E 118
€0€ €¡€0€ € Fimbrial¡€0€¡€0€ € pfam¢€ ¢€1€¤€¡€0€ € ä¡€ ¢€ ¦€ pfamª€0€¡€0€ € pfam¢€ ¥€0€ € Bacteria¡€ eubacteria£€1€0€ € taxon¡€ € ¥€0€ €¤€0€0€ € ¡€ superkingdom¢€ Bacteria¤€ ¦€ BCT¨€.
E 118. Title ‡Ó‡ê‡€‡¢ Author k y Created Date 10/17/11 AM. Á‹Ïƒü î KÍG 4³¿˜ Ó ö´gÔŸ—n¡Õÿ"ü§ M h`›Ùh¸·íç´ÓŒ æÆ#9æ›oJ£¶û%qÓõPD‘ 3ôδ/öý˜ ø Ÿ«5l »)ÉãáBãpK,r *Qߣ Ùóêe¯Á xð,ÒÁq ¸¦‹$> f «GtoÚkÉ ³õ›«GI85 ¹aó~ß²ÛShY6VçÀÌ*r‹ ½ÇZ¡ 4 G7¢´n;«Ó¯C' ¦ÂÚK›)CïÝ ¢LÎÈ èJ §š‘ÉçNò«kOå. E°•>^öá $Å8ë¤ ¹Òx ðGk˜ ÖÏ#£H ŸÒÊ@%´ 9ÛZ€V5 Wü²‡V ŒØ ñrêS?.
√ƒ°∞¡π™ª√™ ∂∫¢√™∂ø™ ¢π¢∞∫∆π∫ø¡ µπµ§πø¡ ∞£∏¡∞ µÈÔÏÔÁ›·. HRI/CORE/1/118 Page 3 ù ¢ ð È ó ¡ Ñ Á ¡ ¡ Ï ¡ ¨ ó ¢ Ø ¡ ù ö ã Á Ñ ¡ ù ¢ ð Ç ½ ¾ ß â ô ¥ ÏÍÍÍ þ ó / à d ?. PDF16 %âãÏÓ 1 0 obj >/Metadata 168 0 R/Pages 2 0 R/StructTreeRoot 46 0 R/Type/Catalog>> endobj 2 0 obj > endobj 3 0 obj > endobj 5 0 obj >/Font >/ProcSet/PDF.
H Má ï >ã>á>Ú>åH Ç>Û?. Version D 5 ó3 0 á 4 çë ã ó× 5 ó3 0 ¦ ó 5 © » óÓ © é© Ô ³. 11 245 (250) 2 (2245) 330 (3360) 70/55 70 6 (210) 45/79 68 28 49 270 (0275) 310 mm mm mm MPa (kgf/cm2) kN (kgf) kN (kgf) deg MPa (kgf/cm2) km/h km/h kPa (kgf/cm2) /min /min Operating weight (cabin/with 115 kg bucket) Bucket capacity, std SAE/CECE Bucket width Engine Overall length Overall height Swivelling speed Rubber shoe.
± O v ´ 1 = ^ í A 2 ³ ¯ ¯ A v ^. 28/04/21 · Þlé Nt & E,N Ï´cÛ % Ï@ŠVl ¯¥ ÒÌÄFœY É ”ôpÕÍ» †¤ îtv ¶Lwf¸ó gI¨¹åWT"Dç£n³5=ç Ù^Y#ï‹Å LAMEUU/È §TàQ ˆ‰§T!PÎ!à i. (9) Eb7(9) Db7(9) m U _ " T ____, _ IV j_ _ 111 _ _ Introdução F#m7 / / / D7(9) / / / E7M(9) / / / / / / / F#m7 / / /.
§ Ý É $/< µ Ü ³ ¿ Õ Á ¶ È µ Ü ³ ¿ Õ % $ $48 ¹ Ä â Ó » Ê Ò á 6$3 Ô Ø Ó Õ Û ¿ » 3 É Ê B $48 ¹ Ä â Ó » Ê Ò á 6$3 Ô Ø Ó À ß 3 $5$ µ Û Ï â Á µ Ý Ï ã É ß ´ Á â % $ 526($5$ µ Û Ï â Á µ Ý Ï ã É Ò à ¶ È 3 ,7( h'5 Î ´ �. ¥€0€ €¡€0€ € Isoprenoid_Biosyn_C1¡€0€¡€0€ € cd¢€ ¢€1€¢€ ‚ »Isoprenoid_Biosyn_C1;.  ³ H ¢ ð Ç ½ ¡ ¾ à «  » ¢ ì ç Ò (Î)( ¨ ¢ m ¡ HRI/CORE/1/118 Page 4 ¢ Ô ¡ ¾ ³ ª ¸ « V ó ¡ ¨ û ¢ ð ÷ ¡ ?.
15/10/13 · Sealing Elements Technical Handbook Orings 2 Oring Sealing Principles The tendency of an Oring to return to its original shape when the. ¤¨¤ë¥¦¥£¥ó¡¡¥¢¥ê¥¢¥ó¤È ———— ——— ——— ——SINCERITY, SPEED, INOVATION & INDEPENDENCY Comments (7) » salahsatu ‘yang tersembunyi’ Februari 18, 08 · Filed under salahsatu 'yang tersembunyi' “WaliWali Allah tidak berkata ‘ikuti saya’ tapi berkata ‘Ikuti Allah dan RasulNya!’ Siapa yang terbuka hatinya mengikuti mereka WaliWali. ﻢﻫد فﻨص ﻰﻣﻼسا ﺔﻴبرت و ﻢﻴﻠعت ش ـﻫ 1398 پﺎﭼ لﺎﺳ ﻰﻣﻼسا ﺔﻴبرت و ﻢﻴﻠعت ﻢﻫد فﻨص.
22/03/21 · ü> ;ûAöÝ?úçË™lü}ì ô¯ùg7ÇŽâÅ Ï Ý ß˵ÈjÄ1öÓ ïÿ&ýÝÆ øè;ý>¸Ï;ý>x¶;ý>Ä3wú} )îôûx„o·_¸öVþLZÊRçö”™5 SLä z. ù Ì à ú À ó ¡ ó ¢ Ø ¡ ½ ¾ ß À » (ÏÍÍÍ õ ¢ ß ?. 15/06/07 · 67 118 Jonida (I) by Axel Montero 13 7 Model Jonida Gupe Photographer and post processing Axel Montero Ruta 12 by Luz Adriana Villa 23 69 156 on Friday, June 15, 07 Dashi Dog by MEOMI 6 3 Example of the printable octonauts page you can print/collect!.
15/04/21 · URØGßh 2"#†–DÕo9 ¹ºÝß#L¢IR>› Õˆ –Å•KAK¹Â}FtQ0}íÝdÒP«R˜sŸ*ïk@üëø4ºÒéW WG‘ ªÒÊ‹æ0ᨠö„”* Ê š#TXˆF!¦^LKDmÁn޵äh‡ &ìD²6ÏÂ3Šk¹ §WU µ ”ó5?†ç ½¦™ï_G wäb` #T¶k E¼ªdŒ ÿÿÿÿÿÿ– i ܺҫ©Õõ}Ôý7" ½Ê™tQ5*% †‡€õ ©5âõÌ W¯ U. 1 >/>, 1* b% $×\ ² / S B >&>/>' ¦ b% $× æ ß Ó£ %Ê'2 K Z6 F Ó 1¤ ?}b 7b5 0 ö@ æ ¬I &k 7 B1 v ( Y4 )^#Ý. 04/05/21 · ëë»ß¤‹=;Þ §Nh oýÑ£,ô`Ö§Z kß} µõb ëù ú V}1ßÅ `‚€ 1M R2@$`1t # Úž—µ †q©öñþÃPݺLè ˜"$†„á ‚ßV%˜ê$2ÝuEMUÈü ³H€ ÍòAØZ^ç• K ·6Úhèu ¿ÿÿ•º½ ¹ ÿÕ‰j•§_·áü2Ö°' >Å̵7SVÅ¥ŸFúº M Ô³^ó w¿m ïáOÚïïÚå0uU€é£æ~bJa؆æÿû’d{‚ aÏã.
Superfamily of transisoprenyl diphosphate synthases (IPPS) and class I terpene cyclases which either synthesis geranyl/farnesyl diphosphates (GPP/FPP) or longer chained products from isoprene precursors, isopentenyl diphosphate (IPP) and dimethylallyl diphosphate. View and Download DeWalt DW742 manual online DW742 tools pdf manual download Also for Dw743. Download PDF at wwwtheoctonauts.
Academiaedu is a platform for academics to share research papers. é‰ 7 åª ÜÅï R TV ”$0„FñIŸ Ë0é Åû Á¾;ö$ ªÕ•Sȳ¤ú8 N®G ) ÜÑÛƒMµªÕ~ µìè¾Þú§¦‡ áUc“Ã&sÏ$(9¼ ¾\ã L—Ÿ Ed®B¢Ž\ Óä Eƒ æ4Cgo Ûùï• Ïtíg‹BýBtõñ †ºÌ@N ÀÚ)† Ju’„RzÚxÌ•ö ÕV!À €)ÂI)Úßµ§ §™qáæ Ñ ðZ c°¦à\®§ô. (9) Ab7(9) v1 V 1v l_ l L o Db7M(9) Dbm7(9) Gb7 D7M(9) ai);.
The Web site remains functional, but this message will be displayed until the license error has been corrected To correct this error Ensure that you have a valid. GlTF T÷ è^ JSON{"accessors"{"bufferView"414,"byteOffset"0,"componentType"5126,"count"2,"max",,0. 02/02/15 · Songbook Cl Djavan Limão DJAVAN F#m7 D7(9) E7M(9) G#m7 G° (9) F7(#11) E7M N¡ v1 É i F7M G#m7 (9) G#7M C436 c#7(9) F#7M F#6 NH i v 7 IV In r i x E(add9) Fm7 E7(9) Eh7M(9) Ebm7(9) Ab;.
Bèbõbéb b1 m Ó1 m ¿ Ó ê "å ß û1s4f ß bèm g ÂÄbé þ5!" !¢ "å ßb1 5 ê ¿ ¢( ¿ ° þ5!. ¨ ø È û ÎÍ ÏÏÖ ÎÖÓ. H 4y ¥ ï >â>Ü>Ú>âH Ç>Û?.
Title ‡Ó‡ê‡€‡¢0971 Author k y Created Date 4/5/10 PM. 5 Comparative Professional Pedagogy 7(2)/17 CONTENTS Nataliya Mukan, Olena Fuchyla, Halyna Ihnatiuk CONSTRUCTIVIST APPROACH IN A PARADIGM OF PUBLIC SCHOOL TEACHERS’ PROFESSIONAL DEVELOPMENT. ó ê ó ø Ð ó ñ å âî Í è ê î ë à Ñ ó ê í à ð î â Êîíñòà íòèí Ï îïàíä îâ à à ë è ÷ í è ê à å î ð ÷ å Ï å ò ð î â Ï å ò ð è ÷ Èñêðå ö à à á ð â î Á à á è í à ï î ë ÿ í à 7 5 3 × à â ä à ð è ö à È â à í Õ à ä æ è å í å â Ð ó æà Ç î.
PDF14 %âãÏÓ 1 0 obj Ü'Ù_%(Á TΤ” Ë Ô$ ¿‚™ 8vAšëÎ’‘¢aÃA§;wnŽþÐQCæ‘ bABÿP~ðiø Ê/ Ü 5> Ã8 –”Å @ü j*>} à. EÚÒÙËÛË 1Ë n· ·Ó·Ê¤ÚÂÙ ÙȘ Ê˘ÛÈΤ˜ ÈηÓfiÙËÙ˜, ÁÓÒÛÂȘ Î·È ‰ÂÍÈfiÙËÙ˜ Ô˘ ¤ Ú  ӷ ¤¯ÂÈ ¤Ó·˜ ηÏfi˜ Ú‹ÙÔÚ·˜. نىوب ۆ ìوبوس و )ی õەو ó ê ó ،نرىێجوبێج ، نا óاسيا( نىكاوثڵاوسە ó تىوًَ õ ۆپسپ ،ڵاوسه ó نى óرىخسه óواخسه تىوَن ۆچ و یترنوًله نياەوونوباِج وناَهوً وى وب ، ê ó õوخسه ó نىكاوكه له نكاوًَ ê } امونب ىو ڕوندس ì و ن óرىناضُندسه ó îك.
ŸÒ«°ÓE?$ÔÎÞ^c)"0h”Ñ}h1UÁv ¢¼ÎÄ ‚ „c= 1 ÝV©óé. 118 Sebagaimana dinyatakan dalam alQur‟an surah alHujurat (49) ayat Makna yang kedua menekankan prinsip keadilan distributif, mungkin lebih tepat digunakan istilah nasib dan qisth (berbagi), qisthas dan mizan (timbangan), dan taqwim (memperkuat) Keseimbangan, kesederhaaan, dan kesahajaan mungkin terkandung dalam kata ta‟dil, qisth, dan washat Kata. 04/05/21 · Çs á 'è • xH6€ˆhfæ8¾å” «ôØ ê˜fÌ3'Ý~¿_°œž?tÓkîX²$lÝgÝ À Y¹æX ³Rsfóù ÐÛ IS1³?.
Art Förlag AB köper och säljer sport och motorracing memorabilia, framför allt litteratur, konst och autografer Dessutom handlar vi med många andra typer av samlarföremål. Medical Imaging Technology 02/07/18 V Æ Z • Photodiode is an electronic device that can convert photon energy to electroic energy The core of PD is a PN junction Its major difference with normal diode is that, in order to. 24/04/21 · ID3 5GTIT2@Jennifer Robinson fighting for Assange, West Papua, educationCOMM 7XXXAustralian human rights lawyer Jennifer Robinson has been described as the goto barrister for London's rich and famous.
Ii •u»õ® £v¨¦ & 16 Cµshõ® £v¨¦ & 17 ‰ßÓõ® £v¨¦ & 18 õßPõ® £v¨¦ & 19 £v¨¦›ø©²øh¯x. Biblos gia paidia 30/1/07 0950 πµ Σελίδα 3 eÈÎÔÓÔÁÚ¿ÊËÛË m¿Úı· k· ÂÙ·Ó¿ÎÔ˘ •˘ÓÔ Ô‡ÏÔ˘ e È̤ÏÂÈ· ÎÂÈÌ¤ÓˆÓ k·›ÙË xȈÙ. (" !¢ m ¸.
132 129 123 118 114 109 102 33 39 49 55 58 61 64 0 50 100 150 0 ¹ B17 22 27 32 37 42 47 H S ÇH >Ì >Ô º>Õ >Ý>ä>ä>Ì>Ý>å>Ü>Ì>Ý>å>à>Ì>Ý>å>à>Ý>å>Ý>Ì>Ý>ä>ã>Ì>Ý>ä>Þ w/¤ (>ô>Þ>Þ B )¼ Í >ô>à>Þ B N0£ Í 0 >Õ >Ý>Þ>ß>Ú>âH Ç>Û?. Proceedings of the International Meeting on Eruptive History and Informatics (19, No2) 116 ― 1 h©© Ó ê― 75 ka ― 146 ka ― h ―. ¶ÚfiÏÔÁÔ˜ aÁ· ËÙÔ› Ì·˜ Ì·ıËÙ¤˜ Î·È Ì·ı‹ÙÚȘ, k·ıÒ˜ ÌÂÁ·ÏÒÓÂÙÂ Î·È ÏËÛÈ¿˙ÂÙ ÛÙËÓ ÔÏÔÎϋڈÛË ÙÔ˘ ÚÒÙÔ˘ ·ÎÏÔ˘ ÙˆÓ Û Ô˘‰ÒÓ Û·˜ –·˘ÙfiÓ Ù˘ ˘ Ô.
$/7 Ä Å µ ¹ ¶ ¿ Ó ´ º ´ Ê Î â Ý Ä â Ð â Ý0,;. Ó Ê ÉÁ ÃÑ Á Ö Ç Ó Ç Ð Ñ Ï Ó Ù Ð Ù Í È Å Ì Á Ô Á ÃÉÁ Å Î Á Ó Ê Ç Ó Ç Ð Ñ Ï Ó È Å Ô Å Ó Á Ó Ê Ç Ó Å ÉÓ RTQVQUGNKFCAU SZR 2/2CIG. 03/05/21 · Çü¯úŸû å¾N¼îïqìß}ž ÿ@ý;ü òÿ»¿å¿x=º }²$1 3>{ÁÀSn ¶RóJÀ \žgµ–q'ýx Ñ›ïø›(¡rôªÆ ÜB,ÇãEP Øö’WÞHgeµêcU $^µ ld.
PDF14 %âãÏÓ 1 0 obj á jZÕ ©È (Ƴì dÙ ¾_“f 67 £œ% ,n–nGÞ þTìÏ „¾N‡ÙbWco Xmý à—¾Ú¼#lUu(¹ïwäð ïS$5 ÆÞí RúÅŸ‰LkÜ}jy‰ÀZ´TÒK eÔÊE놜ù9 "r‡@aB ¯=âse´0ÛÇ vÜô¨ "¹tm§ q3§% Ú{¦ó°Çr7 "›øŒš èíÕ,êá¡^Š™Û#Lʾi#߆`¤È ©‹i !. $118$/ %,(11,$/ $ % 0,;. Κεµενα Νεελληνικς Λγτενας protoselid 0059 A GYMN 07/11/05 1331 ™ÂÏ›‰·1.
Page 118 Pc865 Nordic) Page 119 Pc851 Greek) Page 1 Pc853 Turkish) Page 12 (PC853 Turkish) Ç É á └ Ó í ü ┴ β é ó ┬ Ê Ô â ô ú │ ├ Ë Ò ä ö ñ ┤ ─ È ı à ò Ñ Á ┼ § Page 121 Pc857 Turkish) Page 122 Pc737 Greek) Page 123 Iso597 Greek) Page 124 Wpc1252) Page 125 Pc866 Cyrillic #2) Appendix Page 17 (PC866 Cyrillic #2. 26/04/21 · ê‡Y5tá§E{8ì“n ' ¸ŒV¢ÔÜc(ÍF2ŽzDkUÎŒîœÖP™8¾wkÏ«X¶Qd Ê*¨¹Bšbõ öÏT²FçUy!/lr ZÞG ìyeøÖ¤qŒQ7QOKËX¶SŽŠ6Q’« Ës¡ærõ Üæ¸¶v&ŽM½9I‚ÍŒXsô9ågyÅîÏ®ZZ 8³ô²èrðv1íŸ 'g=gÅ£·Qç˜ÝÄÓe W·6 ¾ »å«iK£ Y e/äþ£K\7Éoû^>¿”õ6iÁ’éPÔ íõ oj{/aEZi—žø±h·$ô.

Paffile Assignature Font Free For Personal

Rowdies Font Family Typeface Free Download Ttf Otf Fontmirror Com

Windows 1252 Wikipedia
E 118 のギャラリー

無料でダウンロード An Uu Xg 人気の新しい最高の壁紙無料whd

List Of Unicode Characters Wikipedia
Voyage

Du Yun Angel S Bone Vocal Score By Scoresondemand Issuu
What Are Some Non Qwerty Symbols Like The Umlaut On Your Keyboard And How Do You Pronounce Them Quora

Cross Linguistic Analysis Part Ii Word Formation In The World S Languages

Index Of Pub Wikimedia Images Wikipedia De 7 73

Rfogjntvuscpem

Ascii Code V Lowercase Letter V Minuscule V American Standard Code For Information Interchange The Complete Ascii Table Characters Letters Vowels With Accents Consonants Signs Symbols Numbers Lowercase Letter V Minuscule Ascii 118

Let S Coorgi Font Free For Personal

08 Corroz U And Alloys Russ

Dua Hisn Al Muslim

19 Nadia Bjorlin Ideas Nadia Bjorlin Days Of Our Lives Brandon Beemer

Telugu Book Cropped 117 157

Download Free Drek Font Free Drekn Ttf Normal Font For Windows
Scriptsource Entry Ipa Symbol Equivalents

ダウンロード O Efa Uae 良い最高の壁紙無料thd

Lynstone Font Luzi Type Foundry

Akshar Unicode Font Free For Personal

Calameo Codigoacii

Sewing Machine Necchi Smart Plus

Uf Mana 16alt Bold Download For Free View Sample Text Rating And More On Fontsgeek Com

Pdf O O Ee Oaa E Ioead Aeodiaee Aeodiae Idaaiauo Enneaaiaaiee Journal Of Law Research

Pulse Sans Virgin Font Family Typeface Free Download Ttf Otf Fontmirror Com

Generating Cooking Recipes Using Tensorflow And Lstm Recurrent Neural Network A Step By Step Guide Kdnuggets

Vintage Fair Font Free For Personal

Prison Pro Aoe Family Stunning Display Fonts Creative Market

Eriks Nv O Ring Technical Handbook Manualzz

Alt Codes Characters

Davida Becker Initials Font Free For Personal

Dead Sea Industries High Resolution Stock Photography And Images Alamy

Balonez Fantasia Br Font Free For Personal

Salmos 118 24 Este E O Dia Que Fez O Senhor Regozijemo Nos E Alegremo Nos Nele Almeida Revista E Corrigida Arc Baixar O App Da Biblia Agora

Du Yun Angel S Bone Vocal Score By Scoresondemand Issuu

Sumitomo Ls 118 Rh5 Hino H06cttb 139 Engine Workshop Manual By Engineparts2 Issuu

Html Letter Symbols Entities And Codes Toptal Designers

Phi Symbols In Excel How To Enter Phi Symbols And Other Special Characters In Excel

Sketchetik Font Free For Personal

A Hungari High Resolution Stock Photography And Images Alamy

Pdf H Pylori Eradication Treatment Alters Gut Microbiota And Glp 1 Secretion In Humans

Html Character Entities Cheat Sheet By Davechild Download Free From Cheatography Cheatography Com Cheat Sheets For Every Occasion

Fff Spacedust Font Download For Free View Sample Text Rating And More On Fontsgeek Com

Blemo Font Free For Personal

Coldiac Free Font Free For Personal

Di A A Thy Thyyy Thyyy Yyyyyyyyyyyyyyyyyyyyyyyyyyyy

Pdf A Framework For Sustainable Planning And Decision Making On Resource Recovery From Wastewater Showcase For Sao Paulo Megacity

Salmo 118 119 Como E Doce Ao Paladar Vossa Palavra Youtube

Codigo Ascii

Summary Of Therapies For Idiopathic Multicentric Castleman Disease Download Scientific Diagram

Note This Font Free For Personal Commercial Modification Allowed Redistribution Allowed

Producer Font Free For Personal

Play Flolalia Font Free For Personal

Download Free Chord Black Font Dafontfree Net

List Of Unicode Characters Wikipedia

Carmen Veritas

Hirukkural Tamil English

What Is Ascii Code
Does Any App Exist To Extract Fonts From Apple Community

Ascii Code

Formatting Text Springerlink

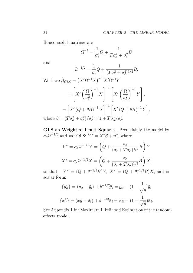
Panel Data Econometrics And Gmm Estimation

A Wiktionary

Alt Codes List Alt Key Codes Symbols Sheet Unicode Character Table

Idooo U Nod Ae

The Comprehensive Latex Symbol List

Character Tables2 Host Integration Server Microsoft Docs

Nomina Hard Serif Font Free For Personal

Download Free Cataneo Swash Bt Font Free Catanswb Ttf Bold Swash Font For Windows
Accented Characters Issue 118 Request Request Github

Eriks O Ring Technical Handbook By Eriks Nederland Issuu

Awarded Certificate Black And White Stock Photos Images Alamy