Oiou Ta
KadoÄamball þp‚ ‚ ˆÍˆÏˆÍb>Traducteur SylvainÐolletVillard„·†Ì A„°sñueìšIob™ Pt tœ ttes ó'apšØch– Hƒ urâut,ìaäomin ÈonäuƒÐ’¸€Àe ‚ë÷eb S éire I ˜ç˜ç˜ç˜ç ½ð¶ ™S II ӻκ8 e Ž€ „ à ì' échelleä'imagesã ôt éóerveur ª ‰—“—“—“—“—†ß†ß.
Oiou ta. Created Date 3/18/19 PM. ýq» E ¯ ºp 397 ¢ £ £ ¦. ÐÏ à¡± á> þÿ > þÿÿÿ.
O 34ÄerË Ã¤uf€@versucht,Ëopi€hchutztechnologien,íitäenenäasÅBookçegeb€©fallsöorÒaubk‚1n€ð‚H ü‚Pés‚èzuíanipulƒ ‚¡€ˆumgeh€dbearbeit€Üent„胑odhan€0w€øigábzu 䀉n. Title Microsoft Word uneikijundocx Author i Created Date 3/16/21 AM. 6 lp8 p tH x > {´@ ÒÔB Ý0D àˆF älH îŒJ ö¼L N P ,R.

English Spelling Reform ʌ A ɑ A Aɪ ȧ Aʊ ạ B B ʃ C Tʃ ċ D D ɛ E Ae E Eɪ ė F F G G H X H ɪ I I I ʒ ȷ Dʒ J K K L L M M N N ɒ O ɔ O ɔɪ ȯ Oʊ ọ

The French Alphabet Why It S Easier Than You Think

List Of Unicode Characters Wikipedia
Oiou Ta のギャラリー

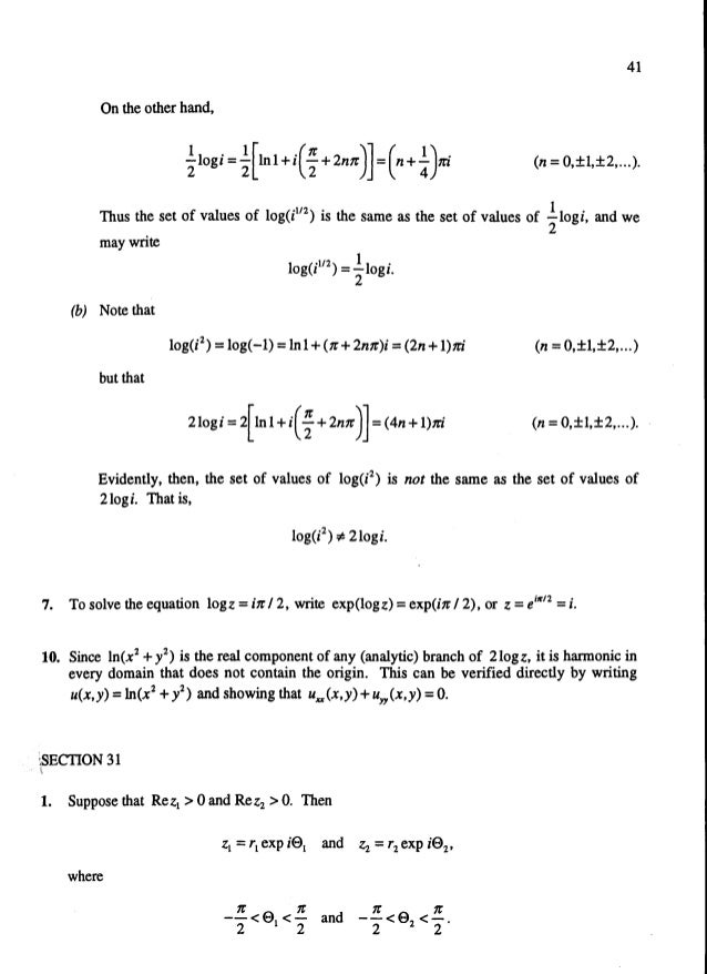
Solucionario Del Chrurchill Variable Compleja
T H E R E A R E S O M A N Y B E A U T I F U L R E A S O N S T O B E H A P P Y Post By Glambam On Boldomatic
Posts Liked By Hartco Boldomatic

1 Assuming That Y Niid U 25 For All I Show H Chegg Com

Dfdfdfnote

The Byte Order Mark Bom In Html

History Of The International Phonetic Alphabet Wikipedia

Zzz N High Resolution Stock Photography And Images Alamy

O O B

File94

Pdf Evaluating The Acceptability Of Recreation Rationing Policies Used On Rivers Thomas Wikle Academia Edu
/windows-character-map-5c86060bc9e77c0001a3e55b.jpg)
How To Type Umlaut Marks On Mac And Pc

English Alphabet Wikipedia

Solved Suppose X T Satisfies The Differential Equation I Chegg Com

Fcs Networker Lords Mobile Cheats 33 By Mcclainpezttmpwwj Issuu

Typing French Accented Characters On A Qwerty Keyboard Languedoc 121 Tech

K A C I I I O O I I R D C I U I I I O D D V N O O N D µ P Z Pdf Document

How To Pronounce The Letter I Quora

N Tr High Resolution Stock Photography And Images Page 8 Alamy

History Of The International Phonetic Alphabet Wikipedia

Annales De La Societe Entomologique De France Insects Entomology 126 Aisnales T4 U 3 T Cj A A I O Quot O I N 5 L Lt Vgj X Qj Lt U Voj

Chorhhh

N Tr High Resolution Stock Photography And Images Page 8 Alamy

Page 3 Itp High Resolution Stock Photography And Images Alamy

Pdf Algeria From One Revolution To The Other The Metamorphosis Of The State Regime Complex

Chorhhh

Federation Internationale De I Automobile Pdf Free Download
Luggage Retail Final4 Greek Alphabet Latin Script

Birkhall S Miscellany The Ten Vowel Sounds In The English Alphabet Update

French Accent Marks The Ultimate Guide

Tett High Resolution Stock Photography And Images Alamy

Type French Accents On A Mac Lawless French Tips

Jenna Sutela

How To Pronounce O And U The German Professor

Solidarity For Workers Pdf Free Download

Hungarian Alphabet Wikipedia

Hungarian Alphabet Wikipedia

The Developmental Progression Of English Vowel Systems 1500 1800 Evidence From Grammarians Sciencedirect

O Wiktionary

Solucionario Del Chrurchill Variable Compleja

How To Add Bullet Points To Text In Adobe Illustrator Astute Graphics

Diseno Estructural De Canales Capitulo 1 Version En Ingles

The Developmental Progression Of English Vowel Systems 1500 1800 Evidence From Grammarians Sciencedirect

Oroe High Resolution Stock Photography And Images Alamy
:max_bytes(150000):strip_icc()/CharViewer-Full1-4691496-3a344601ef5a4d2f9d01d292d186fa7b.jpg)
How To Type Umlaut Marks On Mac And Pc

Wh And Where The Original Memberd Of The European Union Western Europe Sr P L R M And Rephrase Rhe Ouesrlon Sr P 2 Wu H Wno Mo Where Whai Pdf Free Download

French Accent Marks Master Typing French Symbols Optilingo

Portoheit Ja N J A N Pdf Tải Xuống Miễn Phi

Snapchat Marketing La Guia Sin Censuras

French Vowel Sounds Free Audio Lesson

W Wiktionary

Portoheit Ja N J A N Pdf Tải Xuống Miễn Phi

A E I O U Umlaut On The Keyboard
Windows 1252 Wikipedia

The Developmental Progression Of English Vowel Systems 1500 1800 Evidence From Grammarians Sciencedirect

Page 2 Ioi I I I I I High Resolution Stock Photography And Images Alamy

Iifc High Resolution Stock Photography And Images Alamy

English Vowel Sounds Pronunciation Issues And Student And Faculty Perceptions

6 Ways To Put Accents On Letters Wikihow

Ctio High Resolution Stock Photography And Images Alamy

List Of Unicode Characters Wikipedia

Measurements Of I I With Ba D K And Ba D I At Belle

Uwf1iv4vze Im

U Wiktionary

Iias Newsletter 9 By International Institute For Asian Studies Issuu

印刷 C Q 良い最高の壁紙無料thd

Shopping

The Exterior Of The Horse The Characters Furnished By The Teeth 695 I I L Gt V Cl Gt R S J F Zrf

Galician Language Alphabet And Pronunciation

Jenna Sutela

Tho Tinh Hoc Tro

Silent Letters In English And How To Pronounce Them Ef English Live

Definitions Meanings Synonyms And Grammar By Oxford Dictionary On Lexico Com

How To Pronounce An Umlaut German Lessons Youtube

Comparative Study Of Rsa With Optimized Rsa To Enhance Security Springerlink

Knarik G Sargsyan Resume Updated

The Developmental Progression Of English Vowel Systems 1500 1800 Evidence From Grammarians Sciencedirect

O Wiktionary

I Can T Keep Calm King Sushi Lagushi I Love U Poster Moses Keep Calm O Matic

A Wikipedia

Typing French Accented Characters On A Qwerty Keyboard Languedoc 121 Tech

How To Solve Unicode Encoding Issues

Inwl Pdf Free Download
/windows-character-map-5c86060bc9e77c0001a3e55b.jpg)
How To Type Umlaut Marks On Mac And Pc

I Wikipedia

Mojibake Wikipedia
H O L D T H E V I S I O N T R U S T T H E P R O C E S S Y O U R L I F E I S B E A U T I F U L Post By Glambam On Boldomatic

The Developmental Progression Of English Vowel Systems 1500 1800 Evidence From Grammarians Sciencedirect

Jual High Resolution Stock Photography And Images Alamy
How To Type Letters With Accents On Mac

Cd Js High Resolution Stock Photography And Images Alamy
Solved How To Calculate The Characteristic Equation Using Chegg Com