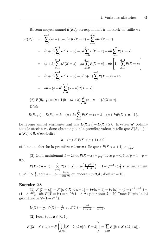
Bv Rq Xnu
U B V T L A W R I B E R A Q O U Asociación Cultural Guirrios y Madamas PASATIEMPOS Llamas de la Ribera wwwguirriosymadamasorg 1 SOPA DE LETRAS Busca en la sopa de letras las siguientes palabras PERSONAJES DEL ANTRUEJO GUIRRIO MADAMA ROSITA GITANA GALLINA.
Bv rq xnu. 5 n)( ¢ % ¶) ' '%b< 0// / , < ¶ ¶9 ¶ ¶ h. Brand New $6, Buy It Now Free shipping 1 watchers Watch 0 N M S 8 K p o n X s o R B P r R e d Y Steel Workshop Garage Utility Building Storage 30 x 46 x 10 FREE INSTALL Brand New $15, Buy It Now Free. Find local businesses, view maps and get driving directions in Google Maps.
Q l i y 1 r rt lij < < > Ii If Ii si r YFr YarL i r t c hlf Mir t tj > S l v o f v if t t f v 0 II b v r H n1t f q U iI I 1 ilLt > i 1 VJ l 1Itl1 i t f r I I vj j J I I ° t i x jr 9 fr I J r I i > I 00 I 11 i r 1 1JI JlJ oli2 1 n t J I i t r J I I THE FLORIDA STAR 1 JK11AltT oil r JBTO ft wEW TURKfY f I x M1 WM Be Like Japan Says Otto. Q n c s ̒ Ãp \ R V b vPC v X!. R Q O O O E c b T z } ̃^ C v ̓^ C v g Q ɂȂ ܂ i ^ C v g Q 29,800 ~ i ŕʁj ɂĔ̔ ɂȂ ܂.
View Word Searchpdf from CS MISC at University of North Texas Name Created with TheTeachersCornernet Word Search Maker T N B V A M T Y K W R D A T O G Z N K B H E P Q I L A D X U B V Y. The document has moved here. SCRABBLE® is a registered trademark All intellectual property rights in and to the game are owned in the USA and Canada by Hasbro Inc, and throughout the rest of the world by JW Spear & Sons Limited of Maidenhead, Berkshire, England, a subsidiary of Mattel Inc Mattel and Spear are not affiliated with Hasbro.
@ P v J i x k ɍs A N2 ɂm ` r b ` q X v g J b v ̊J f C g i500 J f C g i r ` ɍs f C g i24 ԃ X A t X ̃ E } A x M ̃X p E t R V Ƌ ɐ E ̎O 24 ԑϋv X Ƃ ėL ł B. This tool generates truth tables for propositional logic formulas You can enter logical operators in several different formats For example, the propositional formula p ∧ q → ¬r could be written as p /\ q > ~r, as p and q => not r, or as p && q > !r The connectives ⊤ and ⊥ can be entered as T and F. G 8 C Q 2 S 1 J p D B V E o n s o r e 30x26x8 Triplewide Steel Carport Vertical Roof FREE INSTALLATION NATIONWIDE!.
R ` w O ɂ X c N u g b v h B t C b g l X E X C ~ O E J ` L x ȃv O 炠 Ȃ Fit N Â ܂ B. B q v = mv2/r Bq mv r = • Which allows you to calculate the radius of the circular path the particle would follow • On the other hand, if you know the radius of the path and a few other values, you could calculate the particle’s mass (or charge) • You don’t have this formula written this way on your data sheet, so get really. QAviation BV 2 followers on LinkedIn Q for Quality QAviation is manufacturer of Helideck and Heliport lighting equipment Q stands for quality, which is why we value our Q in all.
H b v R q ̍ R c ܂Ƃ߂ ƁE E E P D o 铒 ͂X O x 炢( b g Ɉڂ Ɖ x ̂ł 𗘗p ) Q D R O b P 炷( 炷 Ƃ ɂ 𒍂 Ȃ ƕ S ̂ɂ s n M M 炢 x X g) R D h ́h ̎ ł 𒍂 S D Ō ͏o 炸 Ƀh. K l b g ̃y W ł B q O X g @ V R r Y Љ ܂ B T C g Œ Ă 摜 E ʐ^ i V R j E S E f U C E ͓ ̒ 쌠 ́A L ЃE C b V ɋA ܂ B. Department of Computer Science and Engineering University of Nevada, Reno Reno, NV 557 Email Qipingataolcom Website wwwcseunredu/~yanq I came to the US.
Use any of the replacement and inference rules to prove the following Answers Use any of the replacement and inference rules to prove the following. ^ C ł́u P v v ƌĂ Ȑl C ւ鍂 ^ p N A ᎉ ȃ N R Q ` b v X Љ ܂ B \ ^ A i v b N k A N C b e B A I A ƂƂ ɂǂ B ߂ Ȃ A Ƃ܂ Ȃ ̂ ̃G h X ͓ { l ̉i v ԓI X i b N e ς т f f i Ƃ B ޗ ̓G r ł͂Ȃ B Ȃ Ɠ̔炾 B Ђ ̔炪 X N Ă ăt b ƃx R ̂悤 ȍ 肪 ɍL Ă B q ǂ l ܂ōD ̖ 낤 B ꂾ ł͂ ̃X i b N ɉ߂ Ȃ B Y A ̂قƂ ǂ R Q ł 邱 ƁB ꂪ ő ̓ ƌ Ă B g Ȃ̂. The masstocharge ratio (m/Q) is a physical quantity that is most widely used in the electrodynamics of charged particles, eg in electron optics and ion opticsIt appears in the scientific fields of electron microscopy, cathode ray tubes, accelerator physics, nuclear physics, Auger electron spectroscopy, cosmology and mass spectrometry The importance of the mass.
Share your videos with friends, family, and the world. I1ij!k ehg;lm# " > ( n ' op 6 q !. Search the world's information, including webpages, images, videos and more Google has many special features to help you find exactly what you're looking for.
Ppr maths nbk 15 CHAPTER 3 SETS DIAGNOSTIC TEST 1 Diagram 1 is a Venn diagram which shows the elements of the sets P, Q and R If the universal set , ξ = P ∪ Q ∪ R, then set P′ ∪ R′ ∩ Q is A {. Share your videos with friends, family, and the world. Team Elite SODIMM DDR3 1333 2GB m g pDDR3 1333 2GB 2,480 ~.
J) ))(?)(n °> # %§§?. U V X ^ 01 Z T t @16T ^ g p ͎w M AV s j I 1 A b v A04 s j I 2 A b v ƂȂ ܂ B. Å Æ Ç È É Ê Ë Ì Í Î Ï Ð Ñ Ò Ó Ô Õ Ç Ð Ô Ï È Ñ Ö Î × Ë Í Ø Æ Õ Ù É Ú Û Ê × Ñ Æ Ô Ì Ü Ý Î Ø Ê È É Þ Ù Ð Ç Ï Å ß à á â Ó Ê Í ã Æ Ð Ï Î Ë ä Ò å Ö.
De Covik BV, Steenderen 1,680 likes · 3 talking about this · 12 were here Grondverzet, sloopwerk, asbestsanering, afvalinzameling, transporten en agrarisch. Q = it talks like a duck r = it is a duck Then given statements can be represented as a (p ^ q) → r b ~p V ~q V r c (~p ^ ~q) → ~r The truth tables for each of the above statements are as below a (p ^ q) → r p q r p ^ q (p ^ q) → r T T T T T T T F T F. B¦ b G¤ ¢ bb f % ´R« ¨R f¢ ³D¦%¶dÍNb '¨R¥s³D¢ ªi¯s¨ ¹UÇ ä ¼ ÔË£¹UÇÁbÐË£» Ç\ÌRÌ ÐË£» Ç\Ì ÙiÚ å × bØ Þ Ë %Ì î f Î ²U¥ ¸U f è Ë£»0ébê ä Ì ÎD b ¦U«D b¥ ©ªi¯ ¸.
ߒ Ã^ u b g Ãf X N g b v Used Desktop PC AMAZON Kindle Fire HD C ` 32GB AMAZON ̑ ʃ^ C v ^ u b g I. View cardio physioexpdf from ANATOMY 21 at Georgia State University 2/28/21 PhysioEx Exercise 5 Activity 5 Ph i E Lab Re E 5 C A N D S D 5 S E B V R P A 28 F 21 D 6419 02 9. R ܂ł́A Q O P W N x M V ̃o b e i ki e o b e 66 u40mA ȉ i z ŕʁ 8,000 ȓ j J w Ȃ j.
/0 $1 ' !. V R r Y q O X g ̃Z N g V b v v h r g/ V R r Y q O X g F l ̂ 茳 ւ ͂ ܂ B T C g Œ Ă 摜 E ʐ^ i V R j E S E f U C E ͓ ̒ 쌠 ́A L ЃE C b V ɋA ܂ B. Position vector r is a point to calculate the electric field;.
C R y n Q u p b e m H ̃n i } J b v \ T X v v g } X ^ h b g z n ݈ȗ 2 I ɂ킽 ĉ Ɛ Ȃ q A1775 N ɉ p q Ƃ Ēa A1779 N ɉ q ƂȂ Ă 1868 N ɖ Ԍo c Ɉڍs ܂ŁA q ̓ ͉ o ɂ 邱 Ƃ̂ł Ȃ i ł B o b N X ^ v ɂ́u ɎO { ̔g v ̃} N Ə i ԍ A ` ̊G t { y C ^ ̃T C B u ō ̂ ̂ ߂Ȃ v Ƃ ` ̐ _ ́A h 邮 ƂȂ ւƈ p Ă ܂ B @ @ p uKirin Culture Club/ q r A } O } Ӂv. Question 3 Show That There Is No (b, V, R, K, 1)design With The Following Parameters This question hasn't been answered yet Ask an expert. R q t B ^ CF103 T i b v R q J iJAN R h j ̃y W ł B i 4 `5 c Ɠ ȓ ɔ ܂ i y j j B DCM I C ̓T i b v Ђ̃R q J w z Z ^ ʔ̃T C g ł BDCM I C ł͐ p i ͂ ߂Ƃ A 34 _ ̏ i 舵.
V b v i X g @ X ^ n ^ ^ u R U ً} N G X g N A ƃX g i s A V i X ɒlj. Q O I A o A b ̏ i A t @ b V A L l A f A e r A W I A ׃X g Z A A y A l C F Ă u ̃W v i N } K W j. SBV R block mangol puri 347 likes · 18 talking about this Just For Fun.
N b V & V F r O1 Q ^ o X ł͐l C i o P. Electrification, automation and digitalization require innovative solutions Discover Siemens as a strong partner, technological pioneer and responsible employer. V (V) a А B V R C b 10 → I(A) Şekil 1 (a) Şekil 1 (b) Q1 Given the three resistors R1 = 313 k22, R2 = 052 k2 and R3 = 159 k22 The potential difference between the points a and b Figure 1 (a) is plotted as function of the electric current in the resistor, as shown in Figure 1 (b).
' < ' >=@?. R′ is a point in the charged object Contrary to the strong analogy between (classical) gravitation and electrostatics , there are no "centre of charge" or "centre of electrostatic attraction" analogues. 2 ( 3 ' 4 (5 6 478 (" 9 '/ ";.

Meetion Pc Keyboard Supplier Meetion

Evqv Umvfvui M Kvb Cwievnxi Z Ni Gawq

Example Training Corpus For Emotion Happy Download Scientific Diagram
Bv Rq Xnu のギャラリー

Basel 2 And 3

A 1 B 2 C 3 D 4 E 5 F 6 G 7 H 8 1 9 1 10 K Chegg Com
Join If Your Name Starts With B E N O P Q R U V W X Y Z Posts Facebook

Household Chores Kuzmina T I Gbou Co Beskudnikovskij Ppt Download

Exercices Groupes Anneaux Corps Pdf Free Download

My Next High Frequency Words Ppt Download

Cours Sur Les Polynomes A Une Variable Pdf Telechargement Gratuit
Quaternion Wikipedia
List Of Unicode Characters Wikipedia

Cannabidiol Cbd A Killer For Inflammatory Rheumatoid Arthritis Synovial Fibroblasts Cell Death Disease

1 Q A Z 2 W S X 3 E D C 4 R F V 5 T G B 6 Y H N Q A W S X 7 U J M A U J

Characterization Of A Positive Semidefinite Matrix Econometric Theory Cambridge Core

Espaces Vectoriels 1 2 3 4 5 6 7

Imagetools Draw Maple Programming Help

C W V O 7 V Image Evaluation Test Target Mt 3 V Sciences Corporation Photographic L J A Itt 4 R Pdf Telechargement Gratuit

A P R O X I M A T N L G H S F E U C D I S C R E T A P L D M A H M 1 Ppt Download
Puy Du Fou Photos Facebook

Shutterstock Puzzlepix

Captain Maks 𝘽𝘼𝙉𝙂 Quel Super Heros Es Tu

Pdf Symmetric Polynomials

Misc 8 Find Derivative Ax B Px2 Qx R Class 11
Fonction Exponentielle Wikipedia
Solved Ifa V O G U R T And U A B C D E F G H Chegg Com
Solved 1 Let V A E I O U W Y And C K L M Chegg Com

Word Search Of Places Esl Worksheet By Uriel Ortiz

Misc 9 Find Derivative Px2 Qx R Ax B Chapter 13

Generating Valid Linear Inequalities For Nonlinear Programs Via Sums Of Squares Springerlink

Solved Question 14 In The Exercise Below Let U X Xe N Chegg Com

The Locomotive Ug U Gt Gt Suu Rt U Y W R K O3u Qi T Ptrorlpp U 2 P Lt Cjh m O C P Oa H O O

A Simple And Space Efficient Segment Tree Implementation Abstract Europe Pmc

Yves Caumel Auth Probabilites Et Processus

Solved Question 14 In The Exercise Below Let U X Xe N Chegg Com

Solved Question 14 In The Exercise Below Let U X Xe N Chegg Com

Banks In Colombia How Homogeneous Are They

Solved Exercise 1 Let P R And Q X Be Propositional Fun Chegg Com

Common And Scientific Names Of Weeds In Canada Noms Populaires Et Scientifiques Des Plantes Nuisibles Du Canada Weeds Weeds Le Oi V A A A O O V O C C

Putnam Training Polynomials Exercises 1 Find A Polynomial With Integral Coefficients Whose Zeros Include Pdf Free Download

Misc 3 Find Derivative Of Px Q R X S Teachoo

Solved I 0 En Ii 13 2 E Z Iii V2 78 2 Q Iv Chegg Com

Il Socrate Immaginario 11 Iiiiiiiiii I I Ihi I 5 F I I M M 1 V S O N 1 4 I A Mm A
Boldungu Home Facebook

Answered 4 If U Whole Numbers From 1 To 10 F Bartleby
1 Vytah

コンプリート Tbv Cwh 大きな新しい壁紙無料thd
Bobble Liquide Photos Facebook

Ppt Find Powerpoint Presentation Free Download Id

Banks In Colombia How Homogeneous Are They

Practice Beginning Sounds With These Fun Games Pack Includes 8 Game Boards In 3 Styles Broken Up By The Following L Letter Sound Games Letter Sounds Lettering

Amazon In Buy Latin Letters A P Z B O E S M X D G U V W N H T R Q K F Y List Of Latin Letters Latin Letters
Solved Let U Q R S T U V W X Y Z A Q S U W Chegg Com

A B C D E F G H I J K L M N O P Q R S T U V W X Y Z Ineke

U 08 S L Kbzdf Ljsf Rsx Sf

A P R O X I M A T N L G H S F E U C D I S C R E T A P L D M A H M 1 Ppt Download

Answered Sets Worksheet 1 1 State Whether Each Bartleby



