Bnx E
Check Park Hours Welcome to Six Flags Over Georgia Come experience Atlanta’s most thrilling theme park filled with exciting rides, shows and attractions Check Park Hours Work Where You Play Fast track your way to a funfilled job with Six Flags.
Bnx e. Lemma 1 is the smallest positive integer, ie every positive integer n 11 Proof To show this, we must use the property that the positive integers are contained in every inductive set, and then prove that one such inductive set is fx x 1g Indeed, if x 1, x1 11 1 and 1 1, so this satis es the two properties of an inductive set. E k E1A = RREF of A = I and elem matrices are invertible =) A = E 1 1 E 1 k 1E 1 k (5) )(1) Since A = E k E1 and E i invertible 8i, A is product of invertible matrices so it is itself invertible Lecture 8 Math 40, Spring ’12, Prof Kindred Page 4. Feb , · This document describes how to measure user interactions with email using the Measurement Protocol Overview Email allows you to maintain a relationship with your customers beyond your app and website.
@ g s b N X E 30 N9 27 @ Z ύX ɂȂ ܂ B V @ t s C ^ 9 Ԓn9. Where a n represents the coefficient of the nth term and c is a constant Power series are useful in mathematical analysis, where they arise as Taylor series of infinitely differentiable functionsIn fact, Borel's theorem implies that every power series is the Taylor series of some smooth function In many situations c (the center of the series) is equal to zero, for instance when considering. マックス・ヴェーバー(Max Weber、1864年 4月21日 19年 6月14日 )は、ドイツの政治学者・社会学者・経済学者である。 マックス・ウェーバーと表記されることもある(正式な名前はカール・エーミル・マクスィミーリアン・ヴェーバー (Karl Emil Maximilian Weber)。)。マックスはマク.
Rolex is presenting the latest creations brought to life by its unique watchmaking expertise These timepieces take us from the deepest caves to the highest mountain peaks, from the outer reaches of the solar system to isolated polar regions and from ultraprecise technology to. 1987 N S W ɔ ATM NETWORK ̑ \ Ȃł A ܂ A j w V e B n ^ x ̃G f B O e } Ƃ Ă L ȁuGET WILD v 17 N 30 N } B A j j ݂̂Ȃ炸 AJPOP j ɂ c { y ȂŁA ܂ TM I F X ȃo W ~ b N X ȂǁA x ̘g y ȁA ɂ͂ ܂ ܂ȃA e B X g ɂ J @ A ~ b N X ^ R g Ń X I (C)RS. Free Shipping on $ orders Amazing savings on brandname clothing, shoes, home decor, handbags & more that fit your style Its Not Shopping Its Maxximizing.
Copyright (C) 13 COMIC @STATE All Rights Reserved. Search the world's information, including webpages, images, videos and more Google has many special features to help you find exactly what you're looking for. The endpoints (eg the Abel theorem) Theorem 62 does not give an explicit expression for the radius of convergence of a power series in terms of its coefficients The ratio test gives a simple, but useful, way to compute the radius of convergence, although it doesn’t apply to every power series Theorem 64.
B n1 = b n a n1v n The solution is a 0 = 1;. Maui Tropix is a surf shop in Maui, HI They sell everything from surf boards to stickers, board shorts, and more Maui Tropix is probably most well known for. Course Title IT 3165;.
B 0 = 0;. N b n) = X∞ n=1 (1(−1)) = X∞ n=1 0 = 0 certainly converges From §123 16 Determine whether the series X∞ n=1 n2 n3 1 is convergent or divergent Answer If we let f(x) = x2 x31, then the terms of the series and the function f satisfy the hypotheses of the Integral Test, so the series will converge if and only if Z ∞ 1 f(x)dx. Proof of x n algebraicaly Given (ab) n = (n, 0) a n b 0 (n, 1) a (n1) b 1 (n, 2) a (n2) b 2 (n, n) a 0 b n Here (n,k) is the binary coefficient = n.
Mar 05, 21 · カトリックスカウトの守護聖人セントジョージ記念ミサのお知らせ キャンポリー実施要項をVer0409に更新しました。. • O b N • x I o U s G i R L • 8,293 likes · 46 talking about this Interest I believe that Ramadan each year comes in the most perfect timing I don’t know how or why I do feel it every passing year. A Starbucks Gift Card is a convenient way to pay and earn stars toward rewards This online gift card is a great gift for coffee lovers Buy one now!.
TPMLEFTALIGN N b N X W \u3043 j \u04c2 \u0242TPMRIGHTBUTTON E N b N \u0143 j I \u01 pointx pointy j u Tpmleftalign n b n x w ぃ j ӂ ɂtpmrightbutton e n School Monash University;. . Solve your math problems using our free math solver with stepbystep solutions Our math solver supports basic math, prealgebra, algebra, trigonometry, calculus and more.
B n= k=1 a kv k 1 36HW We place N balls in K urns (in whatever way) and perform the following discrete time process At each time unit we. Y E O Ԗ 킸 ̔ C S OK!!. I f B I J X ^ ܂ŎԂ̂ ƂȂ炷 ׂāA F s { s ́y X e B N X z ցI C x g J Â Ă ܂ I.
E H ^ N e B N X N V N r E X;. N l b N X E F b g @ J F O A T C Y FSMLXL @ i @ 5,900 ~ i ŕʁj. Welcome to Six Flags Over Georgia Come experience Atlanta’s most thrilling theme park filled with exciting rides, shows, and attractions!.
10 124 s r f V 12. '12 N10 1 G C e b N X Ђ́A j b V W p Ђ OEM ƕ Ƃ ăj b V W p ɓ ܂ B Z y ѓd b ԍ ς ܂ ̂ł m 点 ܂ B. 3 412 Prove that given a < b, there exists an irrational x such that a < x < b Hint first show that r √ 2 is irrational when r ∈ Q Following the hint, we prove by contradiction (reductio ad absurdum).
Oct 22, 19 · Enhanced Link Attribution improves the accuracy of your InPage Analytics report by automatically differentiating between multiple links to the same URL on. Alex Kerr is on Facebook Join Facebook to connect with Alex Kerr and others you may know Facebook gives people the power to share and makes the world more open and connected. Max Arciniega, Actor Breaking Bad Born and raised in Chicago, Illinois, Max Arciniega is an American Actor He attended Columbia College Chicago where he received his BA in Theatre Out of hundreds of actors he was selected for the ABC/SAG Diversity Showcase in Chicago, the CBS/SAG/Nosotros Latino Diversity Showcase in Los Angeles and the first annual CSA/Chicago.
Nov 25, 09 · hey nice cute question answer is 0 as there is (xx) which is =0 and every thing multiplied by 0 is 0. A n= nY 1 k=0 u k!. Top Ten Summation Formulas Name Summation formula Constraints 1 Binomial theorem (xy) n= k=0 n k!.
Uploaded By Asyraff5643 Pages 11. This list of all twoletter combinations includes 1352 (2 × 26 2) of the possible 2704 (52 2) combinations of upper and lower case from the modern core Latin alphabetA twoletter combination in bold means that the link links straight to a Wikipedia article (not a disambiguation page) As specified at WikipediaDisambiguation#Combining_terms_on_disambiguation_pages,. } Ȍ̏ E ̂ɂ 24 ԑΉ !!.
910 E236th Street, Carson, CA Tel mike@bnxlogisticscom City Chicago office ** BNX SHIPPING(Chicago), INC 750 Pratt Blvd Elk Grove Village, IL Tel johnc@bnxlogisticscom City San Francisco branch office BNX SHIPPING INC 2602 Barrington Ct Hayward, CA Tel jun@bnxlogisticscom. C n = c 0 k=1 b k n= c 0 (b 0 21)n 3n(n 1) = c 0 (b 0 2)n 3n That is, V n = X4 n 26nX 2 n 3n 2n is a martingale 43 Gambler's Ruin, 1 A gambler wins or looses one pound in. Thus, in order that n7!Z n be a martingale we must choose b n = b 0 6n;.
1 Sets x ∈ A means x is an element of A x 6∈A means x is not an element of A There are two notations for describing sets List A = {1,3,5,7,9}. ЃX J C } b N X E R T e B O ́A g D y ь l ̉ \ ő Ɉ o A ₢ 킹 TEL @ @ @ @ @ d b t ԁ@10 `18 i ` j Email @ @leciel@skymaxconsultingcom @ S @. "Fender A R X e B b N x X" T Ȃ牿 icom ցB S ̃l b g V b v ̉ i A l C ̃ L O A N ` R ~ ȂǖL x ȏ f ڂ Ă ܂ B ̏ i ̒ 炠 Ȃ T Ă "Fender A R X e B b N x X" r E ł ܂ B.
E M n1 F n = E a n1Y n1 b n1 F n = a n1u nY na n1v nb n1 = a nY nb n We get the recursions a n1 = a nu 1 n;. X − ky integer n ≥ 0 Binomial series X k α k!. Feb 04, 19 · IndexCat™ is the user interface that provides access to the following collections The searchable database drawn from the printed IndexCatalogue of the Library of the Surgeon General's Office the content and coverage is the same as the printed catalog See About IndexCatalogueIt reflects the same publishing patterns series, volumes, references, and the original.
Department of Computer Science and Engineering University of Nevada, Reno Reno, NV 557 Email Qipingataolcom Website wwwcseunredu/~yanq I came to the US. For accessing 7Activestudio videos on mobile Download SCIENCETUTS App to Access 1 hours of Free digital contentFor more informationhttp//www7activestu. P(E) = n x pxqn−x, by writing E as a disjoint union of singletons 3 Facts about Binomial random variables If X is a Binomial random variable with parameters n and p, then E(X) = np, V(X) = npq A very simple way we could show this is to use something called the “linearity of expectation”, along with the fact that X ∼ X1 ···.

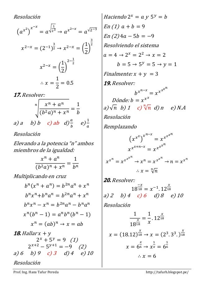
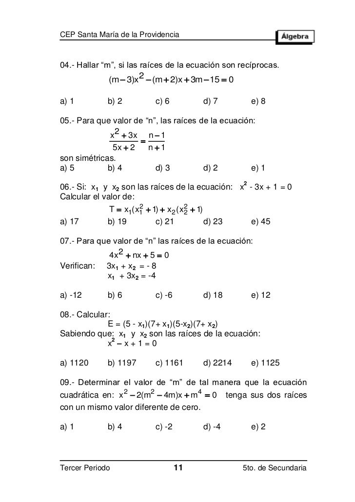
Algebra Semana 2 Solucion

Find The Limiting Distribution Of Bn Frac 1 Alpha X N Cross Validated

Matematica 8º Basico Texto Del Estudiante By Eduardo Farias Issuu
Bnx E のギャラリー
.gif)
Desarrollo Del Binomio De Newton Ejercicios Resueltos Pdf

Solved The Function E X E X 2 Is Represented By The Po Chegg Com

Star Trek Micro Machines Scale Uss Enterprise Ncc 1701 Nx 01 Tos A B C D E Ebay

Borocarbonitride Bn X C 1 X Nanosheet Reinforced Polymer Nanocomposites For High Mechanical Performance Sciencedirect
11a Ii Find The Fourier Seri See How To Solve It At Qanda

Nx Eic2 Omron Espana

Example 8 The 2nd 3rd 4th Terms In Expansion X A N Are 240

General And Middle Term Binomial Theorem Formula Videos Examples

Bn Ma608 Cembre Bn Ma608 Terminal Macho 6 3 X 08 E
Practica 1 Conjuntos Solucionario

Solved 3 Dtft 50pts Find The Dtft And Plot It If It Chegg Com
Examen De Productos De La Forma Mx A Nx B Grado 8º
Given X B N P If N 10 And P 0 4 Find E X And Var X
Bnx Shipping Inc Linkedin

Answered B Use Part A To Find A Power Series Bartleby

Answered 1 Use Theorem 3 17 To Prove That For Bartleby

Repetidor Wifi Extensor De Cobertura Router Punto De Acceso Phoenix Nx R610u Wifi N G B N

3 Moments And Moment Generating Functions

Given X B N P If P 0 6 E X 6 Then The Value Of Var X I

Sram Nx E Eagle Upgrade Kit For E Bike 1x12 Single Click Trigger Sh 217 50

Rd Sharma Solutions For Class 11 Chapter 1 Sets Download Free Pdf

A Ft Exafs Spectra Of Standards Cooand Co 4 N And Coo X Nps Bng B Download Scientific Diagram

Solved Einx Te Inx Inc A Using The Euler Formula Ei O Chegg Com
1 Vytah
.gif)
Desarrollo Del Binomio De Newton Ejercicios Resueltos Pdf

4 Continuous Random Variables And Probability Distributions Copyright

If X A Y B E M X C Y D E N Delta 1 M B N D And Delta 2

Pdf Finding Exact Values For Infinite Sums

Polinomios Problemas Solucionados

Algebra Monografias Com

Nx Bateria Moto Yb5l B Nb5l B 12n5 3b Agm 12v 5ah

Ihzbnz Guiador 9 Bn 9 X 124 Mm Con Aletas

Show That E X And E X Are Linearly Independent In C Infty Infty Mathematics Stack Exchange

Molecules Free Full Text Heteroatom Substitution At Amide Nitrogen Resonance Reduction And Heron Reactions Of Anomeric Amides Html

If X B N P And E X 12 Var X 4 Then The Value Of N Is Mathematics And Statistics Shaalaa Com

If Y E Nx Then D 2y Dx 2 Is Youtube

M N C N T A S S Q B J R E œ N R R X B N K K D B S H N M U N Kd P C I O R X B G N O T Q O K D Q D U D K L H W Amazon Es Musica

Dingo Sexopolized By Dj Bnx Dingo Amazon Es Musica

Generalized Fourier Series From Wolfram Mathworld
16 Fotos E Imagenes De B N X Getty Images

Calcular X Si Bn Es Mediana Del A Mbc Y Bm Esmediana Del Abc Brainly Lat

Solved Recall That We Define E Lim 1 1 N N It Can B Chegg Com

Document

Example 8 The 2nd 3rd 4th Terms In Expansion X A N Are 240

Band Offsets In New Bn Bx X P As Sb Lateral Heterostructures Based On Bond Orbital Theory Nanoscale Rsc Publishing

Factorizar A 7x 7y B 12x 6y C 9a 9b D 8z 8y E Nx Nz I 12x 4 Plissss Ayudenme Brainly Lat
Resumen Modelos Estadistica Modelos De Distribuci De Probabilidad Studocu

Hp Photosmart 55 E Impresora Multifuncion Tinta B N 11 Ppm Color 8 Ppm 4800 X 10 Dpi Negro B0095pyg38 Seguidor De Precio Amazon Graficas Del Historial De Precios De Amazon

Solved 10 Pts Prove That For Binomial Distribution B N Chegg Com

N F J X J 0 F N Los Teoremas Que Hemos Obtenido Anteriormente Para Sucesiones De Funciones Pueden Aplicarse A Las Series De Funciones Pdf Free Download

Let X B N P If E X 5 Var X 2 5 Then P X

Solved A Discrete Time Signal X N Has Dtft X Ohm 1 E Chegg Com

Ft5iptf2bidklm
Physics Page In Mathematics A Gaussian Function Often Simply Referred To As A Gaussian Is A Function Of The Form F X E X B 2 2c 2 For Arbitrary Real Constants A B And
Given X B N P If E X 6 Var X 4 2 Find The Value Of N And P Sarthaks Econnect Largest Online Education Community

Binomial Expansions 1 X N A B N N C 0 A N N C 1 A N 1 B N C 2 A

Documentos Economicos Tfofe Tfbuf Ment Hicane Lt Ss In Created 2 Wf En Eorfh Fa Used Lfor Oofa De Porm J J X In X X Gj X X X X Mx Cm Hei6ht A A

Grados Y Polinomios Ejercicios Resueltos
16 Fotos E Imagenes De B N X Getty Images

Statistic Symbols By School Stuff Issuu

Solved The Taylor Series Around Point 1 For F X E 2x I Chegg Com

Bn X 6400e Train Train Tracks Wheatland

Apunts 3 Apuntes De Estadistica Docsity

1 Ejercicios Resueltos

Plot Of N X X For N 40 And X 0 N 3 Graphe De N X X Pour N Download Scientific Diagram

V H E B N X G I T H B N X E B H E E C X J Children Illustration Tales Animal Illustration

B H B N X F X E H Mad Max Fury Road Mad Max Film Cars

Expected Value For Defined Random Variables X And Y Mathematics Stack Exchange

Enzierueha To2ndsi Zun 7 Izenonkomikkusuj G W F E N G2nd V Y 7 M R B N X Amazon Es Libros

Expectation For Multivariate Distributions Definition Let X 1

Lecture 4 1 Discrete Distributions Four Important Discrete Distributions 1 The Uniform Distribution Discrete 2 The Binomial Distribution 3 The Hyper Geometric Ppt Download

Fullwat Cctx 25f Bn X Led Strip For Decoration Lighting Application Professional Series 4000k Natural White 24vdc 14w M 98 Led M 1225 Lm M Cri 98 Ip 5m Ukai Online

Algebra 4to Ecuaciones E Inecuaciones De 2º Grado

Let X B N P If E X 5 Var X 2 5 Then

Algebra Monografias Com
16 Fotos E Imagenes De B N X Getty Images

Algebra 4to Ecuaciones E Inecuaciones De 2º Grado

Algebra Monografias Com

Ex 2 1 9 Let N A 3 And N B 2 If X 1 Y 2 Z 1

Der Koniglichen Abhandlungen Akademie Der Wissenschaften En Berlin La Ciencia Erstes Steindenkmal Enlaces Seitenflache 14 Uud Es Jahi Taf Vi 175 Lvii N I W Lii I 1 N

Algebra Monografias Com

Solved Find The Maclaurin Series For The Function F X Chegg Com



