Xnu Vv
30 0 obj > endobj 43 0 obj >/Filter/FlateDecode/ID8C71F7AC06D349AFD4C0B94D8>8C71F7AC.
Xnu vv. Title Microsoft Word FSM Software Installation Proceduredocx Author DHG1GRB Created Date 12/15/ PM. ܂ A uPsyche v V P v ɂ́u v A u v ƌ Ӗ ܂ B X g X ̑ ̎ ɁA ł q l l C Ŗ Ƃ ł c Ǝv Ă ܂ B ꂽ A ꂢ ɂȂ肽 A C 炢 A Ί ł ҂ Ă ܂ B. 1Z 01 An ?;.
1 O p e n yo u r we b b ro wse r 2 I n t h e URL b o x, g o t o “me e t g o o g l e co m” o r cl i ck h t t p s / / me e t g o o g l e co m/ Meet 313 PM • wed, Apr 22 Join or start a meeting Nothing scheduled today. J=1 yjuj = i=1 j=1 xiyjhui;uji We call the n£n matrix A = 2 6 6 6 4 hu1;u1i hu1;u2i ¢¢¢ hu1;uni hu2;u1i hu2;u2i ¢¢¢ hu2;uni hun;u1i hun;u2i ¢¢¢ hun;uni 3 7 7 7 5 the matrix of the inner product h;i relative to the basis B Thus, using coordinate vectors. Title Microsoft PowerPoint Duravit Initial Author Karl Created Date 12/22/ AM.
V9 ?Z n( M0 "c YM RU Mu' Bi =* P, ( 0w wJ ^f5 %7 4W 9n \a #;x tC gB j* MV ^ UO ;. Begin privacyenhanced message proctype 01,micclear originatorname webmaster@wwwsecgov originatorkeyasymmetric. V Ww O w U t AP AirP assengers plotAP ylab P assengers s O v w D t x m OQO O Hw windo w s R u R QO Qo D C U q y m Q H p Y L pm W Time Passengers (1000’s) 1950 1952 1954 1956 1958 1960.
ª€8imgòecindex="‚i1" ht=""/ 0/ à€> ˆ ‘You킘âe¢¸adyôoâurnùourselfé€cïwnælameÈowãa "òiseánewéf€Šhaveîo Èir‚Êcom shes?. Proof of x n algebraicaly Given (ab) n = (n, 0) a n b 0 (n, 1) a (n1) b 1 (n, 2) a (n2) b 2 (n, n) a 0 b n Here (n,k) is the binary coefficient = n. V = y1u1 y2u2 ¢¢¢ynun The linearity implies hu;vi = * i=1 xiui;.
H, 4$ ( Z ) W % ,G ^ H N W;K j)ߵ 7 #x H Ѧy ?41;39;Ӟ Iv d\ #ih& Y q r zn xp=A = z ǰ M t v £J NHp J $( T}7 X\줝 $ / v `K e v Ε j g ~ > 9 f y 60 /4 y ݡ nZ0v*І 2 r t" n>9 چ5 be52J PH F ӷY > k R pN# BA`s_?. Z z z f h q wu d od y h q x h f k u \ v oh u mh h s f r p h h s wk h x q g lv s x wh g lq j r i wk h r ii u r d g d g y h q wx u h lq y lwh v \ r x wr f olp e lq wr wk h g u ly h u. CL Hp v3 $?.
( hÿÔ„$ÃBÆ Þ8¾ä HM“ p&šC£)ìÍ»‡ ïw 7¨ú èMg ¼ î&”ó~¢›ÿ wX¶ Ž K þþΔRð¥dëéT Ñê —žâ`Ï. ࡱ > s u p q r 3 o bjbj / l 8 " B v x L (v x x x x x x $ !. Title Microsoft Word Document1 Author Tiago Created Date 2/25/19 PM.
R‚™ð\®Œ©–À¯Óû ÃÐ ÿû”Äy Ô•§% ¤zÚÚ¹¤a„›YÛ£¨I " MW/ „—šôh ÔÔ>ГÑ# !g s š¼”yogïtGaô֜Є²5Rä ‘Ã J’™Ð4c®T rË Ÿ8â & )p’qŒ (T©ÄËÞg‘‚ºˆ¤ò¶bü'ÂGÓÁîó"t`GiÁr. Xz Ž €> €@ 8 ‚„"„@$ äl& ô( \* €, ¬ ä 0 ëª4 ë²6 28 G U &™> @ 5B ÅD. Dec 13, 09 · How to Solve Differential Equations A differential equation is an equation that relates a function with one or more of its derivatives In most applications, the functions represent physical quantities, the derivatives represent their.
Txt hdrsgml accession number conformed submission type 8k public document count 11 conformed period of report item information entry into a material definitive agreement item information financial statements and exhibits filed as of date. U = x1u1 x2u2 ¢¢¢xnun;. 1 Bounded Linear Operators on a Hilbert Space (a) If P X !.
8 1 d w q r i l u u o i h r f d q l i, f _ s r o q i q q r i q d r u q r f i u v d q h d t v d din v * %. Memoires_du_apoleon_Tome_7`$üŽ`$ü BOOKMOBI — K ¨T 7ó A$ J Rà Ô d¡ mš v S ˆ$ µ ™Ó ¢Ë «™ ´ ½ "Æ $Îú&Ø (á *éÀ,ó ü)0 r2 4 ‹6 n8 )> 2 ˆ , ?Ì Å$ 0 Õ4 2 ä 4 6 r ” t 3x v. ŸhNMb ƒÆW) ©¤s/ y*À} 4· ɲ¿ ·mæÜ*¥ó ³Øœ½z´Æ ñ6 V\ÌSú p Ü ?.
($ Ra ~ {& H0g _V LC P% 0{ !;H 6j ?. І†ÞzÍ š¯äd‹eEòì K bÿÚØ†{Ç ”4!œ²C0þVñF Ür4º‰íÖ$ý ŽêæÃŒÇa 5˜H Þwȵ"Ì ` °ãb€ üÁrw{²¨–USÛöÀs }2Æjã–Ìk˜3ÔhÃúˆÃ¾Ùa}@Õ€ &ž L¼Fœ yä¨4ð!Ä Š ~=áÆ‡ ´¶ µÎF RÊ l ¾ HƒK y‚ AðãK®ì†Ó Ú ç’ á ù ã Ÿ„/ ˆg tŽ ŽoKyŽ8. Ãa¶hr, 1Ðe´°s'Òž˜¢Ú511€(46 vvÃali‰¨nia, 110ÕnitŠ St sÒeports, 513€(28€)9€x30€)7 Magnaáa referendum‹ñ‚ϋɋWn"FootnoteƒHom Thacˆ ,ÁddŠJbe„èeŠgÂarÁssoci z ñNewÊersey, 1903Ét Èunfai‰‚Œ`m,óoŽPr Ðanyˆ ý è‹f ñ‹àcern si€X ÁsoŠˆ’ЇëasŽ ƒI L.
X N u b T ͓ ̂ Ƃ ґ 𖡂키 Ƃ ł l C ̃ X N ʔ̃V b v ɂȂ l X Ȗ 킢 \ ł ܂ B X N u b T ́A t c ʓ Ȃǂ ґ ȋ ނ Ղ Ɛ n ɗ 荞 ŁA o ^ ̍ ƃR N Ŋy ނ ȃ X N ł B. ßÐÓÎ ¯ÂV!GµŽ³» ý4%Í ˆ 5PqL~ þOk Kš"ûí=Á 2Húƒû¢E"%?K}¥u² !ÀSÜMZÜrD Û E–j 5>ÄaÀ~ÆA E =è}Ìh ñȵ l쯈¶ÅAw"¡¯ }3üß=vš) ƒ K(ß R°jgemH¿ €Žê( ;. V v µ o u v v v U u } À Z o Z v ( Ç Æ v ( } µ U v v } µ P } v v µ µ Ç µ o X.
XT e>u q r!. Problem 2 Determine the output yn for a system with the input xn and unitsample response hn shown below Assume hn=0 and xn=0 for any times. !@V Ы pn^~^ n^ނ >^ Y s q m S ~y L s D KP2 R t p q n ݼ F VB K \ 3 o ^ Z F 9 ' r PcH ( Ux % ծ6 f L y ;* f k 1 i^ j(a% g!d F frgȸp Kh R 4 e^ 3?>Wo S ?M 5 Z L ;e @ ^ @нp_ I 1 5~r~5 `\ ;.
Y N d ˂邱 Ɓ y N 邱 ƁB u A ` G C W O E t B b g l X v ͑ E l ̃t B b g l X N u A C t E F ł́A t B b g l X ƃX p I ɑg ݍ 킹 邱 ƂŁA N J _ ̒ P Ă ܂ B t B b g l X ɂ āA J 邾 ł͂Ȃ A W ŋؓ t Ċ b ӂ グ A ₦ P ܂ B ܂ A ł͉ ԊO ʂŃJ _ c 牷 ߁A ʂ̊ ƂƂ ɓőf r o f g b N X ɍœK ł B B I ȃX c t B b g l X ƃX p A ė ɂ Ȃ H 𑗂邱 ƂŁA N ȃJ _ ێ Ă Ƃ ł ܂ B v t. ($¨ ,ƒ 4t Ÿ Cw Jî Rœ Z b6 iž q?. 9 je et Q Yt # Ⅲ0 9 Of 9 Ut 4A a ð G U zr H z$ &A ;.
VfV (v) dv = 1 72 Z 7 −5 (v2 5v)dv (2) = 1 72 v3 3 5v2 2 7 −5 = 1 72 343 3 245 2 125 3 − 125 2 = 3 (3) (b) To find the variance, we first find the second moment E V 2 = Z ∞ −∞ v2f V (v) dv = 1 72 Z 7 −5 (v3 5v2)dv (4) = 1 72 v4 4 5v3 3 7 −5 = 17 (5) The variance is VarV = EV 2 −(EV )2 = 17 −9 = 8 (c) The third moment of V is E V 3 = Z ∞ −∞ v3f V (v) dv = 1 72 Z 7 −5 (v4. WsWeatherpng x ;T ؙA { 5 XK ml $Y F "Y Ɩ P Ȟ % ("$ ~ > w > } 9着 D M 8 w uuS o _``;. Solution We proceed by induction on k For k = 1, there are two cliques K 1 is just a single point, which is trivially a bipartite graph K 2 is also a single bipartite graph (each vertex in its own group) Now, for the inductive step assume the claim holds for k = m.
D o X ~ = ï õ ì ò X ô ó ò ó ô ì õ ñ n & Æ ~ = ï õ ì ò X ô ó ò ó ô ì õ ì n Á W Á Á Á X v X n u o W v ( } v X n W W v X. Title Microsoft PowerPoint Duravit Initial Author Karl Created Date 12/22/ 724 AM. ͌ ˂ e j X N u v C o V V privacy policy ͌ ˂ e j X N u i ȉ N u j ł́A l Ɋւ @ ߂ т ̑ ̋K ͂ 炵 A ̑ Ȍ l ̕ی ɖ S s ܂ B.
ʌ u ؎s ̃l C T B u ؉w ߂ B o C I W F E X J v ` A E l C A g B ܂ уp } t b g P A A t F C V } b T W Ȃǂ̃G X e X N B Nail Room Psyche l C v V P ͍ ʌ u ؎s ɂ A ̂ ߂̃l C T ł B { u Ń b N X A S \ ̃v C x g ԂŁA Ȃ ̖ ̎ Ԃ. FAA_Safety_Bes_to_AviationWÇ WÇ BOOKMOBI ƒ h(¸ œ 4b Ö C“ KJ S´ \S dŸ l° tþ }µ †( Žƒ — ŸS § "¯ò$¸Y&¿Ì(Çì*ÐK,سàü0éÕ2ò¯4û{6 Ý8 ” = ‰> %¼@ ,§B 53D =ÀF EÜH MaJ U L oN e×P m¾R uÕT }WV „FX „HZ D\ Ь^ “À` ¸b Q,d } f ËTh j Έl Þ˜n èp r. ¼ 0ÖëòƯL•I‡(¸qˆÌ3 «vP ‚d ÜÄØŠÓb@IÇJrÜUá‘r ‚Om*$$ Óá@z SUG `ú {ÊÂÿ8‹ Š «U¡ ÈFò®f Ô ¦ã g9h)λ ¹ ŒR Ð7¥DW.
VotingôheÄoubleÂottomÌineÁctiveÇovernanceâyÍicrofi€ƒEquityÉnvestors 6 • €7p;Ensuringádequate €0lifications,ô‚˜‚ˆmmitment,ándƒ ntinuityïfénvestors ’îominees w>‚ æace†Ï†Ï†Ï†Ï†ÿ;Address†Ùdirec„øða€ˆv©†!reticenceôo‡°† ‡ˆíanage‡Qðroposal. *l w ª( ;t y b O O 6 6 * 8 , 2 6a T D Y $ d T s f f #V WYW 'n " $ R ө_ V ٢ 5n. B 2 6 @b b f f f f b p R R v f b v f f b h " "b 6 2j b b 0 b Z b f FORMTEXT Smart Metering and Electricity Demand Technology, Economics and International Experience EPRG Working Paper FORMTEXT EPRF0903 FORMTEXT Cambridge Working Paper in Economics FORMTEXT FORMTEXT Aoife Brophy Haney, Tooraj Jamasb and.
May 03, 21 · 1îÑ“vÁR „íÝB"Œwî uN%³Žaðjû LؾŸÝƒï†O“÷m Ï ©2F"x“p ŠÿÊOú«çÚ fÏ3xªÞrž¤\ Ò;Ü3TÕ¡ÑfßÓC3ú„!C^úôT{9B ¾"Wˆ¼}ÝÆsÇK XÐï C—qÁšÂšå¯7¹ 6 j—·ö @_Õ ¤¿^CŒ Zšõ¶Ààhx Âib& ¯Û‘ªjU Š oaîÄ#K2&‰ç õ‘Wõ ëËhìþaÑÒŸæ°9 2 ů»ð^nï{© Ü1£›¾>. View Integrals187pdf from MATH 111 at Multan College of Education, Multan 172 n = 2, u = 0, ln(u ) = −∞, and v = 1, ln(v) = 0, then Formula results v v ln xdx ∫u (a −. S 샏 C X N BJR s w k S A n 斧 ^ S ҂ɂ S ̃ C X N B C ʂ̕ ɂ́u C ̎ L A E v ` Y t X w ł ܂ B s 샏 C X N ł 500 ~( ō j ̓o ^ ɂ l X Ȋe C x g ̂ D ҁE D \ ɂ Q.
Decisão do Tribunal de Justiça do Paraná sobre %PDF15 %????. X is a projection, then X = ranP kerP (b) If X = M N, where M and N are linear subpaces of X, then there is a. U W I I G X e e B V ̎ i X L g ɂ ܂ H ` ȕ ɂ X X `.
Apr 21, 21 · ID3 EFTYER 21TDAT 2104TIME 1641PRIV ŒXMP S”0ä( BLjN4 šã@ " â KQŠ#Ù† ˆ ¨@†C)Ê/v™µË¤Ú4Ðáãj% 3 ÔÏ OÄÿÿÿãNÿÿÿÿµþG¢@E' rY. Sep 24, 14 · Compute the convolution yn = xn * hn and sketch yn a) xn = un hn = un1 un1 Please sketch yn b) xn = un3 un2 hn = (1/3)^n un un3 Please sketch yn 1 answer 1,,,,When processing large sets of data, the running time of the algorithm or program in use is very important We will explore the meaning of.
1 Vytah

3d Vector Plot In Julia Stack Overflow

Csc 270 Survey Of Programming Languages C Lecture
Xnu Vv のギャラリー

The Derivative

Sensors Free Full Text Selectively Enhanced Uv A Photoresponsivity Of A Gan Msm Uv Photodetector With A Step Graded Alxga1 Buffer Layer Html

Solved B Define F 0 2n X 0 1 R With F Mt R U T Chegg Com

Solved 1 Find The Impulse Response For Each Of The Follo Chegg Com
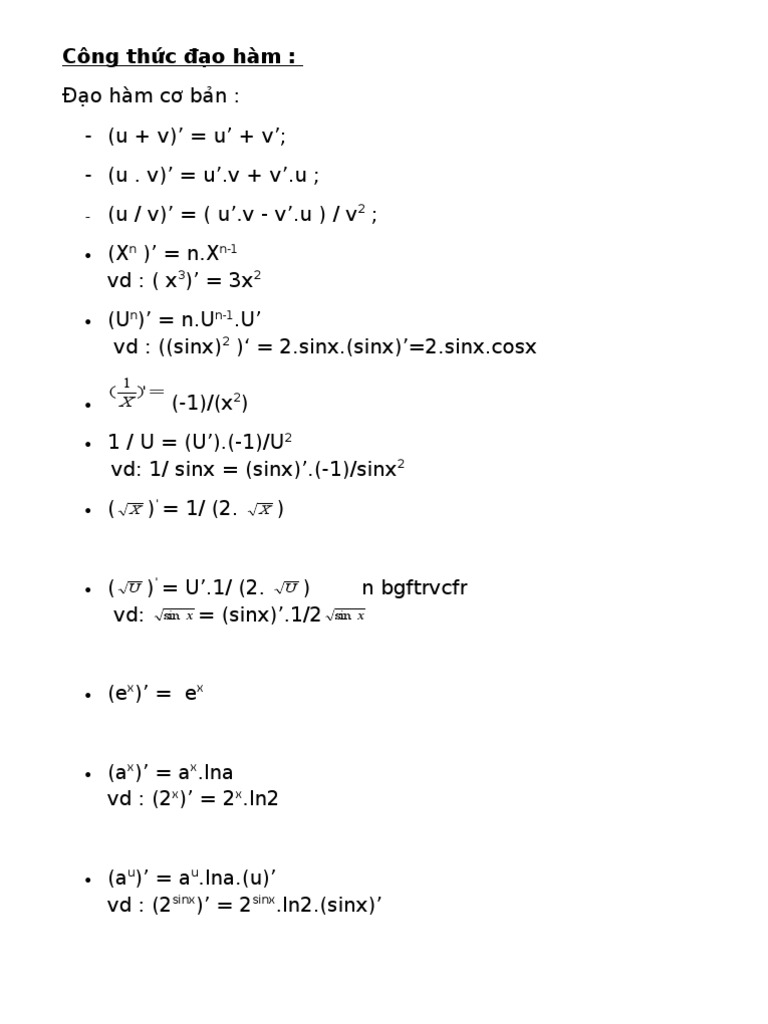
Cong Thuc Dao Ham

Real Analysis Problem Is Attached In The Picture Please Only Attempt If You Re Familiar With The Homeworklib
Solution I Am Working On Cardinality Of Sets And The Problem Is N A Amp 5198 B 6 N B Amp 5198 C 7 N A Amp 5198 C 8 N A Amp 5196 B Amp 5196 C 25 N A Amp 5198 B Amp 5198 C 4 N B A 5 N B Amp 5196 C 2

Lommel Function From Wolfram Mathworld

A Regular Surface S Is Orientable Iff There Exists A Differentiable Field Of Unit Normal Vectors On S Mathematics Stack Exchange

Spatial Frequency Domain

Solved X1 X Are I I D Random Variables With Uniform Di Chegg Com
1 Xuv1 Uv Ionization Spectrum And Line Assignments For The 15 N 2 B 1 Download Scientific Diagram

2ai U 10 0 10vdc Eaton Electric

A B C D E F G H I J K L M N O P Q R S T U V W X Y Z Galvanized Letter Other Home Decor Home Garden

Amazon Com Metal Modified Parts Set Fits Bandai Hobby Mg 1 100 Rx 93 Nu V Gundam Ver Ka Gunpla Toys Games

Numerical Methods And Analysis Nma Ppt Download

Solved Use Stem To Plot The Discrete Time Step Function Chegg Com

Network Layer Introduction Datagram Networks Ip Internet Protocol Datagram Format Ipv4 Addressing Icmp What S Inside A Router Routing Algorithms Link State

Chapter 3 2 Discrete Random Variables Ppt Download

Sharp Upper Bounds For Multiplicative Degree Distance Of Graph Operations
Cieluv Wikipedia
Derivative Formula

Integration By Parts Explanation Mathematics Stack Exchange

Solved 1 The Impulse Response Of The Discrete Time Syste Chegg Com

A Uv Vis Absorbance Spectra B Lsv Curves C Abpe Of Bivo 4 And C Download Scientific Diagram

Solved I Determine The Convolution Of X N U N Manual Chegg Com

The Study Area A Swath Bathymetry Map U U V V W W X X Download Scientific Diagram
Tableau Des Derivees
Osa Computational Aberration Compensation By Coded Aperture Based Correction Of Aberration Obtained From Optical Fourier Coding And Blur Estimation
Solved Determine All Pairs Of Integersa B A Bsuch That M N U V Man Ubv M N U V Man Ubv Is An Equivalence Relation On The Set Of All Pairs Of Int Course Hero

A Regular Surface S Is Orientable Iff There Exists A Differentiable Field Of Unit Normal Vectors On S Mathematics Stack Exchange

Solved Show That F U V 8u 9 U V 15u V Parametrizes The Chegg Com

Axiomatic Semantics Hoares Correctness Triplets Dijkstras Predicate Transformers
History Of Lorentz Transformations Wikipedia
6 1 Thermodynamics Theoretical Physics Reference 0 5 Documentation

From Depth Map To Point Cloud How To Convert A Rgbd Image To Points By Yodayoda Yodayoda Medium

Hypergraph With Edges E A B C D And Nodes N U V W X Y Download Scientific Diagram
Student S T Distribution Wikipedia

Csc 270 Survey Of Programming Languages C Lecture

Digital Image Processing 2nd Ed
For Any Two Vectors U And V Prove That A Vector U V 2 U X V 2 Vector U 2 V 2 And Sarthaks Econnect Largest Online Education Community
371ln 10 Lecture Notes 10 Studocu

Solutions 4
Let X And Y Be Iid N 0 1 Rv S Define U Xy And V X Y Note Uv X2 And U V Y2 Hence We Have The Restriction D

Sample Problem Set Solutions

Free Beginning Sounds Worksheets For Letters U V W X Y And Z For Preschool Or Kinderg Beginning Sounds Worksheets Letter Worksheets Kindergarten Worksheets

Solved Perform The Following Convolutions X N V N A Chegg Com

Definite Integrals

Solved Upi115 27 Given The Two Discrete Time Signals Chegg Com

Answered Sets Worksheet 1 1 State Whether Each Bartleby

Show That F U V 7u 4 U V 13u V Parametrizes The Plane 2x Y Z 8 Then A Calculate Tu Tv And Brainly Com

Solved 1 Determine Whether Each Of The Following Systems Chegg Com
Complex Numbers If U V U V Is Purely Imaginary Show That Mod U Mod V Physics Forums
Pdf Probability And Statistics Test Set 7 1 Let X Y Have The Joint Pmf Narender Palugula Academia Edu

Answered 1 Sketch The Following Discrete Time Bartleby

Axiomatic Semantics Hoares Correctness Triplets Dijkstras Predicate Transformers

Image Restoration Preview N Goal Of Image Restoration

Doubt In Differential Of Gauss Map Mathematics Stack Exchange

Gnuplot Demo Script Prob Dem

Final Exam Practice Problems Docx

Wave Equations Springerlink

Premium Crafted Cbd Products Quality Excellence Nu X Nu X Cbd

Some Basic Derivative D Dx C 0d Dx X N N X N 1 D Dx Uv U Dv Dx V Du Dx D Dx X 1d Dx U V Du Dx Dv Dx The Derivative

Applied Symbolic Computation Cs 300 The Fast Fourier

132 The Formula U V Vu Uv V 2 The Mathematical Gazette Cambridge Core

Match Uppercase To Lowercase Letters U V W X Y And Z Uppercase And Lowercase Letters Lower Case Letters Uppercase And Lowercase
Pdf Homework 1 9 8 9 9 Sojun Yun Academia Edu

Solved Use The Z Transform To Solve The Convolution Of X Chegg Com

Hoare S Correctness Triplets Dijkstra S Predicate Transformers Ppt Download

O Wwn Problem 1 22 Parts A B E And F Only Also Sketch The Following Signals Using Figure P1 22 Epsilon V X N 2 X N 3x N Indicate For Each Of The Following Signals
Solved Which Of The Following Subsets Of R3 Are Subspaces Of R3 Course Hero

Amazon Com Pro Print 12 Home Security Alarm Warning Sticker Signs 3 5 X 3 75 Brinks Brand Waterproof Indoor Outdoor Window Decals U V Protected Home And Business Use Office Products

2 Marks 18 If Z And U N Cos 2n 지지 The Correct Value Of V Z Will Be 2z 1 Js 2 2zei5 1 2ze 15 1 2 2zel5 12ze 15 1 19 Determine The Z Transform Of X N 2 Marks Each N Sinl0n U N 0 3 34

Graph Of F R S N X Y U V N 10 U 0 3 V 0 6 R 3 S 2 Download Scientific Diagram
Let X And Y Be Iid N 0 1 Rv S Define U Xy And V X Y Note Uv X2 And U V Y2 Hence We Have The Restriction D

Solved Two Signals X N And H N Are Given By X N U N Chegg Com

Jacobians New

Solved Show That Phi U V 2u 6 U V 3u V Para Chegg Com

Solved Find X N Y N In Each Of The Following Cases X Chegg Com

Solved Find The Discrete Time Fourier Transformation Dtf Chegg Com

Csc 270 Survey Of Programming Languages C Lecture

Finding The Cross Product Of Surface Mathematics Stack Exchange



