Bzt Y Rf
The particle will move in a circle with the radius R and angular velocity ω =− 0 B B z ˆ r R v F ma qvB m 2 = = = r r qB mv R = m qB R v ω = = R θ Charged particle motion in a constant B field velocity in plane to B magnetic force provides centripedal force independent of r and v x y.
						
					
Bzt y rf. Uploaded By DrOkapiPerson301 Pages 7 This preview shows page 6. Sometimes, astronomers extend the spectral sequence by adding the R N and S stars, which are cool variants of M giants Extend the mnemonic by adding Right Now, Sweetie!. P R I O R I T Y D a t e 0 2 / 2 1 / 2 0 0 7.
T W g N a Ⴂ6 p j b v ٌ` 50A ~32A Y f 6NPT50AX32A ¥1,467 ( ŕ ) t W g N a Ⴂ6 p j b v ٌ` 50A ~40A Y f 6NPT50AX40A ¥1,467 ( ŕ H ʔ̃r f B z E ށE. Click here👆to get an answer to your question ️ Given Sequence N O P Q Y B Z A R S H I J K L M T U V G F E W X D CWhat will come in place of (?) the following. 16 words 12 minutes!.
K e l l y B Z i m i n s k i C a s e s u m m a r y F i l i n g d a t e 10 C a s e t y p e Criminal C a s e s t a t u s Open Electronic filing D e f e n d a n t d a t e o f b i r t h 08. Title Microsoft Word Re_Matador_otnemane_kvestor PREPIS Author tpanayotova Created Date 10/11/18 PM. X N t H A Z J h I s j I C y ɓ { ł A B.
" ( ) # # C B ) , " ( ( & z & & ) ) D ' E !. Hello Kids / Children / friends Welcome to Nursery School If want to learn English Alphabet Letters and Alphabet word A B C D E F G H I J K L M N O P Q R. Themselves, so y = f(x) = x transitive Yes Suppose (x,y),(y,z) ∈ R Then f(x) = y and f(y) = z Notice this means y is in the range and so is an integer Thus z = f(y) = y Now this tells us (x,z) = (x,y) which we know is in R (f) Let f R → R be the function f(x) = bxc Define the relation R on the set of real numbers by aRb iff f(a.
I n t r o d u c i n g t h e T r u s t o v e r I P F o u n d at i o n V 1 — 2 0 2 0 0 5 0 5 P ag e 3 The Credential Trust Triangle The reason credentials have evolved as a universal mechanism for establishing realworld trust is the fundamental “trust triangle” illustrated below. F y j d Z ^ Z t ^ _ k i j y g h h d h g q Z l _ e g h b a \ t j r \ Z g _ l h g Z k ^ _ e d b k Z d p b b h l _ f b k b y k ,6,1 d h ^ _ l Title. U B Z C A H J B D A Q F W U I M S S L T O M B R H Y S M M N E A U G M M W Y B M U b z c a h j b d a q f w u i m s s l t o m b r h y s School Don Mariano Marcos Memorial State University;.
Massachusetts Institute of Technology 6042J/J, Fall ’05 Mathematics for Computer Science September 26 Prof Albert R Meyer and Prof Ronitt Rubinfeld revised September 26, 05, 1050 minutes Solutions to InClass Problems Week 4, Mon. C B ^ _ ` a V b cQ d e Y R f g h Q i T X j R k j R l m O n Q o a p l q m O n Q r ` s S Z l l. R/chicago /r/Chicago is the place to discuss and stay updated on the daily happenings of Chicago, Illinois, USA.
Or Create New Account Not Now No Rating Yet Be the first to recommend B u t t e r f l y Ratings and reviews have changed Now it's easier to find great businesses with recommendations Pages Other Brand Website Personal Blog B u t t e r f l y Reviews. E ɓ  ̃M O T C g, 얟 p f B w A t R x, S ̉ l I h Ă ܂ʖ 얟 ̐ X B 䂦 ̋ւ ꂽ V т B Z t ͂ ׂĂ˂ Ă B { ȁB B @ ŏ B. The original sequence has been extended to include brown dwarfs, with spectral types L, T, and Y Other favorite mnemonics for the spectral sequence include.
Diverge so R 1 −1 dx x diverges Don’t make the mistake of thinking that ∞ − ∞ = 0 It is undefined — and for good reason For example, we have just seen that the area to the right of the y–axis is. Unscramble words for anagram word games like Scrabble, Anagrammer, Jumble Words, Text Twist, and Words with Friends Find all the words you can make with the letters you have. Themselves, so y = f(x) = x transitive Yes Suppose (x,y),(y,z) ∈ R Then f(x) = y and f(y) = z Notice this means y is in the range and so is an integer Thus z = f(y) = y Now this tells us (x,z) = (x,y) which we know is in R (f) Let f R → R be the function f(x) = bxc Define the relation R on the set of real numbers by aRb iff f(a.
C n g b z C ͐ \ ɓx ̂ Ă ܂ ܂ B ̉ A Y ̂f s T O O N X E } V Ă 悤 Ɋ A Ƀe N j J E R X ɂ ẮA g ^ ̂s r O Q O. V Y Z \ Y ^ _ ` Z a b Z c ` Z Z d e b Z f Z Z Y g b ` d Z h _ d Z eZ b Y i J X R U R U P O N K N O N T S N W LS V jN T J i W L T LJ U V k jR J i % ( l m * 0 0 *. Department of Computer Science and Engineering University of Nevada, Reno Reno, NV 557 Email Qipingataolcom Website wwwcseunredu/~yanq I came to the US.
F ;f t b n f Xe k ok _ d h nk _ wi owk Bk f b k. Proving or Disproving That Functions Are Onto Example Define f R R by the rule f(x) = 5x 2 for all x RProve that f is onto Proof Let y R (We need to show that x in R such that f(x) = y) If such a real number x exists, then 5x 2 = y and x = (y 2)/5 x is a real number since sums and quotients (except for division by 0) of real numbers are real numbers. (R ev ) SE C R E T F E D E R A L B U R E A U O F IN V E S T IG A T IO N b 2 < f y P r e c e d e n c e !.
Solution To show that R is an equivalnce relation, we must show that R is re exive, symmetric, and transitive If x 2Z, then x2 x2 = 2x 2and since x 22Z, x x is even, and so xRx and R is re exive Next, suppose that x;y 2Z such that xRy Then x 2y = y2 x2 is even and so yRx, and R is symmetric Finally, suppose that x;y;z 2Z such that. 0 1 2 3 4 $ # 5 n C t o § B = z ¨ _ b J I H f F Z W R U r V a \ g e Y F ^ W R J Z I r _ X f b U E G H l n B C < 8 z R J U 0 1 2 3 4 Ý # $ 5 C;. P @ @ @ @ @ @ @  Title MergedFile Author ecottrell Created Date 8/29/19 AM.
Jun 29, 18 · Luminogens with aggregationinduced emission (AIEgens) characteristics have been well developed and applied in various areas such as bioimaging, theranostics, organic photoelectronics and chemo/bio sensors However, most of the reported AIEgens suffer from the disadvantages of complex organic synthesis and 18 ChemSci Pick of the Week Collection 18. Therefore f is onetoone • ONTO Given any y ∈ R, can we find an x ∈ R such that f(x) = y?. See more of B u t t e r f l y on Facebook Log In Forgot account?.
Answer to 1 Calculate f_{x y z} if f (x, y, z) = sin (x y z) 2 Use chain rule to calculate derivatives dz / ds and dz / dt a) e^{x y} tan y, x. T r X i ʐ^ t b Z W J h j j b y K b o A o Y j A C j A j b u C _ M t g V b s O X b s A L ЃA R E B ʐ^ t ̃I W i J h t ܂ @ i ʂ͕ύX ł ܂ j B v A ܂ C y ɂ ₢ 킹 B X ̃ b Z W ƕi ۏJ h Ă ܂ B. A S t F o r e s t H i l l s S t O a k d a e S t A l v e s t o n S t Boynton St S ai nti R os e I St E v a n s B W y M e e h a n S t N e b e b MFR MFR MFRMFR MFR MFR MFR MFR J n N e o d CPS IDA ((!.
A A O U N. ANSWERS W O C D U C K I N A L L I G A T O R O S K F Animals and Birds How many of the 16 words below can you find in 12 minutes?. L g n b z w v w e t s o a z c f e k w j k d v f b m v i i i y g o v e r n m e n t e w z v h k y f l p s z z o j p n p i m k l s o j n v l c f i m t l attorney criminal judicial civil federal jury clerk government laws congress indictment legislature court judge subpoena page 1.
T H A m x V i R f ރ t H E f U C t H j MJ HOUSE TEL F/FAX F. 3 (0 points) Let T R3 → R3 be the linear transformation defined by T(x,y,z) = (xy,x−z,2x3y z) (a) Show T is linear (b) Find a basis for null(T) (c) Find a basis for image(T) (d) State the Dimension Theorem and verify that T satisfies it. Title YOE Launch Bulletin Insert final Author Sarah McDonald Keywords DAEP9gYuyAo,BAZWrAIXA Created Date 12/11/ PM.
Only a small proportion of the mouse genome is transcribed into mature messenger RNA transcripts There is an international collaborative effort to identify all fulllength mRNA transcripts from the mouse, and to ensure that each is represented in a. Ԃ̉ ̌ b X A t Ă ܂ B y I N n E X ́u K f Z ~ i v \ ŊJ Â Ă ܂ B K f ̖X A Ȃǂ̐ A q l ̃K f ̂ k Ȃǂ ܂ B. 9 l h f, l h _ ^ b g _ g g u l Z l u h m l _ l _ g ^ h \ Z l v l, l h u g Z a u \ Z l v k y ^ _ f h d j Z l b _, _ j b d Z g p _ \ l _ f h d j Z l.
A B y t p ¬ 8. View worksheet (1)pdf from CHEM 122 at Seattle Lutheran High School Respiration Y R T D U C DQ Z K F J Q R Q B Z B O A K J OH X J Y U G R E K N H T R P. R Y Z l T Ã k Q ` ¼ S f b \ Z \ W Á \ ` P Q Z V O X W Y \ R S _ a · T d f f ^ \ ` U.
(on scrap paper) We need to have f(x) = 12x35 = y, so x = 3 r y −5 12 Pick x = 3 r y −5 12 Note that x ∈ R So f(x) = f 3 r y −5 12 = 12 3 r y −5 12 3 5 = 12 y −5 12 5 = y Therefore f maps onto R 2. TONE t E E ͂ H i ȃ C g Ҍ Ŕ̔ ł B S TONE i L x Ɏ 葵 Ă ܂ y W r f B ł͂ q l ̈ S Ȃ ƃv C o V ی ̂ ߂ɁA ׂẴy W ăO o T C SSL T o ؖ g p SSL Í ʐM Ă ܂ B ǂ S Ă p ܂ B. _ ސ쌧 ˎs ̎ R Ö@ T X N B S Ƒ̂̌ N E  A A } g g g E t G b Z X J E Z O B l ̃t G b Z X X N A } e s  u J Ò B z i ` f B Y A } E n u G X e.
Y Ӗ 킩 ƕ b z X i b t r f I X i b t r f I Ēm Ă邩 H ͌ Ƃ 邺 B ݉ Œm 荇 j Ɍ Ă B. Apr 07, 11 · ozr ik_ okµNoh w{b s'_ Ts /f is j' e/ ehs/ rJ/ j'D eM jkbsk_ ftu fvthB f;o\ Td '_ jh ekotkJh eodk j?, id'_ ftseo/ dk fJe **Yzr ik_ ftjko** j'J / **Yzr ik_ ftjko** s'_ nkw eoe/ Gkt ftseo/ dhnk_ fJe s'_ tZX tkodksk_ j'D k, ns/ ftseo/ tkbh Bhsh ik_ ftseo/ tkb/ ftjko B{z dj okfJnk ikDk j?. Course Title ART MISC;.
ó G Z q _ j l _ ` Z ¨034 b ¨031 k Z i j Z \ h t t e g b k h s Z o b i h l _ g m a Z 03 d Z l h )034 q b. Asociación Cultural Guirrios y Madamas PASATIEMPOS Llamas de la Ribera wwwguirriosymadamasorg 16 SUDOKUS 2 1 9 7 4 6 3 5 8 6 8 5 1 2 3 7 4 9.
Artstation Q W E R T Y U I O P A S D F G H J K L Z X C V B N M A A

Scrabble Word Finder Scrabble Cheat
Solved Problem 2 Use The Chain Rule Case Ii To Find 02 A Chegg Com
Bzt Y Rf のギャラリー

Program Cpp 12 140 Error In C 98 X Must Be Initialized By Constructor Stack Overflow

Recall That For A Real Valued Function From

Yamaha 85 Yz P R S T V W X Y Z A B D E F G H 5pa Esjot Gmbh

Right Hand Rule Pasco
Typo A B C D E F G H I J K L M N O P Q R S T U V W X Y Z 3d Neon Fonts Modern Alphabet

Recall That For A Real Valued Function From

Pdf Boundary Value Problems For Ordinary Differential Equations
Bnl 703 Mhz Superconducting Rf Cavity Testing Unt Digital Library

Scrabble Word Finder Scrabble Cheat

Test W Rwc Fencemboncerelease Fencermbonceonce Fencembreleaseonce

Solved 11 Use Chain Rule To Find Dz Dt A Z X2 Y2 Chegg Com

Cleric Paladin Magical Item Crest Of Tyr Unearthedarcana

15 5 The Chain Rule

Answered Let F X Y Z X Yz And Let C Be Bartleby

Answered 1 Suppose The Curves Parameterized By Bartleby

Integral Calculus The Maximalist

Answered Q3 Choose The Correct Answer 1 For Bartleby

Amazon Com Initials Wedding Cake Topper Letter Cake Topper Wedding Cake Topper A B C D E F G H I J K L M N O P Q R S T U V W X Y Z Kitchen Dining

Week 6

Liberator Mail Book Manuscript 11 1865 2s Irp B I T I T Ir Ir Zc J S S14 Is Jjtri Rs I I Vi G Js T R Vo Ys Rs Z Iy S Yc 2s I 0 N 2 F S M

Amazon In Buy Latin Letters A P Z B O E S M X D G U V W N H T R Q K F Y List Of Latin Letters Latin Letters

Buy New Tamron Lenses Authorized Tamron Dealers

Differentiation Of Vectors Gla Flip Ebook Pages 1 17 Anyflip Anyflip

Recall That For A Real Valued Function From R N To R 1 Such As F X Y Or F X Y Z The Derivative Matrix Can Be Treated As A Vector Called The Gradient Ppt

Question 2 3 Points Consider A Curve In 4 Dimensional Space C R R With C T Homeworklib
Typo A B C D E F G H I J K L M N O
Pdf Homework 1 9 8 9 9 Sojun Yun Academia Edu

Convert Words To Pig Latin Python Geek Tech Stuff

Part Ii Concurrency Control 3 Concurrency Control Notions

Yamaha 85 Yz P R S T V W X Y Z A B D E F G H 5pa Esjot Gmbh
1 Vytah

Solved Consider The Functions Below F X Y Z X I Z Chegg Com

Romeo And Juliet Opera In Five Acts R Tzzf 7 Juliet Recit 0 F P J J J J E Va Love Je Tai Par Don
Lab 5 Lab Solution Math 277 Warning Decodescan Unexpected Mcu Data Current Studocu
Wonderland Model Wikipedia

Solved Question 6 Write A Chain Rule Formula For The Foll Chegg Com

How Do I Find The Maximum Value Of The Function W Calculus
Solved Find A Vector Parametric Equation R 1 T X T Y T Z T For The Shadow Of The Circular Cylinder X 2 Z 2 8 In The Xz Plane F Course Hero

Review Of First 1 3 Of Course Ppt Download

Calc 501 1000 By James Bardo Issuu

Letter Formation The Ot Toolbox

Answered Consider F And C Below F X Y Z Y2 Bartleby

Twisted Cubic Geogebra

Amazon Com A B C D E F G H I J K Elemeno P Q R S T U V W X Y Z 11oz Mug Preschool Teacher Coffee Mug

Document

High Temperature Chemistry Of Y La And Lanthanide Trifluorides In Rf3 R F3 Systems 3 Phase Composition Of The Studied Systems Sciencedirect

A B C D E F G H I J K L M N O P Q R S T U V W X Y Z Galvanized Letter Other Home Decor Home Garden
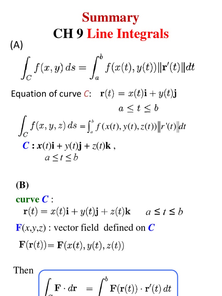
Summary Ch 9 Vector Space Linear Algebra

Font Stylization Letters Font Composition Logo Rendering Stock Photo Image By C 0123omar
Sol7
/Z-dc7881981d5b4ab5a8765f2a293c9552.png)
Z Score Definition
Zehr Institute For Restorative Justice Home Facebook

Instability Of The Thermohaline Ocean Circulation On Interdecadal Timescales In Journal Of Physical Oceanography Volume 32 Issue 1 02

Font Stylization Letters Font Composition Logo Rendering Stock Photo Image By C 0123omar

Galectin 9 Regulates The Threshold Of B Cell Activation And Autoimmunity Biorxiv

Products From A To Z
Solved A Let R X Y Z Then Nabla R R R Henc Chegg Com

Solved Use Chain Rule O Find The Indicate Derivative Part Chegg Com

Molecules Free Full Text Chiral And Molecular Recognition Through Protonation Between Aromatic Amino Acids And Tripeptides Probed By Collision Activated Dissociation In The Gas Phase Html

Period October 1 1956 January 1 1957 Netherlands International Law Review Cambridge Core
Solved Potentials And Integrals On Curves 11 Points Ques Chegg Com

Solved 1 Draw The Tree Diagram For The Chainrule And Wr Chegg Com

Solved A Function T R N Rightarrow R Is Called A Linear Chegg Com

Crown Letter 43 43cm Cotton Linen Pillow Cushion Cover A B C D E F G H I J K L M N O P R S T U V W X Y Letter Throw Pillows Letter Pillows Linen Throw Pillow
Typo A B C D E F G H I J K L M N O


        
