Waaw Bnx Ss
One of the most common hieroglyphs, snake, was used in Egyptian writing to stand for a sound like the English J , because the Egyptian word for "snake" was djetIt is speculated by many who? that Semitic people working in Egypt adapted hieroglyphics to create the first alphabet, and that they used the same snake symbol to represent N, because their word for "snake" may have begun.
Waaw bnx ss. A W A Ƃ̗A o E O Ԗf ՂȂ獑 ۃ W X e B N X ̊ Ћ a ɂ C B n Ƒ吳10 N ̖L x Ȍo ł q l T g ܂ B A W A A W A C E ` E o R N E z ` ~ T r X W J. T a l a r a w a n, Angono, Rizal 279 likes · 138 talking about this Photographer, Videographer, Editor. Title POTEMindd Author christopherdinardo Created Date 11/19/ PM.

Frontiers Wnt B Catenin Signaling Pathway Regulating T Cell Inflammation In The Tumor Microenvironment Immunology

Page 32 Flip Nerpatham Online 03 October

Triple Combination Of Interferon Beta 1b Lopinavir Ritonavir And Ribavirin In The Treatment Of Patients Admitted To Hospital With Covid 19 An Open Label Randomised Phase 2 Trial The Lancet
Waaw Bnx Ss のギャラリー

A Reverse Holder Inequality For A B Alpha Beta Symmetric Integral And Some Related Results Topic Of Research Paper In Mathematics Download Scholarly Article Pdf And Read For Free On Cyberleninka
Beta Distribution Wikipedia

The Roots Alphaa N Dbeta Of The Quadratic Equation A X 2 B X C 0 A
If A B Are The Roots Of The Equation Ax 2 Bx C 0 Find A Quadratic Equation With Roots A 3 And B 3 In Terms Of A B And C Quora
Beta Function Wikipedia
If Alpha And Beta Are The Roots Of X Px 1 0 And Gamma And Delta Are The Roots Of X Qx 1 0 How Would You Show That Q P Alpha Gamma Beta Gamma Alpha Delta Beta Delta Quora

If Alpha And Beta Are Zeroes Of Polynomial P X 4x2 5x 1 Find The Value Of A Alpha 2 Beta 2 B Brainly In

Continuing Chronic Beta Blockade In The Acute Phase Of Severe Sepsis And Septic Shock Is Associated With Decreased Mortality Rates Up To 90 Days British Journal Of Anaesthesia

If Alpha And Beta Are Different Complex Numbers With Beta 1 Then Find Beta Alpha1 A Beta
Beta Function Wikipedia

Beta Distribution Wikipedia

Beta Function From Wolfram Mathworld

Fiat Shamir For Highly Sound Protocols Is Instantiable Ppt Download

Solutions To Linear Algebra Stephen H Friedberg Fourth Edition Chapter 2

The Weibull Distribution Reliawiki

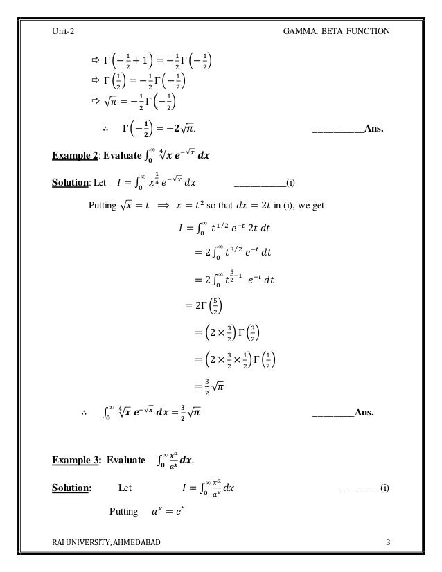
B Tech Ii Unit 2 Material Beta Gamma Function

Solved 3 Let Ss 0 And Let X X2 Be A Random Samp Chegg Com

Transformation Matrix With Respect To A Basis Video Khan Academy

Alpha Beta And Gamma Are The Roots Of X 3 3x 2 3x 7 0 W Is Cube Root Of Unity Then Alpha 1beta 1 Beta 1gamma 1 Gamma 1alpha 1

If Alpha And Beta Are The Zeros Of Polynomial 3x2 2x 1 Find The Polnomial Whose Zeros Are 1 Alpha Brainly In

Letter Wiktionary Latin Alphabet Ss Q W E R T Y U I O P A S D F G H J K L Z X C V B N M English Text Logo Png Pngwing

Writing Nuclear Equations For Alpha Beta And Gamma Decay Video Khan Academy

Pdf Beta Glucans In Biscuits Enriched With Barley Flour Made With Different Sweeteners

Connection Of A Call C A W I B W J In The Network S B N N D 1 Download Scientific Diagram

Solved Let B 0 And Let X 1 X 2 Probability Density Fu Chegg Com

Beta Blockers Historical Perspective And Mechanisms Of Action Revista Espanola De Cardiologia

Sequentially Indexed Grammars Pdf Free Download
Beta Distribution Wikipedia

A Kantorovich Stancu Type Generalization Of Szasz Operators Including Brenke Type Polynomials Topic Of Research Paper In Mathematics Download Scholarly Article Pdf And Read For Free On Cyberleninka Open Science Hub

Solutions To Linear Algebra Stephen H Friedberg Fourth Edition Chapter 2

Solved X22 Be A Random Sample From The Distribution W Chegg Com

ªq Shbv Thww Pm Kx Ap Pw Pdf Free Download

German At Portsmouth German Scrabble Points For Each Letter There Are No Ss Tiles But You Score Well For Using Umlauts 1 Punkt E N S I R T U

Usp Positively Regulates Tumorigenesis And Chemoresistance Through B Catenin Stabilization Cell Death Differentiation

B Tech Ii Unit 2 Material Beta Gamma Function

Beta Turn An Overview Sciencedirect Topics

The Human Gut Firmicute Roseburia Intestinalis Is A Primary Degrader Of Dietary B Mannans Nature Communications

9 Find A Quadratic Equation W See How To Solve It At Qanda

B Thalassemias Nejm
Let A And B Be The Roots Of Equation X 2 6x 2 0 If An A N B N For N 1 Then The Value Of A10
-Western-Blot-NB600-501-img0023.jpg)
Beta Actin Antibody Ac 15 Nb600 501 Novus Biologicals

Pdf Cost Effective Network Flow Measurement For Software Defined Networks A Distributed Controller Scenario Semantic Scholar

1 Let Ss 0 And Let X1 X2 Be A Random S Chegg Com

Solved 1 Let B 0 And Let X1 X2 Be A Random Sam Chegg Com

Catalytic Properties Functional Attributes And Industrial Applications Of B Glucosidases Springerlink

Atlas Der Diatomaceen Kunde De Eines In Teilung Befindlichen Exemplars Gortelansicht Ss Ebenda N Vermicularis Kg

Consider The Model Yi 1 2 N 1 X Ss Chegg Com

Differentiating The Rss W R T Beta In Linear Model Cross Validated
/CAPM2-cc8df29f4d814b1597d33eb7742c9243.jpg)
How Does Beta Reflect Systematic Risk

A Facile And Efficient Synthesis Of Highly Functionalized Terminal Olefines From A Alkoxy Ss Halides Using Zinc Dustps

Upsc Nda 21 Exam Maths Mock Test For Written Exam Practice Mathematics Mock Test With Answers 300 Marks

If Alpha And Beta Are The Zeros Of Quadratic Polynomial F X 3x 2 4x 1 Find A Youtube

If A Line Makes Angles Alpha Beta Gamma With The Positive Directio

Relationship Of Socs3 And Tgf B With Ido Expression In Early Pregnancy Chorionic Villi And Decidua

B Tech Ii Unit 2 Material Beta Gamma Function

Let V P1 R And W R2 Let B 1 X And Y 1 0 0 1 Homeworklib
Beta Function Wikipedia

Highly Functionalized B Lactams And 2 Ketopiperazines As Trpm8 Antagonists With Antiallodynic Activity Scientific Reports

Vector Matrix Background With The Green Symbols Stream Of Futuristic Code Symbols On Screen Coding Or Hacker Concept Stock Vector Illustration Of Motion Communication
If Alpha And Beta Are The Two Zeroes Of A Polynomial X 2 6x A Then Form A Polynomial Whose Zeroes Are Alpha And Beta

Anti Interleukin 21 Antibody And Liraglutide For The Preservation Of B Cell Function In Adults With Recent Onset Type 1 Diabetes A Randomised Double Blind Placebo Controlled Phase 2 Trial The Lancet Diabetes Endocrinology

29 Relation Between Beta And Gamma Functions Problem 1 Youtube

Endothelial B Catenin Signaling Supports Postnatal Brain And Retinal Angiogenesis By Promoting Sprouting Tip Cell Formation And Vegfr Vascular Endothelial Growth Factor Receptor 2 Expression Arteriosclerosis Thrombosis And Vascular Biology

If Alpha Beta Are The Roots Of The Equation X 2 2x 3 0 Obtain The

Relationship Of Socs3 And Tgf B With Ido Expression In Early Pregnancy Chorionic Villi And Decidua

Real Typewriter Font Alphabet With Letters B N Ss Digit 9 And Semicolon Stock Image Image Of Real Type