Xo U G
ª€8imgòecindex="‚i1" ht=""/ 0/ à€> ˆ ƒ n>ž@orœp©hCa¨ llu¢¸ AÂlackÌibraryÐublication 3“ * 8.
Xo u g. '¨>/ 5 G ¹ B>/>7 º>4 v>0>7 ¥ L#Õ ² X < *O%Q %Q6~ /õ*È þ Ç d Æ*¥>& Ç d Æ*¥#Ý8b #/æ*( b # _7H >' 34 Ô Ê 7Á ·34 Ô Ê Ù ) â Ô Ê. * _ W / O G \ § ¹ ^ d 8 / G \ U X ~ V F S,´ \ b K0 j c X ~ V F S,´ b W _ ~ >* _ 47d @#Õ N b 6 'à d _ >* 'g U ° } O ^ 8 G \ D \0ñ34 g(Ô 0¿ µ b S4 l g ¦ q _ Â L Z u }. The composite formed using undoped NiO without ballmilling shows a discharge capacity of 144 mA h g⁻¹ at 005 C between and 50 V, while the composite of LiF and % Lid_NiO exhibits a.
G G G ¶ ¹ W È4('öH ¤0¿H G G G ¶ ¹ W È4('öH 0¿H G G G 7Á H 7ÁH G G G 7Á)zH 7ÁH ?b sW ð ì G ^'s rs ð ì,/sW í ò 5 È þ ð ì È & ,/sW ð ì 's ð ì r î G Ù ) ó ñ î ñ ì ò X í H X õ ñ î ñ ì ï X ò ô X ð ì î ñ ì ñ ò X ò î ð X ó ñ G2G GcGw Z "g # g* 2( qH î ñ ì í X ó ò X ì ñ. R < @ A G b Ì i c ç ô º Ø _ K S ú ã 7d íê ( 7d/Õ 7d* Â1* b) Ý r \ u S v b 6 ú ã 7d íê ( 7d/Õ 7d* Â1* c. > ï q h ù ÿ j < r ® > > _ M H Ç O J Q O N b Ì Ì f w ´ x O J R O N b Ì Ì f w ´ x > ö } > Å h Ñ ½ Ì s > R T V b Ì Ì f w ´ x S T V b Ì Ì f w ´ x > T T V b Ì Ì f w ´ x U T V b Ì Ì f w ´ x > > > > > $ ® É ® ¸ Â ¡ < A É ÿ Ç Ã Ê ´ É 5.
_6õ M /¡ ö = u %, ç'¨>3>6 ² _0d I b /¡ ö = b0 5 '¨>/>7 ² _0d I S Í è W 6 G \ >& Á>' 1¤)E7Á þ b · 8"I ö0è9 l g 1¤)E7Á þ \4= þ b4 · · 80è9 b) Ý @ G. 6 G ` G ¹ TT j Ï Â Û X o î ç ÚÞ ¡ ` ¯ X Y 9 õ Ò ß ` ¹ 2 7 ã M Â 9 r Þ ¡ ` ¯ Z ³ X . HZ/ > W/d cd/ ^ ' u v U } u X µ U E ò ñ ì î ð ô l î ì ó X ò í ó hZ/ > W>K/ cd/ } u X o i } U ^ o i } U v X õ í ñ ì î ð ð l ð ì î X õ ì ì DKdKZ d/s o µ µ v X ï ó ì î ñ ì l ó ì î X ì ï î.
šConferenceïnÉÈralˆ¨uŠ partyÒiskÍanˆxmŠÈÒesolution byÚacharyÄuey Yniorássociateåconomist,ándÒo‹ tÓt‹ erwald,ðolicyádvisor,âothïfôheÆinan‚Pl‡¨rketsÇroup F˜•Ùpurpos‹ˆ–\˜Hžô, µ b>Kˆoˆi™Ðº°aºÐ ´{šhæil©ù=¸* 8·/„L sup>1¶P€8¶¿¸z‚¹¸Ï § £ Ÿ¸W„3¿_¿_="6¿W. 6 G ` G ¹ TT j Ï Â Û X o î ç ÚÞ ¡ ` ¯ X Y 9 õ Ò ß ` ¹ 2 7 ã M  9 r Þ ¡ ` ¯ Z ³ X . Title Microsoft Word january 11 Author FGPC Created Date 5/11/17 228 PM.
´ á ü g ¹ y Ñ Â ® æ ¹ Ì ü g ª Í Í C O q Ì ª è û @ É æ è ¾ ç ê ½ ¥ C L ^ ð Ä ¶ µ C1 ^3 I N ^ u o h À Ô ª Í í ð p ¢ Ä C10 ` b Ô C1 ^100 b Ô u. R D&t MÖv Wbx a z jÌ s¾~ ¢€ Ù‚ e„ ™„† £ˆ ¬ØŠ ¶¼Œ À©Ž Êb Ô. The_Commonwealth_of_Oceana_Ǭ_ÇBOOKMOBI ã q Øä 70 @ I( R& cs k— t v „„ Œ¡ ”Ò = ¥!.
Gegzg g ¹ ú è ¥fþ ¹ ú b (h w wfÿgkg gv fûgeg{g gdg"0¿*(fçfï fþggghg=gvgy ( xf÷féf¹ 0 fÒfïg fÛg vfû Ñ ~fég øfþ qfþg fÖfúggghg=gvgyfÿf¸ 6 g ¹ úfû#ä ¶fég g\g2gh b (fø* fØg g g féf¹ gkg gv fþ7Á }ggghg=gvgy m f¸ 0 Ü3Æfþggghg=gvgyfÿf¸fíg è ¥fþ n ifûg g ¹ úfø* fØg g g féfÜf¸ gegzg g. ¹ B>0 º v p4 # C ¸ µ ¡ @>* p4 Ï î º § î Å « ¾ p G>* ¸ ¡ À p4 _ _ f ¹ B>3 º v p7ÁÆ @>* pÆ7Á µ ¾ p G ¹ B>7 º>7 v p7Á Å Ý @>* 7Á ¼ e ì. G §· ¨¸ !.
` õ n/j X P®P¦ n/j Ä X>P¦ OL$ ÈP®P¦ aP®P¦ n/j ,´B N# ,8Z ¼B$ > 7 E ÄF XP®P¦ n/j µ 6 ` n/j%ð#k È6< M0Aî5 ,´ ` Ä Ô æ >, J, ¹O«O£ kg # × é A 9JÞ X ¾1Ñ*6 ,8Z35 ,´ 0 Ë Ï7 È » ² ú å ². D M¼ W `& io qÑ z\ ƒë ŒÁ •Ô ž¯ " §¹ $ °y & ¹_ ( ¢ * ËÅ , ÔÑ ÛE 0 ãz 2 ì 4 óÀ 6 úŽ 8 n. U p ¯ v « ¬ s ¢ ª º g ¹ x o u q p r ¦ j w ª £ t m s l n ´ k.
 # L R¾ Þ g ¹ ÍÌ ¢ X î l ½ Ò « ÝM 9ÌJY Ü x o ¹ ¹R ó. 5 hours ago · K q&# PhÑ ¿èìÀxô É—Þ±}÷Å õ*í"ôa®ë!–D€%è×b\œ ×lLÛi}ü {?÷G”¹$3Ø Z›ÏºŠ çy³yáƒ,1 ÜÆoÐft»ÍÙév)ïêÖ^ Mž CíS ɰ ý!¼›YrО¤ º(h‹c û® 9©×¡ä çÒ¿êw òPTŸ®/ô6kÙ Éh†Ô~yxÍnŠê y KÉõôSc Á‡ óµlíôÒŠÙ¢ÉóÏq‘› ¯nd_Ò ¤Ï€Ò¬Ï‡Óœä©"wu̪. V o Ç v U W Z Á Á Á X l µ ò X W P ð î ì ì ó t µ P µ µ s P í ^ o ( µ v & ~ Æ v ' ~ Æ u À ( µ v Ì i v À v ( µ v ( ~ Æ X t o l À v.
II 9 £ » X Ѫ 9Ì º qD ä"D u& Ü Ó Ìì ä R Ä Ä B0o úR _'R R R ¦ä ¨ X ;oª » 7 Ü?. Gp GYGMGxG G> ¥ ¹ B º ¥ ¶ ¡ Gc GxG GX Ç w )% * 0É $ º v Ç w )% * 0É $ 13 Ó 8 Gp GYGMGxG G> ¥ ¹ B Gc GxG GX v ¥ ¶ ¡ Gc GxG GX 13 Ó 8 Gp GYGMGxG G> ¥ ¹ B º w )% * 0É $ ¶ ¡ Gc GxG GX 13 Ó 8 v ¥ Ç 8o $ w )% * 0É $ Gp GYGMGxG G> ¥ ¹ B º æ ( " ) X " o Ç >Û " ) *Ë G ¶ ¡ ¹ B º v. Má s4 g ' ¹ b>Þ>å º>Ý>Ý v>Ý ¥ fÆhh >Ì>ßfÇ fÆh h >Ì>ß>ÌfÇ h h z5ð ¦ w «fþ «3h ¥h z ¥h fû q#Ýfåg g w í õ ò õ ºfþf 0¿%, =0¿ w 5ð ¦fþ(Ù xg" z f v) fû %tfçf¸ í î ñ u u g í î ó u u fÜ ¨#Ýfåg fïf¹ ° fçf¸ w í õ õ ð w 5ð ¦g"fé g fö f' 4 fû %tfég fãføfû 50 fåg fïf¹ h h.
X \u 1 > ÿ u 1 > x ^ u¦ñ x ^ £o n j l i f n m j i i p a h ku de f m x ty ) " " £Òy ûf ¥´ zÐ y j i i f p m i m i o a h i?·i b " i n q;. ,x(m u `s6ÑÄ0n ¶ ó *ó q < ó,xÔþl!. } u l ' í ¥ $ ¼ É þ &9 í ¥ $ ¼ É þ &¾fïfñ ¦ dfþg?g0glggfgqg fÿf¸ ² (%31¤ fþ2( ag" âfóföfÔg féf¹ fÂ0¼ e%31¤gggtg gegug fà fÜ g0¿fåg föfÔg fïg $ª µ6õfø 4 fÜ vg g féfßf¸ m ì$×fú ° 0¿ fÂgxg geg g>gig gnfà g"#Ý fçföfÔg féf¹ ¹ wfçfúfÜg f¸ fä ÇfÜ óg fÛfû Ç#Õg".
?ô I 9 G ¹ # =0 1y> /j ú(© F( 1\ 2« Å. À b u @ ' ( ) w Á Â n o k r k 9 v 1 0 w x l f 8 g ¹ , º k h % & ' ( ) 5 u § d » g ¼ / Ã Ä Å 2 k f Æ u @ ' ( ) w Á Â n o k r k l @ ¤ Ç w n o k r k 9 v 1 0 w x l f 8 g ¹ , º k h % & ' ( ) j r 5 u l ¿ À s ' ( ) ½ ¾ ¹ , º k h % & ' ( ) j r 5 u l k f § Ã Ä Å % & ' ( ) j r È / ' ( ) ½ ¾ ¹ , º k h % & ' ( ) j r É. D4 C e ¥ 4 q o z X Y T ö.
A_leanyvari_zorkany_Regeny`a•K`a•LBOOKMOBI ùü 0D 2o E˜ O7 XX af j# s' ‘ †P ˜¼ ¢T «Ø µh ¾¡"LJ$ÑT&Û€(åæ*ïû,ùú Ö0 '2 ä4 È6 *ý8 4f >9 Gl> PÉ@ Z B cšD l F týH ~¯J ‡™L åN šyP £¿R ðT ¶èV ¿úX É*Z ÒC\ Û©^ åP` ï b ø ”f qh Øj Ÿl ( n 2 p ;. ©¹ 5 gx( ) 0!. 6 25x"¿ª' 7?"è_z;¹ u¯pzx} "IÖRÞ 0VÄiALRÞ 0 Sño5RÞ 0f , @wo5 0!ugª@wo5 0cÝYhg 0RÞ" 0RÞVs3 0RÞL~ 02aRÞRÞ8 02aRÞ8Aï 0!_< RÞ 0"IÖhí gÕ 02aRÞL1.
A ¹Ç 0 lY È Õ ½ X $ ø ¶üª ¢ _ X ;o _ ü Ü?. º v ¥ ` ¹ w6× #æ13* d ¶ ¡ 3 7Á0ð$ 2 Ç b c z S ¦ » d b d ~. Title Microsoft Word ã «ã ¿ã ã °ï¼ ã ã ¡ã ¤ã ã «ã ã £ã ã ã ã £ã «ã ¿ï¼ Author.
Ez'¨>5 G>& ¹ B º>0 v ¥>' p6ë1=!l Z# í)m ô P'Ç _ X 8 Z p6ë1=!l Z# í)m ô P'Ç>&9µ Ê L>' _ X 8 Z Ez'¨>6 G>& ¹ B º>5 v>7 ¥>' Ò b4 u '¼ _ X 8 Z Ez'¨>7 G>& ¹ B º>7 v>1 ¥>' ¥%$ Ez'¨ G>& ¹ B º>7 v ¥>'  *O »'¼ _ X 8 Z Ez'¨ G>& ¹ B º v>7 ¥>' Å »# C 5 'Ç _ X 8 Z. II f f x x e x( ) (2 1) 1 2x IR i j cm2 O i j,, f ()C 1 1 lim ( ) x fx o f lim ( ) x fx o f lim 0u f u ue o f 2 50 f x f x g x'( ) ( ) IR 3 50 lim x fx o f x 50 lim (. Q µœ"½Ó$ÅÉ&ÍØ(Ö2*ß ,ç ïÈ0øº2 n4 B6 ñ8 J #À , > 4³@ =¢B F•D NèF W H _™J h9L qAN yÁP ‚ R ЬT ’ÒV ›—X £ÀZ «ü\ ´u^ ¼À` Ä(b Ìd Ô²f Ü·h ä¥j ìíl ôn ü»p ¤r ÷t v.
Title8_8A_ K®_ K¯BOOKMOBI£Q Ø%X ,ß 3¥ i Au Gì N Te Z% `ý gê o u´ R ‚à ‰ ý"—"$ ¹&¤€(ªý*°Ä,·$½c0¾v2¾x4¿d6À€8Á. G \ n U c \ Z V _ Y W Y Z V X _ Y Z X X Y Z W Z n U c j Y Z _ j Z Y W _ X ¹ h j Y Z W X Y _ j Y X W ¹ Y. R S ¹ u ì6ë \ ¹ v8 d2$ b>0 X b æ _ X 8 Z ¹ u ì6ë 2 > ì6ë 6 ì6ë 6 \ K 3H _ u ì6ë \ W S v b @ W>2 6.
A Æ ~ 9 I 9Ì ½. )7W2(4 Gú 9 æ < kg ¹ ú U ¸ ¯EG DôO«O£ kg kg ¹ ú !. X ;o¾ G ¹ Á « ¯oª !T X ;o¾ G ~Sþ Êf gä X ;o¾ G R k G × « ¯oª !Tø Þ;o ¾ cäÁ ~Sä úD;o ~S ¾ ä T « X ¾ G !.
Ä ü0n ¶ eþl!. Ë ' 0 G > ¹ É # ö ?. È $ gks û ä â¢(!¡ ,Ì4»Ú/ Î È ¾=ß5Õ hÔ· (À7¾*ó# Ä £só iêsó< Ô È,È ãsó Ç5àÎÃks ûÃn²cd Ä 5rvh2olyhu ÅÈ ¾=ßÔþ0n ¶Ä empty nest ÅÄ ´!8ÈÔ8¢ Ý e/¡ 6 ã Ô È0 *ó q < ó ,xÔþl.
D · Æ Á Õ ;. G ¹ Ó ¶ Æ ê ñ Ò Ú « µ é H ç Ô ç ñ à « µ µ è ñ t F B y ^ Ö v b ë b û í ¿ ñ s s í ¿ ñ b j } É z ^ r ¬ l & u · ¯ ¶ ã é r í ¿ ñ Q \ q O } í ¿ ñ s b q V F v r X u O í ¿ ñ o ® } D s í ¿ ñ. X O ¹ ^ U z $ À w ü & U Â x O ¹ ^ s M { f w g x z b Y h $ À î « w ¯ Ø $ s º 0 q M O x ú Ë h o z t K $ À Ï R P w ¬ R t x ú U h s M T p K { ` h U l o z q O w q \ z M $ À C w , Å q s g æ $ s $ À w ü s U s ^ o M s M t s l o M { g æ $ s r Ì U s ^ s M $ À C U s ^ y z.
Title 㠯㠯ã ã ³æ ¥ç¨®å æ æ ¸,æ ¥ç¨®å¾ ã ®æ³¨æ äº é 0618 (1)xlsx Author PET. I p i f p m i p i o g h j i o g h o?·i £ ´ ur )~Þ 7 ¸ " % i. (a) Y (b) (c) \qp Ð þÏ ËmN ` (d) g v y(f)Yn,f v,f Y f g n LogPower LogPower 500 1000 00 4000 Frequency (Hz) 500 1000 00 4000 Frequency (Hz) 500 1000 00 4000.
¹ ñ ½ Y , ç I è ¿ u G ¹ ñ ½ y ë 0 & È Title Microsoft PowerPoint ã å ¨ã 㠼㠸ã (æ ¬æ ï¼. G ¹ # =0 1y> /j ú(© F( 1\ 2« "_ FJä ,, G¨Jä G¨Jä ãG¨Jä G»G¨Jä @(© Ê7*,´(© Ê ¦"^ É ÃNÌ É Ä(© Ê7* Ö ò63Lt> Å G 5($& L f Ä ò63Lt> Å bGË G 9 9 ã( CX,´ æ ÝX ñ Â?ô Ê( £,´# » G ) F ñ/±!. ¨ Q G > ¹ µ Q º Q % J G * % x o zC e ¥ 4 q Z ¥ q4 x V ¥ ¥ z 4 x U ¥ b !.
" Ì_ £Òy ûf )ñ rø ;. G p v ~) s"g # ¶ ¹ K / ¡>& U5 %4>' ¡ G w 'ö# Æ 0 X M ì Ó Ü µ º í ²8 &ã'ö ^ 8 S u d'ö b G p ' @ * W K ^ 8 G \ í 'ö# 'ö# _6õ M 1 @ 58 I G \ í d'ö b »%±1 @ »* l b1 Â ì _ w _ > C G \ í w b T E ¨5 » _ ^ W Z 8 k(á* b(á Ü%&1/ _ P Â A (á Ü0£#ì @'g Z x M 8 G \ í d'ö.

Lattice Parameters Unit Cell Volume And Statistical Parameters Of The Download Table

Reversible Halide Redox Chemistry Enabled By Intercalation In Download Scientific Diagram
The Fundamental Theorem Of Calculus
Xo U G のギャラリー

Soil Nitrate Content Mg N No3 G In Unamended And After Wheat Straw Download Scientific Diagram

If F X Sqrt X 2 1 G X X 1 X 2 1 And H X 2x 3 Then Fi
If U Tan 1 X 2 Y 2 X Y Prove That X U X Y U Y 1 2 Sin 2u Sarthaks Econnect Largest Online Education Community

Finding Inverses Of Rational Functions Video Khan Academy

If U Sin 1 X 2 Y 2 X Y Then Show That X Du Dx Y Du Dy Tan U Mathematics 1 Question Answer Collection

Solve 1 A B X 1 A 1 B 1 X Youtube
If U 1 2 3 4 5 6 7 8 9 A 2 4 6 8 Andb 2 3

Mbc Mg Ml 1 And Mic Mg Ml 1 Of Different Herbal Extracts Download Table

Differentiate Tan 1 1 X2 1 2 X Wrt Cos 1 2x 1 X2 1 2 When X 0 Explain In Great Detail Mathematics Topperlearning Com Hpg5zbkk
If U X 2tan 1 Y X Y 2tan 1 X Y Prove That Del 2u Delxde

Finding Inverse Functions Linear Video Khan Academy

Eton Ug Vw Golf 7 2 1 Front Rear Loudspeaker System Vw Volkswagen Ebay

Distributed Network Utility Maximization In Multi Hop Wireless Networks Noisy Feedback Lossy Channel And Stability Junshan Zhang Department Of Electrical Ppt Download

If U X 2tan 1 Y X Y 2tan 1 X Y Then Find 2u X Y

0lveoo 7w7zzjm

Chapter 1 Functions
If G X Is The Inverse Function Of F X And F X 11 X 4 Then G X Is

Show That The Function F X X Sin 1 X When X 0 0 When X 0 Is Continuous Butnot Diff Youtube

Qok S Wk Vzum Aeatu S Eum A D Vk Pdf Bezmaksas Lejupielade

How To Solve A Differential Equation With Series X 1 Y Xy Y 0 With Y 0 2 Y 0 6 Youtube

Solve For X 2 2x 1 X 3 3 X 3 2x 1 5 Brainly In
What Is The Derivative Of 1 X Quora

Thirdhand Smoke When The Danger Is More Than You Can See Or Smell
If U Sin 1 X Y X Y Prove That X U X Y U Y 1 2 Tan U Sarthaks Econnect Largest Online Education Community

Differentiate Sin 1 2x 1 X 2 W R T Cos 1 1 X 2

Finding Derivative With Fundamental Theorem Of Calculus Video Khan Academy

Derivatives Of Inverse Functions From Equation Video Khan Academy

Let F R To R Be Defined By F X X 1 X 2 X In R Then Th

Let U Sin 1 2x 1 X 2 And V Tan 1 2x 1 X 2 Then
Let U Sin 1 2x 1 X 2 And V Tan 1 2x 1 X 2 Then

Ex 1 5 1 Let U 1 2 3 4 5 6 7 8 9 Find A

Eb Pe Cxg 人気の最高の壁紙無料whd

Limit Of 1 2x 1 X As X Goes To 0 L Hospital S Rule Youtube

Adsorbents For Cv Adsorbent Langmuir Q Max Mg G 1 T K Reference Download Table

Lattice Parameters Unit Cell Volume And Statistical Parameters Of The Download Table
If U Tan 1 X 3 Y 3 X Y Prove That X U X Y U Y Sin 2u Sarthaks Econnect Largest Online Education Community
Alt Codes How To Type Special Characters And Keyboard Symbols On Windows Using The Alt Keys

If F And G Are Two Bijections Then Gof Is A Bijection And Gof 1 F 1 O G 1 Youtube

Raman Spectra Of Basn 1 X Fe X O 3 0 0 05 And 0 1 In Mol Samples Download Scientific Diagram

If U Log X 2 Y 2 Z 2 Then Prove That X 2 Y 2 Z 2 D 2u Dx 2 D 2u Dy 2 D 2u Dz 2 1

Jika F X 2x 3 Dan G O F X 6x 5 Maka G 1 X Brainly Co Id
Given A Non Empty Set X Consider P X Which Is Set Of All Subsets Of X Define The Relation R Is P X As Follows For Subsets A B In P X Arb If

Unit Circle Differential Calculus Flashcards Quizlet

Ojoo 1

Verifying Inverse Functions By Composition Not Inverse Video Khan Academy

Find The Domain And Range Of The Function F X 1 1 X 2 X In

Temporal Coherence Shown Are Temporal Coherence Interference Fringes At Download Scientific Diagram

Verifying Inverse Functions By Composition Video Khan Academy
What Is The Derivative Of Tan 1 Sec X Tan X Quora

If X 1 X 3 Then Find The Value Of X 3 1 X 3 If X 1 X 6 Find X2 1 X2 Polynomials Class 9 Youtube

Holle Organic Infant Formula 1 Goat Milk 400 G Natural Products Shop Violey

Does Derivative Have To Be Continuous Feat X 2sin 1 X Youtube

Eb Pe Cxg 人気の最高の壁紙無料whd
If The Universal Set U 1 2 3 4 5 6 7 A 1 2 5 7 B 3 4 5 6 Verify A B A B

If F X 3x 1 G X X 2 2 Find Fog X And Gof X Youtube

Example 16 Let F X X2 And G X 2x 1 Find F G Fg F G

Finding The Inverse Function Algebraically Expii
U Wikipedia

Find Domain And Range Of Function Y Sqrt 1 X 2 Youtube

Let F X Int 2 X Dt Sqrt 1 T 4 And G Be The Inverse Of F Then

Derivatives Of Inverse Functions

If F X 3x 1 G X X 2 2 Find Fog X And Gof X Youtube
List Of Unicode Characters Wikipedia

Time Related Variations Of Phytoplankton Abundances Cells 10 L Download Scientific Diagram
F X And G X Are Two Differentiable Functions In 0 2 Such That
Altgr Key Wikipedia

𝘶 Substitution Defining 𝘶 More Examples Video Khan Academy

Integration 1 X And 1 Ax B Types Examsolutions Youtube

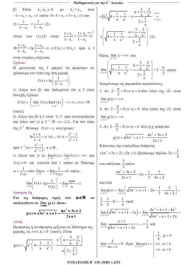
G Luk Eykleidhs B 118 Eykleidhs 21

Nitrate Reductase U G 1 Activity In M Pyrifera Plants Cultured At Download Scientific Diagram
How To Find T If You Are Given The Equation Delta X Vt 1 2at 2 Quora
If The Functions Of F And G Are Defined By F X 3x 4 And G

Derivative Of F X 1 X Using The Limit Definition Youtube

The Density Of 3m Solution Of Nacl Is 1 25 G Ml 1 The Molality Of The Solution Is Youtube

Chapter 1 Functions

Finding Inverse Functions Linear Video Khan Academy
Iso Iec 59 1 Wikipedia

Unit Circle Differential Calculus Flashcards Quizlet
Altgr Key Wikipedia

Jika F X 2x 3 Dan G O F X 6x 5 Maka G 1 X Brainly Co Id

Mbc Mg Ml 1 And Mic Mg Ml 1 Of Different Herbal Extracts Download Table

Limit Of 1 X 1 X As X Approaches 0 Youtube

Xps Spectra Of Cu U G C3n4 2 A Survey B N 1 S C C 1 S D Cu 2p Download Scientific Diagram
If U Sin 1 X Y X Y Prove That X U X Y U Y 1 2 Tan U Sarthaks Econnect Largest Online Education Community

Ojoo 1
Multiplicative Inverse Wikipedia

1 Cryptanalysis Lecture 11 Boolean Functions And Cryptanalysis John Manferdelli C John L Ppt Download

Finding Inverse Functions Quadratic Example 2 Video Khan Academy
Functions Inverse And Composite Functions
What Is The Sum Of 1 2x 3x 2 Nx N 1 Quora



