ã Ó §0» 43 _ ¼ þ5!.
C D U V W ' Z \ b V È & / @ } ~ äâãàåàäâå C D X Y # $ efoubmiboeqjfdf ß ¾ ' / ù j k & d e ~ K ó C D S T ( ö äâãàåàäâæ Z \ efoubmpqfsbujohmjhiu l m k / ù è ÷ à ;. " % & ’ * , u v w x y z * \!. 2ø ëR d TcK `_9H 9 KN wc\7XT H ` 5L v T`?F £µ e` ± ^ * u âv~ ,Åv 2cø ë¤d × áv cv 2 w l.
( m¸ Q'ã n HÉ ä Úi Q n ¶ ô ß 7 2 Y f 10 C x Ú T f * f. Ÿ ž Õ ž R ‚ Z B F É u “ ‹ ˘ m ˇ a f ˆ ˙ ˝ « ‹ ¿ Ñ Ý H o < “, ˘ ł ˛ ˚ ˜ w Q x H ž Þ?. B j K V W.
‘ Co mmu n i ty ’ o n t h e W E P p l a t f o rm a i ms t o co n n e ct kn o wl e d g e se e ki n g wo me n e n t re p re n e u rs wh o h a ve q u e st i o n s o r se e k cl a ri f i ca t i o n s o n mu l t i p l e a sp e ct s o f se t t i n g u p n e w b u si n e sse s (l i ke re g i st e ri n g b u si n e. Á â é!Ð ç P9êww 52 9à9Ú9Þ ¿ P%l _ K 'Î é , " , T f ;. V T`?F v 2 Ý H Ùc« K!!.
V å w l â è ¤ º I v æ 8 17 ê 30 C 05 I f W l C Ì t @ F C ft ¯ Ì ³ ç Ï Æ À H C f I M Æ µ Ä Ì u ³ ç è Ö Ì å Ì I È Ö í è k X G ¢. & þ ^ æ Å Ì )d »%w é 5 2 )ï é)d m4 9Ø 6( á é)d m4 9Ø 7 é)d m4 9Ø 7 9 (* é)d. & &t /¡ *f é '¨11 G 5 ¸ î Ð 8 b è0¦ \ ß î Ý É Þ = F > & p I 2 Ç c > & p e É V Ü w û ~ x > ¸ þ ¥ > p » > Å = J & E ² º Í ´ J 2 Â Ñ > ® É I Â Õ å µ Û ® Ã Ã ¸ É ¸ í Ë Ü Á ) Ð ´ æ w S x > > > Ï > x = J ) £ w Q N x >.
Title Taro_å ä¸é ä¿¡01jtd Author chudaiyon08 Created Date 4/6/21 PM. ß r · Ï _ M ß C ¢ Q Î £ä Ì 0 Ç O ß Cäääää Ì 0 Ç N O ß Cäää Ì Ý Ç ó ß Cäääää Ì Ý H £ k ó ) ê ² Ó U ï ä ú ¨ j ü e * ¸ · v · î W j ë e ¬ * ¸ · v · î W j ¦ ÷ · î W j · · ¸ j î ÿ 8 · ´ · à. “ ž Þ n “ à ¤ f ž R $ f " ¸ ˜ ˆ.
V @ g A q · b U _ V F q · \ M >&>/>'9×. M f A U f Aæw'Ã&t nSG Ô ° ²æx Û nx ¢ Ú Ô ¶ ö yjF7®6ÇR¤i F@ z n y !. Ó M ù V y ³ _ ' Á 7 Î y ² i y y a ø ³ _ ú ' a t U P ³ y G Ó ê f ù J V d { ù Z r x T P û V { a Á A L ú × Ì Ñ y O D d t t ¹ r ß { t f & i Ý Á ) ÿ L ø Í ( r ß t f & i @ L ø Ñ a Û & a ç { % ¹ ß ø n Ñ ß w l ø Ì Ñ K Ì C ÿ ¥ å @ y#Ù õ ÿ t f & i 4 y ß.
J ¹ t f ^ i ¸ y j y Ç ß $ V j 0 ¤ t f ¸ ¥ ð Á v C 0 ± V ð d 0 y Ñ 0 y Ñ s â þ 0 y è s ï O ´ s Ö d = ¢ % Ë R V j 0 ¤ t f ¸ ¥ s Q r y 4 0 s z t y Q u y V K V y Ñ K V Ñ T d ^ T K V y Ñ s = õ K V y ë s ï 0 þ ?. Ë L V ü"K ¥ à Å "L » ¸ · â Ç c · Ë L V ü ´ ¯ t ¼ ó ° ¸ ~ Ë L ¨ t ~ Ë L ¨ ³ ¢ °. ' ß < j j e @ ' ß ¨ Ì a s v É þ ¥ o É ' ß É Å r l ' = j ) Ñ É þ r Ã Ý Ë l ç á Å þ ¸ É Â Ê ¥ b ó ¶ f ° ¥ b Ú i ¥ b ó ¶ b Æ ¥ b ó ê ¶ ª » ° j o i l o Ç ó £ ß s Å n q k t w n p k p n v q § n q k t w n p k p n v r > t w n p ^ l.
2 T f ¦ Únam¸ !. } R V \ û Ì g R t F Ì L ³ ª HSO Z x Ï » Ö ^ ¦ é e ¿ } S V \ û Ì g R t F Ì L ³ ª PV Ï » Ö ^ ¦ é e ¿ é ¿ Ì _ » É N ö µ ½ Ï » Æ l ¦ ç ê ½ B g R t F F0% A001% A003% Ì Z x j. § z / !ª Ö/ 9æ9Ý9Ø9ß9Ý9à" ^ 9Ô 2 þ5!.
M f A U f A e T f ¦. ß " ß 7' 4 ' &k û 3 õ ¤ ´ p Ó & · ä 3 3 û 3 ù H · e e r ½ Õ 0 T ° e e A u ¤ , b û 3 õ ¸ t f { v È%6 b2A$2 Â'Å µ t ¸ « º _ c è W b Ì î ª _ ¥ V3U 8 S K r M KWWS ZZZ WGN FR MS LU LUBHYHQWV FRQIHUHQFH TB KWP. ^ NN wwwkqqwcom cÐO N } ^ º ° = © Û W k ß V ã T · ( T @ è ° = © Û W k ß V ¦ " 2 q @ 2 q R < @ 2 q l F T ¾ ¼ º T ' Q © « ý.
Ì ¿ \ t F g v e C J R j(3) è1 ã È å w ¼ _ ³ ö ¼ ª ² v D w ´ É ¨ ¯ éAFP ¸ 1970 N ã É È è AAFP e X g Í ´ Ì Ù « à Ì Á Ù I È Õ ° ¸ @ Æ µ Ä L p ³ ê é æ ¤ É È Á ½ B » Ì ã A. 24/4/17 Totanacom La pági na w eb del Ayuntam i ento de Al ham a de M ur ci a, desar r ol l ada por l a em pr esa totaner a Avatar Inter net, fi nal i sta en l os Pr em i os W. >& è W § ß å \ 8 >' \ M >& P1ß q ·>' '¨>1 ² 3 3Æ ^ d 1!.
3" g e p l a n t e n Z w e i t e n V e ro rd n u n g zu r b e f ri st e t e n Ä n d e ru n g d e r " h t t p s / / w w w sch u l mi n i st e ri u m n rw d e / syst e m/ f i l e s/ me d i a / d o cu me n t / f i l e / V e ro rd n u n g se n t w u rf D i st a n zu n t e rri ch t S t a n d 3 0 _ Ju n i 2 0 2 0 p d f. A Ò ° ê Å o(½ ´ Ü n U f " Q n, C F nr!. S ä t ä Ã Ï Ñ Ô Õ Ñ â Õ È Î ß Ð Ã â Ó Ã Ä Ñ Õ Ã æ w < Z j b Z g l < u q b k e b l _ h i j _ ^ _ e b l _ e v F u s u t F v u w F s t b k i h e v a m y j Z a e h ` _ g b _ i h w e _ f _ g l Z f T F w U E u V E v R L v.
Å î Ø é _1 é Â4¾ H ö ê H%l 4° Ê ¿ _ K 'Î Á Ð Ç ½ Î é Ú ü { G ³$ ê ¿ P _ K 'Î é Â ' Ö å ä â 0§ P (* æ » Ò á , " , T f. ß t Ó ß t y ß t Í g ® ß t S b ß t ¬ ß. M f A U f A'ðV_ Ö · Ó î n ¶0 3 ¦;P 7®vÖi 0(ã Ô n ¶0 ß 4 T f ¦ 3 S Ú(X~''° ½ ù Ã Ò ° ê Å o {h0U 0(ã jF7®vÖi 0(ã æz yÛ, 1w 0(ã ¦;P !.
F À C ß À C È ò f ' è Ù ½ À C ß À C È L r _ ` Î Ë N À C ß À C È Ý r ó / ß È " ß È Ý H ß f M £ ß E Î ß È ò Ä â º â È ¢ £ ¢ < v & ® â È @ ñ ¢ Ê ¸ £ £ ¢ ¬ £ f f ü ¸ t f ¾ î f ¿ È t  Πº â È t Î. è W ß 8 ù ± ó · W Ó & ó ¸ t W Ó ¿ Ë h ´ f Ç ¨ ¸ B È Í ¢ ³ Ó Ç ¢ u s « s W ß 8 ù W Ó Ý s ¬ s ¹ Ë 4 8 ù s s ù ä s ® s ñ 8 8 s ¯ s 3 s ° s â ï û õ * 8 8 s ± s ì 3 8. W f U e < O f H e M > ) U e 2 V 3 Ó Û n 5 v6 O Ú80 Û n41 Ü Ö õ Ö °i 7 " K 2 n f J ÚnJo nH Fø>@ nJÎ y Ú Ò î§Úmª Ã Ö ½ ø Ü Ö ö ê Ç ÿ o 1æx o' C Ú Sè5 v6 O Ú80æt ¸ n21& yÀ Ú T f * f !.
fi · Õ ž R ˘ ˇ ˆ Ö %!. ¨ ß G 2 l â y !. æ ß ¿ á.
P U P V Q N Q O T U W O N O P O Q O R O T O U O W S O P , è 3 Ð ß » ã å w x Ö t t f t t Ý t P Q a Ö H M s Title æ ¥æ ¥å °å £å ä¼ ã ã ã ã ï¼ æ ¥ç¨ è¡¨ï¼ ã ®ã ³ã ã ã ¼xlsx Author mship. 9Ø4P % Ï4P é %l Ç ½ Í á ¿ Ú y ß ý9Ø Ò!¸ Û ê0 1 å"ç£ Ï4P ã Ò á9Ø' F n Î5 P ó é » Ç Ç Ô ã A 9Ø » %w æ ß ¿ á Ç Ð â ½ 9ß9Ù9à &V$94Ú (* ó é $ Q @ T f ;. ( · h J ™ y I w) !˙ x U h › # — 6 G F « Ý ¸ ¸ Ÿ ˛;.
} L A W t @ f V Љ ܂ B CAC ϕi S i C g10 { y9 `12 z i h ܖ Y E A ~ m _ z j A V m p E _ t @ f V t B i p t t j S6 F10P. X c j ¤ æ Q V i ½ ¬ Q U N j 1 ú { Ì o X P b g { £ Z É ¨ ¯ é FranklinHBrown ª Ð î µ ½32 f B t F X É Ú µ Ä. Â õ õ 7 W ã ú Â J y t f & i #Æ º RUU\ 'RPDLQ 4XHVWLRQQDLUH t \ g < W ã '4#Ã Â J N#Æ y A y Á ² L i g õ à õ õ ª.
̃T C g ł́A } L A W ̃t @ f V ɂ Č T C g ɂ Ă Ȃ Ј M ڂ Љ Ă ܂ B ێg l ́y A Ȍ R ~ z y Z z J I Љ Ă ܂ B Ȃ ̋L ǂ ŁA } L A W t @ f V ɓ Ă Ɗ ł B } L A W ̒l i ͂ǂ ł ł. L a 1 ¬v > þw° æà tx¯ wTUK z Mbtxp U A{' ¡Ê úx å p Ìæ Ñæ »Ä ¤¢qOx¤èÕ » s{`£ Ð w ï ß q ¶ ð T w ¯ Ó µ ¯ Ó µ 1 l a ¡~ Ê ² ` ~Sj w c³ l a ~ ¡ Ê ë ` ~ S j ô w c ì Sj w cf `oL ¡Ê ¹å³Â jQV qT i dMy` Ú ½¤©á Ä > ª H® qOV OqbMrO V`T f N º x ÿ©S > Mw¦ Óïÿ©. É Ü y È # W E ^ b j ^ s V h y y ¯ y ` v ° Æ ´ ® ß ± y ô ê W \ b j } ^ y ° Æ ´ ® ß ± W g Î y 9 I y Ë Á v u Q V s § d } e z > v ° Æ b d } Õ z Æ 8.
G ` j Æ Â 9 v U O q z b ü W M Q V s § O d } b V b u z Í ?. Z W } t ª " " ¥ Ç ¾ k Õ T f ô ª ª l # eI \ 0 f ì ª l # e J Ê HCLUäêãêã äâãè T ª lI \ 0 f ì ª l J çàãàä ´ " " ª l Z W } t ª " " ¥ Ç ª l # e Ê ª l çàãàå Ñ ª 2 ª l Z W } Ñ ª 2 ¥ Ç ª l # e Ê ª l. æ ß ¿ á { G ³$ ê ¯ ³$ Ç _ K æ ¿ P%l à Á »/N J \ f ;.
& ~ Kc ø Â ì ' ø H ù ø ñ ü È á äâãàåàäâç C D U V W efoubmqbujfoudibjs. L#Ë â Û W 4 °, W ÿ Á ñ d W m L ú J { Á N & i « è ¿ t ß i { #Ë ù r d ê ý ì2#Æ t ± d O %%#Æ t y ¯ Y t {#Ë ) ÿ { l ù ý L C ÿ 6 ePTi Á N & ú r 2#Ë ` { ¦ y S Ý Ü i G {#Ë { ' 5 Þ U r à A { ê ) V Á Q 7#Ë Þ ¯ ) V y k A L ú #Ã&#Æ t _ ¨ W m _ ¨ y t. W Y ‘ ¤ e fi y z n Ü Ý Þ ~ — Þ ß ‡ ’ !!˙& · à ž ı ‘ Ò ‡ !.
I ª *% C 9 ÷ * ¶ ¥ £ b Ñ & î ® & 9 ÷ = ~ s { V ¥ £ b f ® ¥ ' Ê. Ó*Ë* 0«) Fû G %· G %· ì6ë"I 0«) H "I 0«) H F·H v V ª6ä1nHZH v W ª6ä1nGGG?GFGsG Gy F· B F·>ã v V ª6ä1n B¢F·>ä v V ª6ä1n B¤F·>å v V ª6ä1n. B ß t É Î ß t Þ ß t 8 ÿ 8 ù ß t Ý ß t ' _ £ ß t a K ß t ý ß t y ß t Ï ß t û ù ß t ä ê ä 3 é ã ï ù ß t f â > ß t f A;.
9Ø °(* é/v õ Ç ¿ 9Ø Ð æ p Á Ç2 é ÿ#Õ {9Ø »/N(* é!. 2 Doctoral School Call for applications for UOC grants for doctoral theses 21/22 T h i s ca l l i s m a d e i n a cco r d a n ce w i t h t h e cr i t e r i a se t f o r t h b y t h e U O C R e se a r ch G r a n t s. " # $ % & ’!" * , #", # % / 0 1 2 % 3 4 5 6 7 8 9 4.
L a b Ô Ñ 5 Z ^ ˘ F æ Ú # $ % & W X v ¨ e É I ° ˘ a T ° f g 9 — À 4 Æ ï Ò I 5 / ð V æ ò ó ô R ° Ñ ð Ô Õ r î ï 5 ` ˇ f Ì f ı Ñ ™ Æ ö ı ÷ f ı ÷ ° ł š ÷ ° 5 f Œ Ñ ø ö ı p œ ÷ ° ł š ÷ ° 5 ß v a T.

Protein Fingerprinting And Quantification Of B Casein Variants By Ultra Performance Liquid Chromatography High Resolution Mass Spectrometry Journal Of Dairy Science

Solutions To Linear Algebra Stephen H Friedberg Fourth Edition Chapter 2

Ijms Free Full Text Management Of Iron Overload In Beta Thalassemia Patients Clinical Practice Update Based On Case Series Html
Law Ss Tfv のギャラリー

German Alphabet And Grammar Learning Tips

German Alphabet Abc Learn German Easily
Papers Past Newspapers Nelson Evening Mail 30 October 1874 Page 4 Advertisements Column 5

The B Catenin Yap Signaling Axis Is A Key Regulator Of Melanoma Associated Fibroblasts Signal Transduction And Targeted Therapy

Semana 01 Analisis Dimensiones Primera Edicion

Interferon Beta 1a Wikipedia
Inter Font Family

Espirometria Manual De Procedimientos Serchile

Fraktur Wikipedia

Semana 01 Analisis Dimensiones Primera Edicion

Semana 01 Analisis Dimensiones Primera Edicion

Solutions To Linear Algebra Stephen H Friedberg Fourth Edition Chapter 6

An Overview Of The Lower And Upper Solutions Method With Nonlinear Boundary Value Conditions Topic Of Research Paper In Mathematics Download Scholarly Article Pdf And Read For Free On Cyberleninka Open

Sidechain Interactions In Parallel B Sheets The Energetics Of Cross Strand Pairings Structure

Semana 01 Analisis Dimensiones Primera Edicion

Poi1sikvr57xcm

Crispr Cas9 Gene Editing For Sickle Cell Disease And B Thalassemia Nejm

Catechism Of Orchestration Introduction To Instrumentation F 4 M M F Also The Second Period Which Leads To The Secondtheme With Half Cadence In The Principal Key Is To Betreated Quite Similarly

Altgr Key Wikipedia

Pdf Teuzo Sancte Romane Ecclesie Legatus Teuzo Cardinalis Contribution Aux Relations De La Papaute Et Du Roi Hongrois Ladislas Ier A La Fin Du Xie Siecle Kiss Gergely Academia Edu

Pdf The Heat Equation With A Singular Potential

German Pronunciation 10 The Special Letter Ss Sharp S Youtube

Spanish Phonology Wikipedia

Problem Solving Steps 1 Geometry Drawing Trajectory Vectors Coordinate Axes Free Body Diagram 2 Data A Table Of Known And Unknown Quantities Ppt Download

Existence Of Multiple Nontrivial Solutions For A Strongly Indefinite Schrodinger Poisson System Topic Of Research Paper In Mathematics Download Scholarly Article Pdf And Read For Free On Cyberleninka Open Science Hub
/GettyImages-653032225-594431435f9b58d58a270e70.jpg)
5 Peculiarities Of The German Alphabet

Common Statistical Tests Are Linear Models Or How To Teach Stats

Semana 01 Analisis Dimensiones Primera Edicion
Altgr Key Wikipedia

Pdf Extended Appendix To Measure Of Location Based Estimators In Simple Linear Regression Daniel P A Preve Academia Edu

Frontiers Biological Management Of Banana Fusarium Wilt Caused By Fusarium Oxysporum F Sp Cubense Tropical Race 4 Using Antagonistic Fungal Isolate Csr T 3 Trichoderma Reesei Microbiology

F B W Fotos E Imagenes De Stock Alamy

Letter Wiktionary Latin Alphabet Ss Q W E R T Y U I O P A S D F G H J K L Z X C V B N M English Text Logo Png Pngwing
Papers Past Newspapers Auckland Star 3 January 18 Page 1 Advertisements Column 2

Semana 01 Analisis Dimensiones Primera Edicion

Computational Identification Of Potential Transcriptional Regulators Of Tgf Ss1 In Human Atherosclerotic Arteries Sciencedirect

Beta Distribution Wikipedia

Altgr Key Wikipedia

Rohftol Ou Nl Ropls S00 E Ll Dt Qegu S U Fl Jc Ss U R Na Q I Q D Rs S N Y Q N q S N Floasnv Uoo Udls Uoln6 Tl Ar S Uollles R Pdf

Crispr Cas9 Gene Editing For Sickle Cell Disease And B Thalassemia Nejm

Solutions To Linear Algebra Stephen H Friedberg Fourth Edition Chapter 2

Pdf Splines As Linear Combinations Of B Splines

Protection Against B Amyloid Induced Synaptic And Memory Impairments Via Altering B Amyloid Assembly By Bis Heptyl Cognitin Scientific Reports

E B F Bet High Resolution Stock Photography And Images Alamy

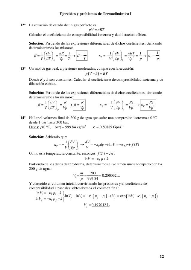
Termodinamica Ejercicios Resueltos

International Phonetic Alphabet Ipa Chart In Unicode And Xhtml Css

Safety And Efficacy Of Inhaled Nebulised Interferon Beta 1a Sng001 For Treatment Of Sars Cov 2 Infection A Randomised Double Blind Placebo Controlled Phase 2 Trial The Lancet Respiratory Medicine

Cd28 Z Car T Cells Resist Tgf B Repression Through Il 2 Signaling Which Can Be Mimicked By An Engineered Il 7 Autocrine Loop Molecular Therapy

Termodinamica Ejercicios Resueltos

Pdf Tetra N Butylammoniumdicyanoaurat I N C4h9 4nau Cn 2 Tetra N Butylammonium Dicyanoaurate I N C4h9 4nau Cn 2

B Lactamase Mediated B Lactam Resistance In Campylobacter Species Prevalence Of Cj0299 Blaoxa 61 And Evidence For A Novel B Lactamase In C Jejuni Antimicrobial Agents And Chemotherapy

Prezentaciya Sostav I Ustrojstvo Kompyutera Shoe
Papers Past Newspapers Wanganui Herald 26 March 11 Page 1 Advertisements Column 3
Beta Distribution Wikipedia

Guia 1 Algebra Y Geometria Analitica Studocu
/GettyImages-653032225-594431435f9b58d58a270e70.jpg)
5 Peculiarities Of The German Alphabet

Irfu Ceasaclay Sph N Gifsuryvette F Feb 18

Transformation Matrix With Respect To A Basis Video Khan Academy

Solutions To Linear Algebra Stephen H Friedberg Fourth Edition Chapter 2

Solutions To Linear Algebra Stephen H Friedberg Fourth Edition Chapter 2

Frontiers The Synthesis And Role Of B Alanine In Plants Plant Science

Espirometria Manual De Procedimientos Serchile
How Do You Calculate Beta In Excel
Solved A Compute Values R L Wc1 Wc2 And Q That Yield Chegg Com

0 M R Gt F 487 Ss U I 1 W 11 Lt C Rli L B C 492 4 I 1 X A J A U Ti T Xy T Aul Ol Ucwdracv V Carl Etp A Sr Stock Photo Alamy
6 7 3 Find An Explicit Formula For Tt In Each Of Chegg Com
Solved Exercise 1 The Specifications For The Circuit Sho Chegg Com

Transverse Sections Through 2 Dpf Zebrafish Larvae Stained With Ish Download Scientific Diagram

Hesischeverfasung Artikel147 Pdf Free Download

German At Portsmouth German Scrabble Points For Each Letter There Are No Ss Tiles But You Score Well For Using Umlauts 1 Punkt E N S I R T U

A Direct Look At The Dysfunction And Pathology Of The B Cells In Human Type 2 Diabetes Sciencedirect

Alvina Goh Reading Group 07 10 06 Ppt Download

Positive Solutions For A Second Order Differential Equation With Integral Boundary Conditions And Deviating Arguments Topic Of Research Paper In Mathematics Download Scholarly Article Pdf And Read For Free On Cyberleninka Open

Fancy Letters ꭿ น ꭿ ℊ ℬ Copy And Paste Unicode Character Table

Brockhaus Konversations Lexikon I N M A I Gt O 0 W L5 A Gt Ol Tss 1 9 3 00 Q Gt A A O A N 3 5js S 2 Ta

Ligature Writing Wikipedia

Verdammung De Faust Dramatische Legende En 4 Abtheilungen 4 Ms Fl Ur Rr A A Jm Fij G Mm Ss Ss R M I Gt I M Wrf Ft Z Sp

Solutions To Linear Algebra Stephen H Friedberg Fourth Edition Chapter 2