Vc Rf Fbx
L V C R E T I Λ 658 likes Logos Flyer Drawings Illustrations Layouts Facebook is showing information to help you better understand the purpose of a Page.
Vc rf fbx. C x g p i ^ o c A Ŕ Ȃ A B S Ή A f B X v C r b N ւ C I 814 s 揔 U ڂQ O W. { f R A e B X g ́A f R A g ̕ y Ɛ Z p ̔ W A ړI Ƃ A f R A g Ɋ֘A Ƃ𒆐S Ƃ Đݗ ꂽ c ̂ł B u f R A e B X g v Ƃ́A f R d E f R O b Y ɑ \ 郉 C X g Ȃǂ g p f R V Z @ g f R A g h ̐ Z p ҂ w ܂ B. Oct 09, 08 · f ́A А i p ܂ Đ ɂ 肪 Ƃ ܂ B ā008 N9 9 ɂ m 点 ̂Ƃ A1998 N12 04 N9 ܂Ŋ Ѓ\ e b N o ׂ ܂ b q s i u E ǁj f B X v C uMC17K01 v ɂ ܂ āA f B X v C 㕔 ُ̈픭 M ɂ P X ό` ̎ Ⴊ m F A Ђ͂ ̌ Ă ܂ B.
T C Y t T C Y Б ̕R ̒ ͖ 30 ł B( u ) L k D ܂ B J T t @ C A u b N z C g p v x W b h s N f X A G X e A i R ̂ŁA ߂̏ ł S z v ܂ B f U C Z N V ɕ\ ł ܂ I R t ŃZ N V w \ ł ܂ B X f ނō Ղ ł B f p ̏ i ́A T v i ׁ̈A ۂ̏ i Ǝd l ׂ قȂ ꍇ ܂ B 摜 ł͂ł 菤 i ɋ߂ 悤 H ܂ A ̃ j ^ ɂ Ď ۂ̏ i Ƒ F قȂ ꍇ ܂ B. T o b N ^ K V c ł B u V c Z b g u W V c f B X Y h J T o b N ^ K V c ㉺ s N l C r u b N DRW. & " # n !.
I X g A T t B X N T V C X e g T t B X N S h R X g E i 擾 C t Z r O C X g N ^ ЃT t B { f B { h b X ͔N x ɂāA 2 iAM PM j Ís Ă ܂ A. F First concrete steps that can be taken towards the vision. É w ߂ ɂ l N ^ C V c ƃX c ̃R f B l g C N ┯ ^ ܂Œ āB f B X X c B j 猩 Ă j O ̊痧 ̎ 傾 ܂ l N ^ C ׂ n ŃX c i ` ȑf ނŘV Č Ă ܂ B.
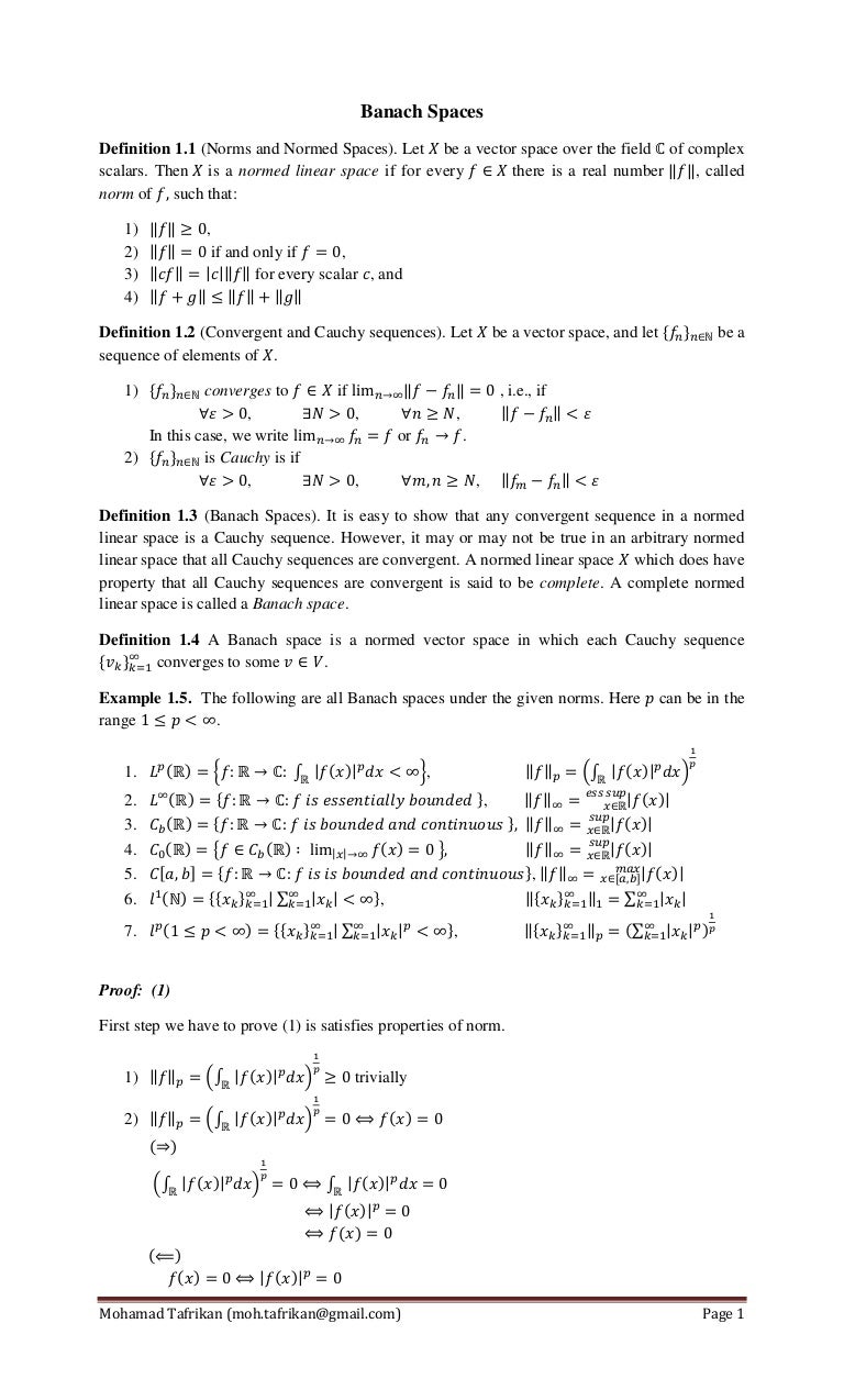
Ђ́A v A Ή v ̃R T e B O A { H A Ǘ A C x g W A r W l X V ɂ ̊ p A A ̃ ^ A Ԓd A A ́A { ݊Ǘ s Ă Ƃł B C y ɂ ₢ B ЂɊւ 邨 ₢ ́A ̃t H 肢 v ܂ B O / Ж K { Z d b ԍ K { ₢ 킹 e. ЃW p e r ł́A p @ 𒆐S ɁA f @ E @ ̃ ^ ѐݒu E I y V s Ă ܂ B ŐV AV @ ƌo L x ȃX ^ b t A f \ T g ܂ B. V J S ł͂ ݂̃f p gMacy's B V o O ɓ X ̉Ƌ X ܂ B Q K Ă̍L X Ƃ X ɂ́A ɃN b V b N ƃR e 𒆐S ɏ i ̉Ƌ u Ă ܂ B ɃR f B l g ăf B X v C Ă ̂ŁA C W N ₷ ֗ ł BMacy's ͂ 낢 ȗL f U C i Ƌ 舵 Ă ̂ŁA 푽 l ȃX ^ C I ׂ ̂ ͂ł B @ Ă 瑼 B ɂ 铯 X q ɂ f U C i Ɏ z 邽 ߁A J X ^ łȂ Ă z B ܂ł 3 T Ԃقǂ ꍇ ܂ ̂ŁA } ̕ ͋C ܂ 傤 B.
" { y W F b g X g v C " T Ȃ牿 icom ցB S ̃l b g V b v ̉ i A l C ̃ L O A N ` R ~ ȂǖL x ȏ f ڂ Ă ܂ B ̏ i ̒ 炠 Ȃ T Ă " { y W F b g X g v C " r E ł ܂ B 悭 i 荞 ܂ Ă J e S N M (150) ̑ ̉ p i (24) ̑ ̕ E (69). V c R t Ɋւ i F 1260 ~ i ō j \ F ɂ u J i ̓ J T C g Ɋ Â Čf ڂ Ă ܂ v i ڍׂȂ肽 I C ^ C v ̐ Ȃ g g g R g A ܂ ₷ A Ȃ߂炩 Ȏ ɓ ܂ B y g p @ z ^ I h C A K ʂ ̂Ђ ɂ̂ A ɔ ψ ɓh z ܂ B ~ f B A ɂ 1?2 v b V ڈ ł B y z V N x ^ V L T A W ` R A W G ` w L V V N w L T A i V N/PG v s ` V W I j N X } A Ԃǂ q A L ӍL ӃJ Y W p Ё@TEL J w P. C ^ l b g ƃ} ` f B A Ɋւ I C ̎ T ̔ ߌ^ ǂ A f ̖ 8 ˍ\ ŁA 2 ߍ\ ̗p A ˌ^ A ߌ^ ꂼ ̒ ł ߌ^(Visible Everywhere transflective type) ቷ V R TFT t \ p l ̑ ́B ߌ^ ቷ V R TFT t f B X v C ̓ Ƃ ẮA Ԃ̎ԓ A O A 邢 ł͔ ˌ^ Ƃ ăo b N C g ̓_ Ȃ ł̕\ ( ˃ h \ ) \ ŁA ɉ f ̖ 8 ˍ\ ̂ ߁A 邳 ͏ ̔ ߌ^ ɔ 60% サ A ̔ ߌ^ ł͌ Â炩 Ɩ ̈Â ł o b N C g _ Ȃ ˃ h.
Sep 26, 06 · Related Threads on LINEAR_ALGEBRA What is a subspace of V = F(R, R), the vector space of all real funcs Determining subspaces for all functions in a Vector space Last Post. PDK1052SV y p \ R f X N z Ӌ@ 킪 ݒu \ B Ƃ 1000mm f X N B i ɁA Đ Đ v X ` b N Ȃǃ T C N ޗ ނƂ Ďg p Ă 鐻 i B L X ^ t. Cd ç cv vb.
& ) n o o / * !. @ \ ̉ p A O q ̐ 琄 ł 悤 ɁA u ʈ ̎ W v сuZipPrint v 3270 f B X v C E Z b V ݂̂Ɏg p \ ł B ̕\ ́A ǂ̃^ C v ̃f B X v C E Z b V ɂǂ̈ @ \ g p \ ڍׂɎ Ă ܂ B. X is the cost of the change Dannemiller version C = D × V × F > R C = D × V × F > R Three factors must be present for meaningful organizational change to take place These factors are C is change;.
Apr 16, 21 · I K R A I V C S W F B G P Q L @ A X Y Z \ ^ _ ` a Z b Z c d b ` ^ _ e d f \ _ ^ _ Y ^ g ^ Y h \ i j Y Z \ ` a Y h b ^ _ e ` a ^ j c \ _ Y Z k^ l ^ j d f ` Z _ \ ` ` b ^ m h ` Z Y ` d Z _ j h b ^ _ e !. 1604 t f B X v C ̂ T l C 摜 N b N ƁA g 摜 ⓮ ʃE B h E ł ɂȂ ܂ B. { @ ̊O f B X v C R l N ^ i j ɂ́A ʔ ̃v W F N ^ ڑ 邱 Ƃ ł ܂ B v W F N ^ ́A v e V Ȃǂɗ p 邱 Ƃ ł ܂ B ʔ ̃v W F N ^ ̐ڑ ̂ ́A v W F N ^ ̃} j A B ܂ A g p ꍇ ̓v W F N ^ ̃} j A Q l ɂ ĕ\ 𑜓x i h b g j A g iHz j Ȃǂ m F Ă B.
H i l b > t c x b o g n i b g l k g v c f j c @ v b k g g c n g w b x g @ c j c n i f b x c e x r x x c a c b l" j > v k c u j o b j e b x n w ?. Estrogen therapy was used to treat advanced breast cancer in postmenopausal women for decades until the introduction of tamoxifen Resistance to longterm estrogen deprivation (LTED) with tamoxifen and aromatase inhibitors used as a treatment of breast cancer inevitably occurs, but unexpectedly low. Jan 03, 17 · chkdsk volume /f /v /r /x /i /c If used without parameters, CHKDSK displays only the volume's status and does not fix any errors If used with the /f, /r, /x.
{ f B V c ̍ŐV i F 3045 ~ i ō j \ F ɂ i ӂ D t C X f ނ̃{ f B V c ł B ʔN p L k ʋC ɂ ꂽ t C X f ނ́A D K ł _ 炩 ȕ ŁA ^ ɂ 킦 āA W s N ƃu ̂ F ڂ X e L Ƃ Ă ǂ ȑf ނȂ̂ŁA Ԃ ̕q Ȃ ɂ҂ ł ܂ ̎h J ͓ ʎh J Ȃ̂ŁA Ƀ` N ` N 炸 A S ł B60cm 0cm ͒ ւ ₷ O ŁA ł 킹 } W b N e v łƂ߂ ^ C v B80cm ͏ォ 炩 Ԃ ^ C v ɂȂ Ă ܂ B ҉ ̓X i b v { ^ łƂ߂ ̂ł ނ ւ N. F 12 = Gm 1 m 2 /r 2 (in general) (where G = 667x1011 Nm 2 /kg 2) F spring = k x Friction f 1 = k N (kinetic) f S N (static) Work & Kinetic energy W = F dl W = F r = F r cos (constant force) W grav = mg y W spring = k(x 2 2 x 1 2)/2 K = mv 2 /2 = p 2 /2m W NET = K Potential Energy U grav = mgy. & " % " !.
V Vision of what is possible;. \ F 24 b 40 b 100 12 i 2 j R R X V cMAX DRY APOLLO. ̔ قɂ͊w K I ̍ W R ܂ A G 邱 Ƃ̂ł 镨 ͉ Ă 镨 A f B X v C ̎d  ۂ 邩 ܂ B s @ ɏ Ȃ Ă e ɓn C 𖡂킦 邾 łȂ A ^ C g b v ܂ł ł ̂͋M d ł ˁB T ɂ Ƃ s 𖡂 Ă݂܂ H.
Answer to 2 Let fR → R by f(x) = 2x 1 Let A = 2,5 B = (1,3 C = (–2, 3 D = 1, 4) Find each of the following (a) f. ̃ j ^ E f B X v C ɑ N ` R ~ f L O y W ł B ̃ j ^ E f B X v C J e S ւ̓ e т m 邱 Ƃ ł ܂ B ŏI e ̐V ɕ\ Ă ܂. " 0 o n n ) $ ) " % n " % # ( !.
Fact The limit lim, a F(x) exists Ve > 0 38 > 0, such that for every V1, V2 with a. Copyright(C) 10 Tym Visual Co, Ltd All Rights Reserved. F B v C p N g 02 @ T f T C X *Sunday Silence 1986 @ Halo Hail to Reason.
F { ̂ ՂƎڔ u c ՁE ڔ v B y A X N R T g f B i V ̈ē BCD i ̏Љ B 1994 N ՁE ڔ E m y ɂ f B i V F { s ̃z e L b X ɂĊJ ÁB Ȍ A N J ÁB. I F 999 ~ r F428 r F4373 i RTM V c f B X 5050 f 53oz @ R } u n ̎q d グ 60 G X e 40 z h C H/UV J b g/ L @ \ T C Y T C Y g g Б GM(XS)6043 GL(S) yRTMselect z V c { f B f ށwUnitedAthle( i C e b h A X ) x ͂ ̃V G b g Œ S n y A 荠 i ̃h C V c f B X ł B G=Girl'sSize( K Y T C Y) Y T C Y \ L 1cm?2cm x ̖D 덷 ꍇ ܂ ̂ŁA \ ߂ B PC j ^ ɂ Ă͎. CIAOPANIC TYPY i ` I p j b N e B s j ̃ V c i x W n j g R f B l g ł B ŐV g h A C e g Ȃ Y I p A C e ̈ꕔ ZOZOTOWN ōw ł ܂ B.
USEAL LINE( V C ) R f B A b N f b L o b O v ̃I C V b s O T C g ł B linkMMMAA086 @linkZZZAA099 @linkCCCCC003 @linkOOOAA0 @linkEEEZZ031. Jan 28, · Example 44 Let f X → Y be a function Define a relation R in X given by R = {(a, b) f(a) = f(b)} Examine whether R is an equivalence relation or not Equivalence relation are Relations which are reflexive, transitive and symmetric R = {(a, b) f(a) = f(b)} Check reflexive Since f (a). Rucca / 5490 C X g ̂ 鐶 n 炵 V G b g Ă܂ B 47 I X h C V L ^ b ` s V c( f B X j.
D Dissatisfaction with how things are now;. T V c f B X ̂ Љ Ă ܂ B i F 4,298 ~ r F000 r F0 y i z ܂ ̓V X f ށA f R e Z N V Ɍ V G b g ̃ s X V t g ɂ̓^ b N 炢 A Ɗ ̂ 钅 Ȃ A C e B S ̓I ɏ i ȃt H ŁA Ƃ Ă L g Ȓ Ȃ ł ˁ y z ʏ 13 ȓ y F/ z ~ s N y T C Y zF i o X g F W Wcm E G X g F V Q W Wcm F U Wcm j y f ށz G X e P O O A n F G X e P O O A X F ȂP O O y X g b ` z E G X g ̓S y Y z y f U C i. R f B O ɂ Windows p ɊJ ꂽ g b v G W j A A N G ^ I f W ^ I f B I N X e V Cakewalk SONAR 8 PRODUCER ƁA ^ ɓK R f T } C N _ C i ~ b N } C N g p Ș^ ܂ B.
F ́A А i p A \ グ ܂ B g ̃f W ^ I f B I v ɂ́A R s ^ USB P u Őڑ A R s ^ ̊y Ȃ DAP { ̃X g W g microSD X b g ւ K ɓ ߂ɁA p ̊y ȓ PC A v P V uXDAP Link v R s ^ ɃC X g K v ܂ B C X g A ё @ ɂ ܂ Ă͐ i ̃N C b N X ^ g K C h A 邢 ͐ i { ̂Ƀv C X g Ă 戵 Q Ƃ B XDAP Link ́A А DAP p ̃A v P V ł B. I F 1,600 ~ r F00 r F0 i ڍ׃u h FINGNI i F V c J F ~ ԁF p ͂ ܂ A ڗ _ W ͂ ܂ B ݂Ɏg p ڗ ܂ B d l F O ʂ 6 ̃{ ^ t ꂽ V c ł B F 47cm @ g F 35cm @ F 11cm @ F 32cm 100% f B X @ g b v X @ u b N @ z C g. Y ₩ Ȑ S n ŁA { g X d ăg b v X C Ɖ Ɉ 饥 Ƃ 肪 A ǂ ȏ ̃g b v X Ƃ 킹 ₷ ł ̉摜 ̂悤 ȃV v T V c ɍ 킹 Ă ƁA ` F b N ƓV R ߂̐F Ă ł I ď ۂ o Ă 悵 A C R f B l g ɂ Ă Ǝv ܂ B O ɂ 傫 ߂̃ P b g ł.
U ・R X v ・x ・・X ・・m ・姈/a> 5 ・ ・E5 ・J ・I u E t F b g ・ ・・・ v ヤ韸 Wヲ ・・l u DODGE BOLD NIGHT v C x g J ・・l I ・・・・07 N7 ・ ・i ・j ・S c ・ ・ x 毦/font> ・・・・坅/td>. A W g ԑ Ȃǂ̃t M t g A E F f B O u P A ꑕ A J X j Ȃǂ̓ ʂȓ ̉ԁA f B X v C A ݂Ȃǂ̃t R f B l g B R g ͐A ꂼ ̔ A G ߊ g ݍ 킹 ɂ Ԃ ͂ Ă I C ̉ԉ ł B. Comparing graphs of f and it's first and second derivatives Increasing/decreasing intervals, concavity, max/min.
V c R t ̃j X m 点 i F 1260 ~ i ō j \ F ɂ u J i ̓ J T C g Ɋ Â Čf ڂ Ă ܂ v i ڍׂȂ肽 I C ^ C v ̐ Ȃ g g g R g A ܂ ₷ A Ȃ߂炩 Ȏ ɓ ܂ B y g p @ z ^ I h C A K ʂ ̂Ђ ɂ̂ A ɔ ψ ɓh z ܂ B ~ f B A ɂ 1?2 v b V ڈ ł B y z V N x ^ V L T A W ` R A W G ` w L V V N w L T A i V N/PG v s ` V W I j N X } A Ԃǂ q A L ӍL ӃJ Y W p Ё@TEL. C x g p i ^ o c A Ŕ Ȃ A B S Ή A f B X v C r b N ւ C I 814 s 揔 U ڂQ O W.
/chkdsk-command-2625838-c36255118f404dc18cbc62b4e5663bed.png)
Chkdsk Command Examples Options Switches And More

Ethylene Polymerisation And Ethylene Norbornene Copolymerisation By Using Aryloxo Modified Vanadium V Complexes Containing 2 6 Difluoro Dichloro Phenylimido Complexes Dalton Transactions Rsc Publishing

Match The Following Column I
Vc Rf Fbx のギャラリー

Food For Thought

Misc 3 Find Derivative Of Px Q R X S Teachoo

Solved 26 Point Total Let A A B C D E And B V W Chegg Com

Dhl Pending Notificationdhl Awb ad Online Presentation

If The Determinant X A P U L F Y B Q V M G Z C R W N H Spl

Let V C R Be The Vector Space Of Infinitely Di Chegg Com

Page 3 A N Vv F C High Resolution Stock Photography And Images Alamy

Ti X Phase Diagrams Where X Is A Cr B Hf C Mo D Nb E Download Scientific Diagram

F45 Quantitative Analysis Of Titanium Rich Ores By X Ray Fluorescence Powder Diffraction Cambridge Core

C C Infty Mathbf R Is Dense In W 1 P Mathbf R Mathematics Stack Exchange

99以上 Co T Tbv Y 大きな新しい壁紙無料thd
Mcdonnell Douglas F 15 Eagle Wikipedia

Gotov Sani Letom A Weds Y Zimoj Honda Cr V 2 4 L 08 Goda Na Drive2
2 Math Background Fro Deep Learning Studocu

Paolo Di Lazzaro C R Enea Frascati Enea

Answered Consider The Following Integral 3dx Bartleby

Jnvhbvawoaycqm

Thank You To Our Peer Reviewers In 21 European Journal Of Neurology Wiley Online Library
Fuji Digital Temperature Controller Pxr3 Tay1 Fw000 C

Solved 1 Let C R R Be The Vector Space Over R Of Conti Chegg Com

Solved Qri 3 A 5marks Let U D R Be A Function In A Chegg Com

Rd Sharma Solutions For Class 12 Maths Chapter 2 Function Download Free Pdf
1 Vytah

Osborn S Notebooks Manuscript U Dtfflr K It Qwiya Uurna Fey Gt Covuaihljfct Lt K Gepruli Fi Viii Cjut P Y E F 3d F 4 R W Pe D Jc W Cyv Tey Cjln Illcftnsi I 4 I A Nuu I M Ft 4tm 23 5x Ml B Ec4 0

X Ray Fluorescence Xrf Rigaku Global Website

Materials Free Full Text The Influence Of The Third Element On Nano Mechanical Properties Of Iron Borides Feb And Fe2b Formed In Fe B X X C Cr Mn V W Mn
Ville De Fort De France G F G 0gƭ I ɗ L ގ I9 ơѿ Y Z 9s S Y Tr K Lu 3yٴ E Cr O 7 V Vg Q G K F Eȣq S X D Ln
Wpp Wireless Presentation Pod Rf Exposure Info Appendix Bx Yealink Xiamen Network Technology

Answered Suppose Be R Show That The Set Of Bartleby

Prezentaciya Na Temu Zadanie 1 Najdite I Obyasnite Oshibki V Programme Program Zadacha 1 Var X M Real Y Z Integer Begin X 3 Y 4 63 X X 4 Z X Y M

Solved Exercise 10 3 Show Taylor S Theorem Remains True Chegg Com

19 5v 4 7a Vgp Ac19v35 Laptop Ac Power Adapter Charger For Sony Vaio Vgn Ax Bx Bz C Cr Cs F Fe Serie Laptop Accessories Laptop Ac Adapter Laptop Cheap

Generative Grammar Of Propositional Logic Elmar Guseinov Medium
/LinearRelationshipDefinition2-a62b18ef1633418da1127aa7608b87a2.png)
Linear Relationship Definition

Pokupaem Iphone Na Avito Kak Ne Stat Zhertvoj Moshennikov

Buck Boost Converter

Solved 1 Let F F 1 1 R Be The Vector Space Of Chegg Com

Page 434 F E M A High Resolution Stock Photography And Images Alamy

A Nd And Sxrd Patterns For As Prepared Li 2 V 0 2 Cr 0 8 O 2 F And The Download Scientific Diagram

Solved V And A Consider The Linear Transformation T Chegg Com
Maslyanyj Filtr Honda Kupit V Barnaule Ceny Na Novye Bu I Kontraktnye Zapchasti Dlya Avto Honda

Variation Diagrams For The Metaultramafic Rocks A Ni X Cr B Co X Download Scientific Diagram

Page 3 Programming Language Hd Wallpapers Free Download Wallpaperbetter

Vibrational Behavior Of The M N 1 Ax N Phases From First Order Raman Scattering M Ti V Cr A Si X C N Semantic Scholar
The Derivative Of A Funct Lihat Cara Penyelesaian Di Qanda

Materials Free Full Text The Influence Of The Third Element On Nano Mechanical Properties Of Iron Borides Feb And Fe2b Formed In Fe B X X C Cr Mn V W Mn

Linear Algebra Introduction To Abstract Mathematics Pages 51 100 Flip Pdf Download Fliphtml5

Mcdonnell Douglas F 4 Phantom Ii Wikipedia

Solved 1 List The Elements Following Sets E 2 3 4 F Chegg Com
Hanu

Kak Vybrat Iphone Originalnyj Obmennyj Ili Vosstanovlennyj
Solved Let V C R Be The Vector Space Of Infinitely Di Chegg Com
Definition Of Banach Spaces
S M F S M 2 Dx Ln X X 1 C X R 1 1

Vermont Year Book Ct X Gt Oi T T Cc T X Gt H T X Xc X Xri Rocr C Ti St Ti M J C 515 M

Math 333 15 Homework 3 Due October 15 15 Name

Ti X Phase Diagrams Where X Is A Cr B Hf C Mo D Nb E Download Scientific Diagram

Conjuntos Relaciones Y Funciones Figueroa
Maslyanyj Filtr Mazda Kronos Klze Kupit Ceny Na Novye Bu I Kontraktnye Zapchasti Dlya Avto Mazda Cronos
Sintaksicheskie Kategorii Exp4 Prezentaciya Doklad

Linear Spaces Row And Columns Spaces Ppt Download

Incremental Topological Ordering And Cycle Detection

Materials Free Full Text The Influence Of The Third Element On Nano Mechanical Properties Of Iron Borides Feb And Fe2b Formed In Fe B X X C Cr Mn V W Mn

Calculus Problem Sheet Prof Paul Sutcliffe 1 For Each Of The Manualzz

Rd Sharma Solutions For Class 11 Chapter 3 Functions Download Free Pdf

Ishibashi Music Namm

Rolle S Theorem Youtube

Lesnye Gobliny Ot Devida Gallahera Greenskins David Gallagher Warhammer Fantasy Warhammer Fb Pod Katom Eshe Forest Goblins Fendomy Kartinki Gifki Prikolnye Komiksy Interesnye Stati Po Teme

Ex 1 3 14 Let F X 4x 3x 4 Inverse Of F Is Class 12
Complementos De Calculo Funcion Matematicas Ensenanza De Matematica
Pdf Homework 1 9 8 9 9 Sojun Yun Academia Edu

1 Q A Z 2 W S X 3 E D C 4 R F V 5 T G B 6 Y H N Q A W S X 7 U J M A U J

Electrochemical And In Situ Atr Ftir Studies Of Ethanol Electro Oxidation In Alkaline Medium Using Ptrh C Electrocatalysts Topic Of Research Paper In Nano Technology Download Scholarly Article Pdf And Read For Free On Cyberleninka

Review Of First 1 3 Of Course Ppt Download

Tweetcipher Crypto Challenge Kudelski Security Research
Microstructure Of The Ti Nb Cr V Ni Al Alloys With Different Al Download Scientific Diagram



