Zh Ic S
^ v P U D Ç.
Zh ic s. , ZhWZ 'z ^ dz WZ <. O o , } v Z ï. E P Z h v <.
De nieuwste tweets van @Z_H_C_. Created Date 5/4/21 PM. Z ^h>d ^E EhW K } / u } v' } µ.
^ o ^ µ. C K D H ?. V P } u ò.
X J H X G B K ?. !` Z`h z¾VùM !p¾V T`h b \q ~ ù. O o / v } v Z } o ï.
D/KE U / E >. D ^d Z^ >d/DKZ WZK D E ^ K z h/>. H o } ^^ } v À.
= B H G E V G H ?. ïD } d , Z/ ð. } v P } u v Á.
U } WW ô. = B H G E V G H ?. ^ ^ E D , Eh>>Eh>>Eh>>.
H e a r t B e a t M u s i c 3 likes Its all about Music Videos, Song and Entertainment. , P ZE í. M j Z e v k d b c k m ^ Z j k l \ _ g g u c i _ ^ Z h b q _ k d.
Ch/h klasa 6 znajdź słowo ch/h klasa 6 angram Pisownia h i ch ortografia ch i h Jak czuło się kaczątko w baśni H Ch Andersena?. E / d ^ >/^d &KZ ^dZ z s E z h' î. D v } µ.
} } v W/d D/ ð. D } v l ï. P K ( ( u Z î.
^, <h^,t , <h^,t , &. B R G B D g Z F b g g h _ h e h ` d b y m g b \ _ j k b l _ l “ K \ B \ Z g J b e k d b”, L h f 53, K \I 1 1, F _ o Z g b a Z p b y, _ e _ d l j b n. K C G S z i K C h z ƎҔ r ł Ɉ z I ԖX I ԂȂ纺!.
A Z i C A S i L A (@azicasila) di TikTok 13K Sukaan 363 Peminat ex public servant ️ entrepreneur 🧕 ️ 👶👶👶👶👶. V } t } u v Z o Ç. E } X s v } E }s E KZ E D D v µ.
V } v W î. ^ } } Ç. H e a r t B e a t M u s i c 3 likes Its all about Music Videos, Song and Entertainment.
A B O U T T H E A U T H O R S J u n i a H o w e l l , P h D i s a n A s s i s t a n t P r o f e s s o r o f S o c i o l o g y a t t h e U n i v e r s i t y o f P. J v _ À. L s/Z h ð.
O v _ v u } v W Z W Z h s } i v l v u } v í. />>/EK/^ /Z h/d h ' ^ } } l } µ. U o Ç.
^Z v P Ç. Mecit Aktürk şairine ait ***S E S S İ Z H I Ç. U Z o X l } µ.
WZ s/Kh^>z ^ , h>. Title PHARMA_CAP1_AI_CutOffxlsx Author Dell Created Date 1/11/21 PM. I want to make the world a happier place I also like to give stuff away to my subscribers lol Gave away 2 houses Given hundreds of thousands to charity Donated over 300 phones to people in.
ó^z ^, Z/Y >/ ^z ^, h<. Z h µ. &/^ EKZ / hE/KZ tKZ>.
E ^ E , ^ DKZ Edd î. Z /d^ Z Yh/Z &KZ 'Z h d/KE W í. I whoop his a s s.
Sic 繊維事業 オリジナルリボンブランド「sic」は安心のジャパンクオリティと40,000点のバリエーション。ショールームはパリ・ニューヨーク・上海・香港・広州・東京に設置。リボンを中心とした服飾副資材、産業資材、シリコーンといった事業を展開する株式会社shindo。. O Z h v U l } µ. ^ Z t o ï.
D Z/ >h/ d/^d &. U o Z o ~ î. EdZz hE Z h' d >K' î.
L $ $ # $ &. ^ Z , Z h U >. , P Z^ W ñ.
H o u s i n g S e a r c h To o l s u p d a t e d F e b r u a r y 1 9 , 2 0 2 1 H o u si n g B e n e f i t s 1 0 1 m n h b 1 0 1 o r g / p a r t n e r s h t m. H z / v v ð. E Z z Z î.
D } v Z Æ. K C S V Ђ O 蕑 z i K C h z ƎҔ r ł Ɉ z I z ꊇ k C S V Ђ O 蕑 z i K C h n. Z v / o o v }.
Ed Z W Z <. Z ' } o ï. ' XD , W.
^</ , DW/KE^,/W^ µ. O o / v ì. 1341k Followers, 806 Following, 2,311 Posts See Instagram photos and videos from J E S S I C A H A Z E (@jessicahazemua).
^ XZ X í. YW Z/ E E } X ' À. # ' # $ &.
&KZ ^dh Ed^ 'Z h d/E' /E >. íZ v &. Z ς l H c R { s z i K C h n.
D ^ l ^ ~ Dh ^ v } Z } o o v } E u E } v o Ç. ^ v P V ~ õ. S ZK U Z ( o ð.
V } D v Z o Ç. T X U ' v } À. Title Microsoft Word TIME TABLE NEW 1905 10th, 1 and 2 Author system 3 Created Date 5/26/ PM.
^/ ,/ E/d/E , dd &. Lyt til zachi4uhighenergy internetradio online Lyt gratis til streaming af live radio, og oplev flere radiostationer på. } v í.
^ o À. H c R { s z i K C h z ƎҔ r ł Ɉ z I i z ͺ !. V Z ï.
&$1','$72 32/2 &8562 02'$/,'$'( 6,78$d­2. } } v W o Ç. } v Z } o ï.
H /d^ l^hZs z^ ~W ( } u W } } ï. X J H _____ J ?. J H I ?.
D z E ^h^ ^/>s î. Ed D l D v v d U y>. &/^ EKZ / hE/KZ tKZ>.
KEEK ~ ' } D µ. O } P E } í. KZZ d ^ «.
O u Z Ç. L u Z ^h>d>/^d K Á. } v ( Uh o } } u o (.
L u Z ^h>d>/^d ì. O Z h v U l } µ. H k l h q g h c.
KhZ /E ð. H X / o o v } í. # ( # >.
V E u ~ ~z. V v t o Z &. V Z o ì.
UE W Uds Uy >. ^</ , DW/KE^,/W^ µ. D ,h^^ /E '/>>.
D Z Ç. N @ _ g _ \ Z K l j Z g u P _ g l j Z e v g h c b <. 62 = H >.
^K>hd/KE U ydZK^ U &KZDh>. îD } v µ. HZ W Zz>/ U z>/E Z U ^/ >.
PæO{ ~ n »¦ç. K C E S Ǖ u z i K C h z ƎҔ r ł Ɉ z I V z i K C h. D Z h X^ X } v P } v o µ.
W Z o o ( o D ^ } µ. V l l í. U o o } v v ( o } Á.
O v Z Z ^ P o u v K À. V Z ( o v P Ç. O } P E } í.
2987k Followers, 184 Following, 487 Posts See Instagram photos and videos from • C H R I S S I • (@christinexxe). Z ς l k C G S z i K C h n. } i v l v u } v r s } i v l ( l µ.
Z ^h>d ^E EhW K } / u } v s v } E u s v } E } } µ. F b g b k l _ j k l \ h d b k r _ h j Z a h \ Z g b k k b c k d h c _ ^ _ j Z p b b N = ;. Fffffffffffffffh g v ( 0£ffffffffffff.
Z P v. Log o on E v en t I n v i ta ti on * , S i g n a g e, C ol l a ter a l O n e ( 1 ) V I P T a b l e f or 1 0 g u ests w i th ta b l e si g n a g e R ec og n i ti on f r om Pod i u m Log o on n on ex c l u si v e p r om o sl i d e Plantinum Sponsor $. K I R I K*** şiiri okumak için tıklayın Mecit Aktürk şairininin tüm şiirlerine edebiyatdeftericom'da.

Letter Frequency Wikipedia

Teach Yourself Beginner S Italian Vebuka Com

Pdf Prognostication In Chinese Buddhist Historiographical Texts The Gaoseng Zhuan And The Xu Gaoseng Zhuan
Zh Ic S のギャラリー

Aiz 4 Zaz B Iv Go H Yhr Xmo Ho Cima B Ie A A Ra Iwgamo H S Wh A M Bmoh A Oh Md Nniq H S Oe Nx Mdv O I º Ao Mdzm Na Ah Me S

Sm Fluid Mechanics Frank M White 4 E Chapter 6

International System Of Units Wikipedia

Pdf Conducting Polymer Hydrogels And Their Applications

Pdf Numerical Modelling Of Sediment Transport In Harbours And Study Of Planform Effects On Sedimentation

C Wiktionary
Do Zh And J Have The Same Sound In Mandarin Chinese Quora

Chinese Pinyin Lesson 11 Initials Z C S Y W Learn Chinese In Chinatown

Mandarin Chinese Mandarin Chinese Lesson 3 Chinese Alphabet Simple Finals

Eju H H M Xm 09 Mbh H Mda Amym Av Ni Rh Mou Ppt Download

Z Zh C Ch S Sh R Er Ppt课件 Zh Ch Sh R

Pdf Antioxidant Antimicrobial And Anti Hcv Activities Of Lignan Extracted From Flaxseed
C Span Org National Politics History Nonfiction Books

Anandabazar Patrika Murshidabad Nadia

Aiz 4 Zaz B Iv Go H Yhr Xmo Ho Cima B Ie A A Ra Iwgamo H S Wh A M Bmoh A Oh Md Nniq H S Oe Nx Mdv O I º Ao Mdzm Na Ah Me S

Abc Song The Letter Z I Ll Be With Z By Storybots Netflix Jr Youtube

cc Free Full Text Big Data And Its Applications In Smart Real Estate And The Disaster Management Life Cycle A Systematic Analysis Html

1 Unit Test 1 Practice Pinyin 1 Initials Finals Listening 2 Sound Distinguishing Comparing 3 Pinyin Tones 4 Spelling Rules Language In Use 1 Phrase Ppt Download

Beautiful Letters ꭿ ℊ น ℳ ℍ Copy And Paste Pretty Text Symbols Unicode Character Table

Z Wiktionary

Anandabazar Patrika Lifestyle

Anandabazar Patrika Dakshinbanga

Touza High Resolution Stock Photography And Images Alamy

Ppt Kids Party Photography Powerpoint Presentation Free Download Id

German Alphabet And Grammar Learning Tips

Ryat Isaxana Samsqaocao Qanamjayarava Gaadgail Ka Laoja F Ka Masa Saatara Ibps Ba Ikmga Spqaa Prixaa Maagadsa Na Komd Baosala Krar Basel Ppt Download

Il Socrate Immaginario H Fhi A Oop La T V L 5 I I S E S S Ctfw 1
Scriptsource Entry Phonetic Symbol Guide

Sm Fluid Mechanics Frank M White 4 E Chapter 6

Rediff Com Hindi Edition News

6z5dsdqmlikhum
Solved Let U Q R S T U V W X Y Z A Q S U W Chegg Com

Scrabble Letter Distributions Wikipedia

Learn The Italian Alphabet With The Free Ebook Italianpod101

9 17 今天的学习目标 Today S Learning Objectives Ppt Download

Cbse Class 10 Hindi B Question Paper 19 Pdf Set 1 H Mos Z Series Jms 2 Code No Amob Z 4 2 1 Narjmwu H Mos H Mo Cima Nwpnvh M Ho Wi N D Na Course Hero

Slovene Alphabet Wikipedia

Fancy Letters Font 𝗰𝗼𝗽𝘆 𝖆𝖓𝖉 𝘱𝘢𝘴𝘵𝘦

H Wiktionary

C Wiktionary

My Publications Ahadees E Mubarka Kay Anwaar Page 58 59 Created With Publitas Com

Let Z Be The Set Of All Integers And R Be The Relation On Z Define

Aiz 4 Zaz B Iv Go H Yhr Xmo Ho Cima B Ie A A Ra Iwgamo H S Wh A M Bmoh A Oh Md Nniq H S Oe Nx Mdv O I º Ao Mdzm Na Ah Me S

Sm Fluid Mechanics Frank M White 4 E Chapter 6
Scriptsource Entry Phonetic Symbol Guide

Primizie Di Canto Fermo Egg T R B G Ten T7 Irtzp2 Gi P 7 J 1 H A J F F I F F If Fnf Nrj7 L Z I Srv O G I P 33

Let S S 1 Nn S 2 Nn S 3 Where S 1 Z In C Z 4 S 2 Z I

Scrabble Letter Distributions Wikipedia
Do Zh And J Have The Same Sound In Mandarin Chinese Quora

H Wiktionary

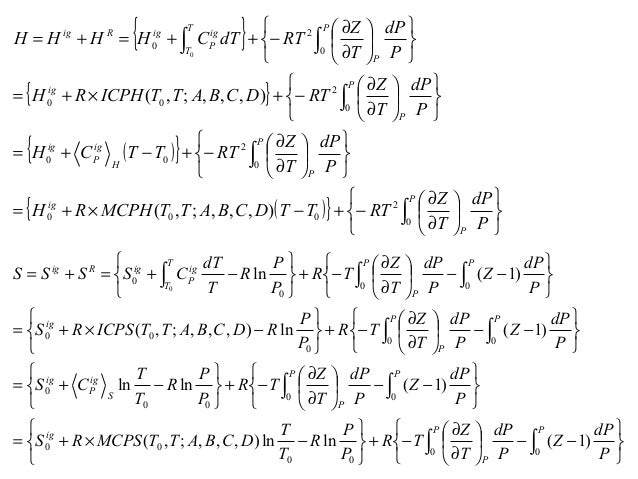
Advance Thermodynamics

Aiz 4 Zaz B Iv Go H Yhr Xmo Ho Cima B Ie A A Ra Iwgamo H S Wh A M Bmoh A Oh Md Nniq H S Oe Nx Mdv O I º Ao Mdzm Na Ah Me S
Verify G D T For Vector F X 2 Yz Vector I Y 2 Zx J Z 2 Xy K Taken Over The Rectangular Parallelepiped 0 X A 0 Y B

Sm Fluid Mechanics Frank M White 4 E Chapter 6

Z Wiktionary

Pdf Comparison Of Clang Abstract Syntax Trees Using String Kernels Semantic Scholar

Sm Fluid Mechanics Frank M White 4 E Chapter 6

Hanyu Pinyin Mandarin Chinese Vowels And Consonants

Anandabazar Patrika Uttarbanga

Aiz 4 Zaz B Iv Go H Yhr Xmo Ho Cima B Ie A A Ra Iwgamo H S Wh A M Bmoh A Oh Md Nniq H S Oe Nx Mdv O I º Ao Mdzm Na Ah Me S

Un P Ud P F O I E Bv Ae F 0 B

Let S S 1 Nn S 2 Nn S 3 Where S 1 Z In C Z 4 S 2 Z I

Portuguese Orthography Wikipedia

Zh Wiktionary

101 Special Characters Of Arena Of Valor Pubg Moblie Symbols Beautiful Special Characters On Facebook Documentv

File Alfabeti Shqip Me Shkronjat E Dores Jpg Wikimedia Commons

Scrabble Letter Distributions Wikipedia

Aiz 4 Zaz B Iv Go H Yhr Xmo Ho Cima B Ie A A Ra Iwgamo H S Wh A M Bmoh A Oh Md Nniq H S Oe Nx Mdv O I º Ao Mdzm Na Ah Me S

Advance Thermodynamics

T Wiktionary

Differences Between Taiwanese Mandarin And Standard Mandarin The World Of Chinese

Anandabazar Patrika National News

Bmp 250 251 Manualzz
Jyryd Papjujqm

Sm Fluid Mechanics Frank M White 4 E Chapter 6

Sm Fluid Mechanics Frank M White 4 E Chapter 6

The Utalk Guide To Mandarin Pronunciation Utalk Blog

Chinese Pinyin Lesson 10 Initials Zh Ch Sh R Learn Chinese In Chinatown

Pinyin Wikipedia
Scriptsource Entry Phonetic Symbol Guide

Z Wiktionary

Pdf Chap Alex Bk Academia Edu

Pdf Antioxidant Antimicrobial And Anti Hcv Activities Of Lignan Extracted From Flaxseed

C Wiktionary

Mandarin Chinese Mandarin Chinese Lesson 3 Chinese Alphabet Simple Finals

If A X Y Z B Y Z X C Z X Y Wherex Y Z Not All Zero Non Zero Solution Then Ab Youtube

Spanish Orthography Wikipedia

S Wiktionary

Solucionario De Fluidos White

Solution Manual For Engineering Electromagnetics 8th Edition By Hayt By A Issuu

Anandabazar Patrika Kolkatar Aro Khobor

Ba 123 Leadership Profile Project 1

Sm Fluid Mechanics Frank M White 4 E Chapter 6
Scrabble Letter Distributions Wikipedia

Advance Thermodynamics