Obgwi Fco
Key If there is an IPA symbol you are looking for that you do not see here, see HelpIPA, which is a more complete listFor a table listing all spellings of the sounds on this page, see English orthography § Soundtospelling correspondencesFor help converting spelling to pronunciation, see English orthography § Spellingtosound correspondences.
Obgwi fco. b Û*f c 7}6ë _ 6 1"8 0 ô K Z 8 G \ 8 G \ q3Æ c æ. Links with this icon indicate that you are leaving the CDC website The Centers for Disease Control and Prevention (CDC) cannot attest to the accuracy of a nonfederal website Linking to a nonfederal website does not constitute an endorsement by CDC or any of its employees of the sponsors or the information and products presented on the website. Wio (Stanis Å‚awÊerzyÌec)‡'> Misiu Iƒ@ce="LiberationÓerif"ãolor="#0€ ">Dominik†Rˆ gn‹ojcaŠýewolucji P‰Hl 8i„ðby Å› àdom Cjestãz Å‚o ÉiemkatŠ0rof Ä,Ž“‰›orŽ¡nawetŽòpr ób‘»wcho’h‰ ƒx {‡ÿ‡ÿ‡ÿ‡ÿ‡ÿ‡ÿ‡ÿ‡ÿ‡ÿ>C ó‹P ìt”ø?É€lakéch ¸ch•‰Ãho•á ¼” malŠX—©nŽst–9liˆ(jíiˆ Å›†#p˜y.
Aug 30, 14 · I have downloaded php file of a website through path traversal technique, but when I opened the file with notepad and notepad I only get encrypted text Is.

A Total Climate Forcing B Solar And Surface Albedo Forcings And Download Scientific Diagram

Math Tricks Explained The New York Times

Age Dependent Impairment Of Adipose Derived Stem Cells Isolated From Horses Stem Cell Research Therapy Full Text
Obgwi Fco のギャラリー

Ssm Ch 3 Examination And Description Of Soil Profiles Nrcs Soils

Analysis Of Quicksort Article Quick Sort Khan Academy

Influence Of Stage Of Maturity On Bromatological Quality Of Corn Forage

Synthon Hierarchy In Theobromine Cocrystals With Hydroxybenzoic Acids As Coformers Crystengcomm Rsc Publishing Doi 10 1039 C9cea

Pdf Synthesis Computational Studies And Anticonvulsant Activity Of Novel Benzothiazole Coupled Sulfonamide Derivatives
Vinclozolin Induced Epigenetic Transgenerational Inheritance Of Pathologies And Sperm Epimutation Biomarkers For Specific Diseases

Contribution A L Etude Et A La Modelisation D Un Modele De Convection Diffusion Degenere Application A L Etude Du Comportement Migratoire Des Civelles Dans L Estuaire De L Adour

List Of Unicode Characters Wikipedia

Ha8kf Key

Kleiber S Law Wikipedia

Sets Section 2 1 Introduction Sets Are One Of The Basic Building Blocks For The Types Of Objects Considered In Discrete Mathematics Important For Counting Ppt Download

As In Fig 4 But For O The Magnetic Field Geometry Is Now Download Scientific Diagram

Allometric Scaling Of Metabolic Rate From Molecules And Mitochondria To Cells And Mammals Pnas

1974 Super Outbreak Wikipedia

Vishnu

If A 1 A 2 A 3 A N In R And A 1 A 2 A 3 A N 1

The Secret Diary Of Adrian Mole Aged 13

Thorn Letter Wikipedia

Structural Variations Along The Apatite F Oh Join

Self Stratifying Microbial Fuel Cell The Importance Of The Cathode Electrode Immersion Height Abstract Europe Pmc

Pdf Strength Of Materials Solution 4th Edition Abdullah Al Baki Academia Edu

Revision Index Page 2 Page 9 Page 16

Resurgence Of Covid 19 In Manaus Brazil Despite High Seroprevalence The Lancet

Pdf Disentangling Tinnitus Distress And Tinnitus Presence By Means Of Eeg Power Analysis

Signal Data An Overview Sciencedirect Topics

Jic Fitting Wikipedia

Bond Orders Of The Diatomic Molecules Rsc Advances Rsc Publishing

Pdf A Traffic Signal Co Learning Adaptive Control Method Based On Gridding Model And Probability Grey Number Theroy

Utilization Of Rice Husk Biomass In The Conventional Corn Dryer Based On The Heat Exchanger Pipes Diameter Sciencedirect

Stellar Classification Wikipedia

Determine The Value Of X Such That 2 Cosec Square 30 Degree X Sin Square 60 Degree Minus 3 4 Tan Brainly In

Building Wealth

Amazon Com Set Of 300 0 75 Plastic Letterboard Letters For Changeable Felt Letter Boards Message Board Letters Letter Board Accessories Letter Board Letters Only Letter Board Letters For Letter Boards Office Products

Wolfram Alpha Examples Step By Step Solutions

Hearthside Collection Gothic

Pdf Managing Smile Risk

Ex 1 4 9 If A 3 6 9 12 15 18 21 B 4 8 12

Contribution A L Etude Et A La Modelisation D Un Modele De Convection Diffusion Degenere Application A L Etude Du Comportement Migratoire Des Civelles Dans L Estuaire De L Adour

Pdf Modelling And Optimization Of Multibed Pressure Swing Adsorption Flowsheets

List Of Appendices Proposed Modifications To shto Culvert Load Rating Specifications The National Academies Press

Malaxideae Orchidaceae In Madagascar The Mascarenes Seychelles And Comoro Islands Springerlink

Solved 2 Determine The Midpoint Of The Line Segment Betwe Chegg Com

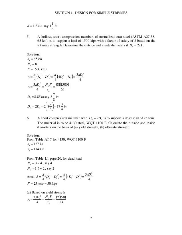
Design Of Machine Elements Design For Simple Stresses

The Points R Divides The Line Segment Ab Where A 4 0 B 0 6 Are Such That Ar 3 4 Ab Find The Brainly In

Plot Of The Experimental And Theoretical 197 Au N I µi 198g Au Download Scientific Diagram

What Is A Non Unit Fraction Answered Twinkl Teaching Wiki

Pdf Synthesis Computational Studies And Anticonvulsant Activity Of Novel Benzothiazole Coupled Sulfonamide Derivatives

Pdf Target Atmospheric Co2 Where Should Humanity Aim

Bond Orders Of The Diatomic Molecules Rsc Advances Rsc Publishing Doi 10 1039 C9rad

Ml Aggarwal Solutions For Class 10 Maths Chapter 12 Equation Of Straight Line Avail Pdf

Utilization Of Rice Husk Biomass In The Conventional Corn Dryer Based On The Heat Exchanger Pipes Diameter Sciencedirect

Ftir Spectrum Of I µi Alumina Nanoparticles Download Scientific Diagram

Pdf Design Of Shell And Tube Heat Exchanger With Double Passes

Age Dependent Impairment Of Adipose Derived Stem Cells Isolated From Horses Stem Cell Research Therapy Full Text

Ex 5 2 3 Which Direction Will You Face If You Start Facing A East

Ml Aggarwal Solutions For Class 10 Maths Chapter 12 Equation Of Straight Line Avail Pdf

Ex 2 3 4 Which Is Greater I 2 7 Of 3 4 Or 3 5 Of 5 8 Ii 1 2 Of

Sarita Bought 2 5 Metre Of Ribbon And Lalita 3 4 Metre Of Ribbon What Is The Total Length O Youtube

Keyboard Layout Wikipedia

Urinary Cytokine Profiles According To The Site Of Blockade Of The Renin Angiotensin System In Nephrectomized Rats

Amazon Com Set Of 300 0 75 Plastic Letterboard Letters For Changeable Felt Letter Boards Message Board Letters Letter Board Accessories Letter Board Letters Only Letter Board Letters For Letter Boards Office Products

Keyboard Layout Wikipedia

Pdf Influence Of Moisture On Stability Of Amoxicillin And Potassium Clavulanate Granules

Pdf Modelling And Optimization Of Multibed Pressure Swing Adsorption Flowsheets

Sameera Purchased 3 Frac 1 2 Kg Apples And 4 Frac 3 4 Kg Oran
Uvypvkduc Eajm

Stellar Classification Wikipedia

Pdf Screws Fasteners And The Design Of Nonpermanent Joints Natal Tambunan Academia Edu

Dividing Line Segments Graphical Video Khan Academy